

ARTÍCULOS
Características estructurales del mangle rojo (Rhizophora mangle) en el manglar de Puerto Pizarro (Tumbes, Perú)
Structural characteristics of the red mangrove (Rhizophora mangle) in the Puerto Pizarro mangrove swamp (Tumbes, Peru)
FIGEMPA: Investigación y Desarrollo
Universidad Central del Ecuador, Ecuador
ISSN: 1390-7042
ISSN-e: 2602-8484
Periodicidad: Semestral
vol. 17, núm. 1, 2024
Recepción: 24 Octubre 2023
Aprobación: 26 Enero 2024
Autor de correspondencia: aordinolaz@untumbes.edu.pe

Cómo citar: Zapata-Cruz, M., García-Seminario, R., Hidalgo-Mogollón, A., Vieyra-Peña, E., Sánchez-Suárez, H. & Ordinola-Zapata, A. (2024). Características estructurales del mangle rojo (Rhizophora mangle) en el manglar de Puerto Pizarro (Tumbes, Perú). FIGEMPA: Investigación y Desarrollo, 17(1), 01-15. https://doi.org/10.29166/revfig.v17i1.5673
Resumen: El manglar de Puerto Pizarro forma parte del manglar de Tumbes, el más grande del Perú; es también el manglar con mayor impacto antrópico en la región; en este no se han realizado estudios sobre el estado de su población de Rhizophora mangle, la especie de mangle más importante de los manglares peruanos. Esta investigación buscaba establecer las características estructurales de R. mangle en el manglar de Puerto Pizarro. El estudio se realizó subdividiendo el área de investigación en tres zonas (A, B y C), en las cuales se seleccionaron 41 parcelas de 1 ha cada una, en cada parcela se tomó una sub-área de 0,25 ha (50 m x 50 m). En estas sub-áreas se evaluaron los árboles de mangle de las especies Rhizophora mangle, Laguncularia racemosa y Avicennia germinans respecto a sus características estructurales diámetro a la altura del pecho (DAP), altura, área basal, densidad, frecuencia, dominancia e índice de valor de importancia ecológica (IVI). Se encontró que R. mangle presentó un mayor DAP, altura y área basal que las otras especies; así también, mayor densidad, frecuencia, dominancia e IVI relativos (ajustados al 100%) que las otras especies con valores de 51,5%, 100%, 82,6% y 53,3%, respectivamente. Los hallazgos de la investigación permiten concluir que la población de R. mangle del manglar de Puerto Pizarro es una población madura, con predominancia de fustales y latizales. En Puerto Pizarro, sus características estructurales no son homogéneas, ya que la zona A, con menor impacto antrópico y menor salinidad, presenta árboles de R. mangle con mejores características estructurales que los de las zonas B y C, donde hay mayor actividad antrópica y mayor salinidad.
Palabras clave: humedal, bosque, ecosistema marino costero, dominancia, frecuencia, índice de valor de importancia.
Abstract: The Puerto Pizarro mangrove is part of the Tumbes mangrove, the largest in Peru; it is also the mangrove with the greatest anthropic impact in the region; in this area, no studies have been carried out on the status of its population of Rhizophora mangle, the most important mangrove species in the Peruvian mangroves. The objective of this research was to establish the structural characteristics of R. mangle in the Puerto Pizarro mangrove. The study was carried out by subdividing the research area into three zones (A, B and C), in which 41 plots of 1 ha each were selected, in each plot a sub-area of 0.25 ha (50 m x 50 m) was taken). In these sub-areas, mangrove trees of the species Rhizophora mangle, Laguncularia racemosa and Avicennia germinans were evaluated regarding their structural characteristics: diameter at breast height (DBH), height, basal area, density, frequency, dominance and index value of ecological importance (IVI). It was found that R. mangle had a greater DAP, height and basal area than the other species; also, higher density, frequency, dominance and relative IVI (adjusted to 100%) than the other species with values of 51.5%, 100%, 82.6% and 53.3%, respectively. The research findings allow us to conclude that the population of R. mangle in the Puerto Pizarro mangrove is a mature population, with a predominance of stems and latizales. However, its structural characteristics are not homogeneous throughout the Puerto Pizarro area, since zone A, with less anthropic impact and lower salinity, has R. mangle trees with better structural characteristics than those in zones B and C in which there is greater anthropic activity and greater salinity.
Keywords: wetland, forest, coastal marine ecosystem, dominance, frequency, importance value index.
INTRODUCCIÓN
El ecosistema del manglar es uno de los ecosistemas acuáticos más productivos y biodiversos en el mundo, sin embargo, está entre los más amenazados del mundo; se ha estimado que en el lapso de 25 años (entre 1996 y 2020) se ha perdido 3,4% de su área mundial debido a la deforestación (Arnaud et al., 2023, pp. 1-2; Rull, 2023, p. 6 y Segaran et al., 2023, pp. 1-2).
El ecosistema del manglar se caracteriza por la presencia de vegetación leñosa denominada mangle, de las cuales se han identificado entre 50 a 70 especies en el mundo; los manglares asiáticos son los que poseen mayor cantidad de especies de mangle (Maiti y Chowdhury, 2013, p. 1429 y Thattai et al., 2023, p. 458).
Los manglares americanos al contrario de sus contrapartes asiáticas cuentan con un número reducido de especies de mangle; en particular las especies del género Rhizophora son las más abundantes y entre éstas, el mangle rojo (Rhizophora mangle) es la especie dominante en las costas americanas (Bezerra et al., 2022, p. 35), así como en los manglares peruanos (Dioses-Puelles, García-García y Bermejo-Requena, 2023, p. 181).
El ecosistema del manglar en el Perú se ubica en su costa norte, principalmente en la región de Tumbes, aunque con relictos menores en la región Piura (Martínez, 2022, p. 98; Peralta Ortiz, 2014, p. 62 y Seminario-Córdova, Barreto y Tuesta, 2022, p. 4), forma parte del extremo sur de la región biogeográfica Tumbes-Chocó-Magdalena, la cual incluye el ecosistema de manglares que se extiende desde Guayaquil (Ecuador) a Tumbes, la región biogeográfica es el noveno hotspot más biodiverso del planeta y uno de los menos estudiados (Cabrera Dioses, 2022, p. 12 y Pérez-Escobar et al., 2019, p. 2).
En el manglar de Tumbes se ha reportado la presencia de diferentes especies de mangle como el mangle rojo (Rhizophora mangle), mangle negro (Avicennia germinans), mangle blanco (Laguncularia racemosa), mangle colorado (Rhizophora harrisonii) y mangle botón (Conocarpus erectus) (Dioses-Puelles et al., 2023, p. 181).
En particular, dos de estas especies: C. erectus y R. harrisonii, no son consideradas como verdaderas especies de mangle por algunos autores, debido a que C. erectus no posee adaptaciones típicas de un mangle como son: a) las raíces con estructuras especializadas del tipo zancudas o con neumatóforos y b) la viviparidad (Hamilton, 2020a, p. 40 y Villeda Chávez et al., 2018, p. 80) y en el caso de R. harrisonii, porque la clasificación de las especies de Rhizophora en América aún no está bien establecida y se considera que R. harrisonii sería un híbrido de R. mangle y R. racemosa, o en otros casos que R. harrisonii, R. racemosa y R. mangle serían una única especie R. mangle (Mori et al., 2021, pp. 1-2).
Por dichas consideraciones en esta investigación se ha considerado la existencia de una única especie de Rhizophora en Tumbes, R. mangle y no se ha considerado que C. erectus sea una verdadera especie de mangle.
El manglar de Puerto Pizarro es una de las tres áreas principales en que se divide el manglar tumbesino, siendo éstas: la zona norte que incluye los manglares de Zarumilla y el Santuario Nacional Los manglares de Tumbes, la zona central que incluye Puerto Pizarro y la zona sur con los manglares de Corrales (Ordinola, Alemán y Montero, 2020, p. 318); además el manglar de Puerto Pizarro es el que mayor actividad antrópica alberga, lo cual podría afectar a sus poblaciones de mangle (Morán Ávila e Hidalgo Mogollón, 2018, p.34 y Ordinola-Zapata et al., 2019, p. 92).
A pesar de que R. mangle es la especie predominante del manglar tumbesino; sin embargo, muy pocas investigaciones se han realizado sobre las características estructurales de los mangles que lo constituyen, estas investigaciones se han dado en la zona protegida del manglar llamada Santuario Nacional Los Manglares de Tumbes (SNLMT), pero no en áreas no protegidas como es el caso de los manglares de Puerto Pizarro. Hasta donde se tiene conocimiento la presente investigación representa la primera que estudia las características estructurales de R. mangle en el manglar de Puerto Pizarro, por lo que proporcionaría información para evaluar el estado de esa especie en dicha zona; por ello, en esta investigación se tuvo como objetivo determinar las características estructurales de R. mangle en el manglar de Puerto Pizarro en Tumbes, Perú.
MATERIALES Y MÉTODOS
Lugar de investigación
El estudio se realizó en el manglar de Puerto Pizarro (Tumbes, Perú); éste corresponde al ecosistema del manglar de Tumbes, el cuál es el más grande del Perú (Martínez, 2022, p. 98).
La zona en la que se desarrolla el manglar de la región Tumbes es semiárida con influencia oceánica, sus suelos están compuestos de arcilla y arena; el periodo de lluvias habitualmente se da en los meses de enero, febrero y marzo. Las temperaturas registradas en la zona corresponden a un ambiente tropical, hallándose entre 22ºC a 29 °C (Pérez et al., 2016, p. 2); enclavado entre estos manglares se halla el pueblo de Puerto Pizarro, cuya población al 2022 fue de alrededor de 7500 personas; así también en sus alrededores se producen diversas actividades antrópicas como son la pesca, el turismo, la agricultura y la acuicultura (Morán Ávila e Hidalgo Mogollón, 2018, p. 44 y Ramírez Astudillo, 2022, pp. 31-33).
Tamaño muestral
El área estimada para el ecosistema del manglar de Puerto Pizarro fue de 830,14 ha. Se subdividió dicha área en tres zonas que se les denominó A, B y C, en las cuales se seleccionaron 41 parcelas de 1 ha y de cada una de ellas se tomó una sub-área de 0,25 ha (50 m x 50 m) en las que se muestreó los árboles del manglar (Figura 1).

(Sistema de coordenadas UTM, huso 17 banda M, datum WGS84)
En estas sub-áreas se contaron y midieron solo los mangles que tuvieron un diámetro a la altura del pecho (DAP) ≥ 2,5 cm, como lo sugirieron Villeda Chávez et al. (2018, p. 83) para mangles de tipo arbustivo.
Diámetro de los árboles de mangle
El DAP de los árboles de mangle rojo se midió indirectamente tomando el perímetro del árbol con una cinta métrica de 30 cm sobre las raíces zancudas más altas del árbol. Los diámetros de los árboles fueron subdivididos en rangos de [2,5-5 cm], [5-10 cm], [10-15 cm], [15-20 cm], [20-25 cm], [25-30 cm], [30-35 cm] y [35-40 cm].
También se dividieron en categorías diamétricas conforme a la clasificación basada en el DAP realizada por Castillero et al. (2023, p. 214): brinzales [2,5 - 5 cm], latizales [5-10 cm] y fustales ≥10 cm.
Adicionalmente y con la finalidad de poder determinar la densidad, frecuencia, dominancia y el índice de valor de importancia (IVI) de R. mangle, se contaron los árboles (DAP ≥2,5 cm) de mangle negro (A. germinans) y mangle blanco (L. racemosa) y se determinó su DAP midiéndolo a 1,30 m de la base de los respectivos árboles.
Altura del mangle rojo
La altura (h) de los árboles de mangle rojo fue medida con un clinómetro. La altura de los mismos fue clasificada, según el criterio de Villeda Chávez et al. (2018, pp. 99–102), en arbustivo cuando su altura fue menor de 2 m: árbol bajo, cuando fue de al menos 2 m pero menor a 10 m, árbol mediano, cuando fue al menos de 10 m pero menor a 20 m y árbol alto, cuando al menos fue de 20 m.
Densidad de árboles de mangle rojo
Para cada zona de estudio se calculó la densidad absoluta y relativa de los árboles de mangle rojo utilizando las ecuaciones 1 y 2 empleadas por Zarco-Espinosa et al. (2010, pp. 4–5) y Villeda Chávez et al. (2018, pp. 99–102):
Donde:
Frecuencia de árboles de mangle rojo
Para cada zona investigada se calculó la frecuencia absoluta y relativa del mangle rojo según las ecuaciones 3 y 4 de Zarco-Espinosa et al. (2010, pp. 4–5) y Villeda Chávez et al. (2018, pp. 99–102):
Donde:
Dominancia de los árboles de mangle rojo
Debido a que no se pudo determinar el diámetro de la copa de los árboles de mangle rojo, dado que el terreno en el que se desarrollan los mismos es muy fangoso e intrincado, por el gran número de raíces zancudas de dichos árboles, así como por que los mismos crecieron bastante juntos y fue difícil observar el lugar en que empezaba y terminaba la copa de los mismos. Sin embargo, se determinó la dominancia usando el área basal (Abasal) de los árboles de mangle (definida como el área transversal del tronco correspondiente al DAP, es decir: DAP = π×DAP²/4), puesto que hay una buena correlación entre el área de la copa y el área basal. La dominancia absoluta y relativa se calculó con las ecuaciones 5 y 6 de Zarco-Espinosa et al. (2010, pp. 4–5) y Villeda Chávez et al. (2018, pp. 99–102):
Donde:
Índice de valor de importancia ecológica de R. mangle
El índice de valor de importancia ecológica (IVI) se calculó con la ecuación 7 utilizada por Zarco-Espinosa et al. (2010, pp. 4–5) y Villeda Chávez et al. (2018, pp. 99–102):
Donde:
IVI = Índice de valor de importancia ecológica.
DR% = Densidad relativa.
DomR%= Dominancia relativa.
FR% = Frecuencia relativa.
Además, se calculó también el IVI normalizado al 100% (IVI100), el cual se calculó con la ecuación 8:
Análisis estadístico
Se evaluaron las variables DAP, altura, densidad, frecuencia, dominancia e IVI consolidadas para las tres zonas del manglar (A, B y C), respecto a su cumplimiento de las asunciones de normalidad y homocedasticidad, cómo se observó que los datos no cumplieron tales asunciones, y puesto que las transformaciones de datos ensayadas no pudieron corregir tal situación, las comparaciones de estas variables entre las diferentes zonas se hicieron aplicando la prueba no paramétrica de Kruskal-Wallis, para lo cual se usó el software estadístico R 3.5.2.
RESULTADOS Y DISCUSIÓN
Diámetro de los árboles de mangle rojo
El diámetro a la altura del pecho (DAP) de los árboles de mangle rojo para el área estudiada varió entre 3 y 40 cm, con un promedio y desviación estándar de 15,53 ± 6,98 cm. Estos DAP se hallan en el rango reportado para mangles rojos en el ecosistema del manglar del Golfo de Guayaquil (del cual el manglar de Puerto Pizarro forma parte de su extremo sur), que se halla entre 10 a 39 cm (Freire Carpio, 2021, p. 27 y Pozo Pozo, 2023, p. 66).
En la tabla 1 se observa que los árboles tuvieron un mayor DAP en la zona A, lo cual indica un mayor desarrollo de los mismos; en promedio, los árboles en dicha zona tuvieron un DAP de 19,32 ± 6,11 cm que fue estadísticamente superior a los correspondientes de las zonas B y C (p < 0,05); además mientras que en las zonas B y C, los árboles no superaron los 16 cm de DAP, en la zona A se encontraron árboles mayores, algunos incluso con 40 cm de DAP. El menor desarrollo del mangle rojo en las zonas B y C que se hallan aledañas a Puerto Pizarro, el mayor poblado enclavado en el manglar tumbesino en las cuales se practican una gran cantidad de actividades antrópicas y existe un mayor grado de contaminación, podría deberse a la presencia de metales pesados como Cd, Pb, Mn y Fe, de los cuales se han hallado cantidades máximas en la zona de Puerto Pizarro (Montero, 2019, p. 649). La presencia de metales pesados puede hacer disminuir el crecimiento de especies de mangle como lo han mostrado los estudios de Nguyen, Le y Richter (2020, p. 15) y Prihatiningrum et al. (2018, p. 1).
| Zona | N° de árboles | DAP (cm) | |
| Promedio ± Desviación estándar | Rango | ||
| A | 2458 | 19,32 ± 6,11 | 7,0 - 40,0 |
| B | 911 | 10,20 ± 2,83 | 3,9 - 16,0 |
| C | 615 | 8,31 ± 1,73 | 3,0 - 12,0 |
| Total | 3984 | 15,53 ± 6,98 | 3,0 - 40,0 |
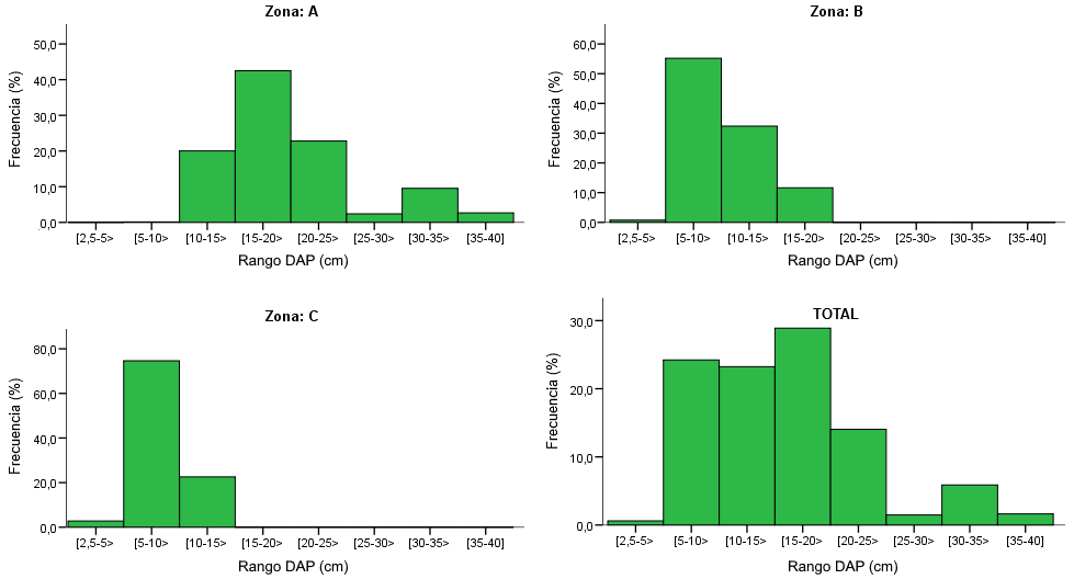
Las categorías diamétricas más frecuentes de los árboles de mangle rojo en Puerto Pizarro fueron fustal (75,2%) y latizal (24,2%) con muy pocos brinzales (0,6%) (tabla 2); en comparación, en el SNLMT que se halla 20 km al norte de la zona de estudio, Idrogo Harvey (2016, p. 21) halló que para Rhizophora spp., 51,7% de los árboles fueron fustales, 45,1% latizales y solo 0,6% brinzales. La presencia de un mayor porcentaje de fustales y latizales indican que los árboles de R. mangle de Puerto Pizarro presentan un mayor desarrollo estructural y es una población madura (Moreira Estrella, 2021, p. 24) y la población correspondiente del SNLMT.
| Categoría diamétrica | Zona | Total | |||||||||
| A | B | C | |||||||||
| n | % | n | % | n | % | n | % | ||||
| Brinzal [2,5 – 5 cm> | 0 | 0,0 | 7 | 0,8 | 17 | 2,8 | 24 | 0,6 | |||
| Latizal [5 - 10 cm> | 3 | 0,1 | 503 | 55,2 | 459 | 74,8 | 965 | 24,2 | |||
| Fustal ≥10 cm | 2455 | 99,9 | 401 | 44,0 | 139 | 22,8 | 2995 | 75,2 | |||
| Total | 2458 | 100,0 | 911 | 100,0 | 615 | 100,0 | 3984 | 100,0 | |||
En cuanto a las categorías diamétricas más frecuentes por cada zona del manglar de Puerto Pizarro, estas fueron fustal en la zona A, que representó el 99,9 % de los árboles, mientras que en las zonas B y C, la categoría latizal fue más abundante, con 55,2 % y 74,8 % respectivamente. La categoría brinzal fue prácticamente insignificante no superando el 2,8% en las zonas estudiadas (tabla 2), esto indica que la población de la zona A es más madura que las de las zonas B y C, lo cual puede estar relacionado con el menor grado de desarrollo que los árboles de manglar pueden tener en zonas con mayor impacto antrópico (Ramos, Gracia-Sánchez y Marrufo-Vázquez, 2023, p. 7).
Como se aprecia en la Figura 2, los rangos de DAP más frecuentes en la zona en estudio estuvieron entre 5 y 25 cm, sin embargo, dichos rangos no se encontraron uniformemente distribuidos en las zonas muestreadas, la zona A mostró consistentemente árboles con rangos de DAP mayores que los de las zonas B y C en los cuales la mayor parte se hallaron entre 10 y 15 cm, mientras que en la zona A se hallaron entre 5 y 25 cm, con incluso ejemplares en los rangos de 25 a 40 cm. Este tipo de distribución es consistente con una población madura (Moreira Estrella, 2021, p. 24) con árboles que presentan DAP superiores a 5 cm (diámetros correspondientes a latizales y fustales) e incluso en su mayoría en el rango de 15 a 20 cm.

Altura del mangle rojo
De manera general, en el área en investigación los árboles de mangle tuvieron alturas que variaron entre 1,7 y 20 m, con promedio de 10,71 ± 3,47 m; sin embargo, dichas alturas no fueron similares entre las zonas estudiadas, siendo consistentemente mayores en la zona A con 12,64 ± 2,82 m que en las zonas B y C (p<0,05). El hecho de que los árboles de R. mangle no hayan sobrepasado los 20 m de altura es algo habitual; pues como afirman Cordero-Murillo et al. (2023, p. 70), es raro encontrar árboles de mangle de más de 20 m de altura; si bien es cierto, en el pasado se hallaron árboles de mangle rojo muy altos, con alturas de hasta 50 m, en manglares cercanos a la zona de estudio (manglar de la isla Puná, Ecuador), las actividades antrópicas, principalmente la tala, han impedido que en la actualidad se hallen árboles con tales alturas (Guerrero Calderón, 2022, p. 76).
Respecto a la clasificación de los árboles de mangle según su altura, se observa que, en el manglar de Puerto Pizarro, las clases más abundantes fueron los árboles bajos y medianos que correspondieron a más del 99% de ejemplares muestreados. Los árboles altos y arbustivos fueron muy escasos. Nuevamente se aprecia que la zona A mostró una composición de árboles distinta a las de las zonas B y C, encontrándose predominancia de árboles medianos (Figura 3).
La altura promedio registrada para R. mangle (10,71 ± 3,47 m) indica que la mayoría de los árboles correspondieron a latices (Villeda Chávez et al., 2018, p. 105), con lo que se trataría de árboles que están en proceso de alcanzar las máximas alturas para esta especie en la zona, lo que se observa de igual manera en la Figura 3. Las diferencias en alturas de R. mangle en que se aprecian tanto en la tabla 3 y la Figura 3, muestran que los árboles de la zona A son más desarrollados que los de las zonas B y C, lo cual podría deberse a que dichas zonas presentan mayor cantidad de actividades antrópicas, lo cual según Ramos et al. (2023, p. 7), repercute de manera negativa en el crecimiento de los mangles.
| Zona | Altura (m) | |
| Promedio ± Desviación estándar | Rango | |
| A | 12,64 ± 2,82 | 1,7-20,0 |
| B | 7,84 ± 1,74 | 3,0-12,8 |
| C | 7,24 ± 1,64 | 2,7-13,0 |
| Total | 10,71 ± 3,47 | 1,7-20,0 |

Densidad de árboles de mangle rojo
El mangle rojo (R. mangle) fue la especie con mayor densidad en el manglar de Puerto Pizarro, habiéndose observado 388,7 árboles/ha, que representa más de la mitad (51,5%) de los ejemplares de mangle en las parcelas muestreadas, superando ampliamente a las otras especies: A. germinans (26,8%) y L. racemosa (21,7%); al respecto, Antepara Peñafiel (2023, pp. 28–29) señala que R. mangle son plantas que tienden a ocupar las áreas del manglar y evitar que otras especies de mangle se desarrollen en las mismas, por lo que esto justificaría la mayor densidad de R. mangle en la zona de Puerto Pizarro.
La densidad de R. mangle no fue uniforme en las tres zonas estudiadas, de tal manera que en la zona A el mangle rojo fue muy abundante, representando el 92,1% de los árboles de la zona, pero fue mucho menor en las áreas B y C con 29,3% y 31,6% respectivamente; en dichas zonas, los árboles más abundantes fueron L. racemosa y A. germinans respectivamente (tabla 4); esto se puede deber a que en las zonas B y C hay mayor presión antrópica que impacta de manera negativa en los árboles de R. mangle, las especies de L. racemosa y A. germinans, al producir mayor número de propágulos que los de R. mangle (Hoyos, Urrego y Lema, 2013, p. 1454), al tener el potencial de ocupar doseles más abiertos colonizan zonas en las que las poblaciones originales de árboles de mangle han sido alteradas (Cordero-Murillo et al., 2023, p. 68); por dichas características es posible que ambas especies pueden ocupar dichas zonas incrementando su número y superando a los de R. mangle.
| Especie | Zona | Total (10,25 ha) | |||||||||||||
| A (6,25 ha) | B (2,00 ha) | C (2,00 ha) | |||||||||||||
| n | DA (árb./ha) | DR% | n | DA (árb./ha) | DR% | n | DA (árb./ha) | DR% | n | DA (árb./ha) | DR% | ||||
| R. mangle | 2458 | 393,3 | 92,1 | 911 | 455,5 | 29,3 | 615 | 307,5 | 31,6 | 3984 | 388,7 | 51,5 | |||
| A. germinans | 24 | 3,8 | 0,9 | 1025 | 512,5 | 32,9 | 1020 | 510,0 | 52,4 | 2069 | 201,9 | 26,8 | |||
| L. racemosa | 187 | 29,9 | 7,0 | 1178 | 589,0 | 37,8 | 313 | 156,5 | 16,0 | 1678 | 163,7 | 21,7 | |||
| Total | 2669 | 427,0 | 100,0 | 3114 | 1557,0 | 100,0 | 1948 | 974,0 | 100,0 | 7731 | 754,2 | 100 | |||
n= cantidad de árboles
Frecuencia de árboles de mangle rojo
De manera consistente, los árboles de mangle rojo fueron la única especie presente en todas las parcelas muestreadas, con una frecuencia del 100%. En segundo lugar se reportó al mangle blanco (L. racemosa) que estuvo presente en 98% de las parcelas, siendo el mangle negro (A. germinans) el que se presentó con menos frecuencia, con presencia en 17 de las 41 parcelas, teniendo una frecuencia de 41%; estos resultados son congruentes con lo indicado por varios autores (Bezerra et al., 2022, p. 35; Dioses-Puelles et al., 2023, p. 181 y Hamilton, 2020b, p. 6) respecto a que R. mangle es la especie más frecuente que se halla en los manglares peruanos y ecuatorianos, mientras que L. racemosa y A. germinans son los siguientes en orden de frecuencia (tabla 5):
| Especie | Zona | Total (41 parcelas) | |||||||||||||
| A (25 parcelas) | B (8 parcelas) | C (8 parcelas) | |||||||||||||
| n | FA | FR% | n | FA | FR% | n | FA | FR% | n | FA | FR% | ||||
| R. mangle | 25 | 1,00 | 100,0 | 8 | 1,00 | 100,0 | 8 | 1,00 | 100,0 | 41 | 1,00 | 100,0 | |||
| A. germinans | 3 | 0,12 | 12,0 | 7 | 0,88 | 88,0 | 7 | 0,88 | 88,0 | 17 | 0,41 | 41,0 | |||
| L. racemosa | 25 | 1,00 | 100,0 | 8 | 1,00 | 100,0 | 7 | 0,88 | 88,0 | 40 | 0,98 | 98,0 | |||
| Total | 25 | 1,00 | 100,0 | 8 | 1,00 | 100,0 | 8 | 1,00 | 100,0 | 41 | 1,00 | 100,0 | |||
n= cantidad de parcelas en la que está presente la especie
Dominancia
Los árboles de R. mangle, tuvieron una alta dominancia en todo el manglar de Puerto Pizarro (82,6%), siendo aún más dominantes en la zona A con 96,2%, esto debido a que aparte de su mayor abundancia, también tuvieron mayor DAP, lo cual implica una mayor área basal y por consiguiente una mayor dominancia (tablas 6 y 7). Los árboles de Rhizophora spp. habitualmente dominan en zonas influenciadas por las mareas, con alto contenido de nutrientes y con aguas de menor salinidad (Guerrero Calderón, 2022, p. 74); esto podría ser una causa adicional del mayor desarrollo, frecuencia y dominancia de R. mangle en la zona A de Puerto Pizarro, en la cual hay una mayor predominancia de agua dulce proveniente del delta del río Tumbes; por otro lado en las zonas B y C su dominancia es menor siendo superado incluso por A. germinans en el área C, esto posiblemente debido a la mayor presión antrópica que se tiene en dichas zonas que hace que la cantidad de árboles de R. mangle y su desarrollo sea menor, reduciendo su dominancia.
| Zona | Área (ha) | Área basal (m2) | Dominancia Absoluta (m2/ha) | |||||||
| R. mangle | A. germinans | L. racemosa | Todas | R. mangle | A. germinans | L. racemosa | Todas | |||
| A | 6,25 | 79,3 | 0,3 | 2,8 | 82,4 | 12,69 | 0,05 | 0,45 | 13,18 | |
| B | 2,00 | 8,0 | 4,8 | 3,8 | 16,6 | 4,00 | 2,40 | 1,90 | 8,30 | |
| C | 2,00 | 3,5 | 5,8 | 1,7 | 11,0 | 1,75 | 2,90 | 0,85 | 5,50 | |
| Total | 10,25 | 90,8 | 10,9 | 8,3 | 110,0 | 8,86 | 1,06 | 0,81 | 10,73 | |
| Zona | Dominancia relativa (%) | ||
| R. mangle | A. germinans | L. racemosa | |
| A | 96,2 | 0,4 | 3,4 |
| B | 48,2 | 28,9 | 22,9 |
| C | 31,8 | 52,7 | 15,5 |
| Total | 82,6 | 9,9 | 7,5 |
Índice de valor de importancia ecológica de R. mangle
El índice de valor de importancia ecológica (IVI) de los árboles de mangle (234,1%) fue mayor que el de las otras especies de mangle en todo el manglar de Puerto Pizarro, siendo aún mayor en la zona A (288,3%); superando también al de las otras especies en la zona B; sin embargo, en la zona C, su IVI (163,4%) estuvo por debajo del correspondiente para A. germinans (192,1%) (Tabla 8).
| Especie | Parámetro | Zona | Total | ||
| A | B | C | |||
| R. mangle | DR% | 92,1 | 29,3 | 31,6 | 51,5 |
| FR% | 100,0 | 100,0 | 100,0 | 100,0 | |
| DomR% | 96,2 | 48,2 | 31,8 | 82,6 | |
| IVI | 288,3 | 177,5 | 163,4 | 234,1 | |
| IVI100 | 70,0 | 36,4 | 34,4 | 53,3 | |
| A. germinans | DR% | 0,9 | 32,9 | 52,4 | 26,8 |
| FR% | 12,0 | 88,0 | 88,0 | 41,0 | |
| DomR% | 0,4 | 28,9 | 52,7 | 9,9 | |
| IVI | 13,3 | 149,8 | 192,1 | 77,7 | |
| IVI100 | 3,2 | 30,7 | 40,4 | 17,7 | |
| L. racemosa | DR% | 7,0 | 37,8 | 16,0 | 21,7 |
| FR% | 100,0 | 100,0 | 88,0 | 98,0 | |
| DomR% | 3,4 | 22,9 | 15,5 | 7,5 | |
| IVI | 110,4 | 160,7 | 119,5 | 127,2 | |
| IVI100 | 26,8 | 32,9 | 25,2 | 29,0 | |
Respecto al IVI normalizado al 100% (IVI100) (Tabla 8), se observa de manera más clara que la especie con mayor importancia en las zonas A y B fue R. mangle (70,0% y 36,4% respetivamente), en tanto que en la zona C lo fue A. germinans (40,4%), sin embargo; para el área total del manglar evaluada, la especie más importante fue R. mangle con un IVI100 de 53,3%. Dicho índice es similar al reportado por Cordero-Murillo et al. (2023, p. 4) para R. mangle en un manglar de Guayaquil (Ecuador); al reportado por Antepara Peñafiel (2023, p. 19) para un manglar de Costa Rica, con un IVI100 de 57,8%; así como al reportado en el SNLMT (Tumbes, Perú) por Dioses-Puelles et al. (2023, p. 181) con 59,12%; en todos los casos se observa que los árboles del género Rhizophora son los que mayor IVI tienen en manglares del Pacífico Americano, indicando la importancia de dicho género en dicho ecosistema (Morocho et al., 2022, p. 2).
Por otra parte, el segundo y tercer género con mayor IVI100 fue L. racemosa y A. germinans, los cuales también son géneros muy importantes e incluso dominantes en algunas zonas del ecosistema del manglar del Pacífico Americano (Morocho et al., 2022, p. 2).
CONCLUSIONES
La población de árboles de mangle rojo (Rhizophora mangle) en el manglar de Puerto Pizarro, es una población madura que se evidencia por la presencia mayoritaria de árboles con DAP y altura que los clasifica como fustales y latizales; esta población es la que presenta mayor densidad (51,5%), frecuencia (100%) y dominancia (82,6%) entre las especies de mangle de dicho lugar; debido a lo cual también es la que mayor IVI100 presenta con 53,3%.
Las características estructurales de R. mangle no son uniformes en toda el área del manglar de Puerto Pizarro; en la zona A, que es la zona con menor impacto antrópico y menor salinidad, sus características estructurales (DAP, altura, densidad, dominancia e IVI) fueron superiores a las registradas en las zonas B y C, que presentan mayor impacto antrópico y salinidad. En el caso de la frecuencia, R. mangle estuvo presente en todas las zonas evaluadas.
Los resultados encontrados muestran que, aunque la población de R. mangle del manglar de Puerto Pizarro es madura, requiere cuidados porque las actividades antrópicas de la localidad podrían afectar al desarrollo de su población.
REFERENCIAS
Antepara Peñafiel, L. A. (2023) Composición y estructura del manglar de la Reserva Ecológica Manglares Churute, Provincia del Guayas, Ecuador (Tesis de Biólogo) Recuperado de http://repositorio.ug.edu.ec/handle/redug/67638.
Arnaud, M., Krause, S., Norby, R. J., Dang, T. H., Acil, N., Kettridge, N., Gauci, V. y Ullah, S. (2023) Global mangrove root production, its controls and roles in the blue carbon budget of mangroves. Global Change Biology, 29 (12), pp. 3256-3270. DOI:10.1111/gcb.16701.
Bezerra, W. M., Tavares, T. C. L., Nogueira, V. L. R., Normando, L. R. O., Bomfim, T. A., Angelim, A. L. y Melo, V. M. M. (2022) Bacteriome associated with Rhizophora mangle sediments within Brazil semi-arid mangroves. Arquivos de Ciências do Mar, 55, pp. 34-51. Recuperado de https://repositorio.ufc.br/bitstream/riufc/64623/1/2022_art_wmbezerra.pdf
Cabrera Dioses, V. V. (2022) Análisis multitemporal del comportamiento forestal en el ecosistema manglar mediante percepción remota, período 1986 a 2021, Tumbes. (Tesis de Ingeniero Forestal y del Medio Ambiente). Recuperado de https://repositorio.untumbes.edu.pe/handle/20.500.12874/63842.
Castillero, R. G., Vega, A. J., Robles, Y. A. y Rivera, J. (2023) Caracterización geomorfológica, florística y estructural del manglar en la costa de Pixvae, golfo de Chiriquí, Pacífico de Panamá. Tecnociencia, 25 (1), pp. 209-229. Recuperado de https://uptv.up.ac.pa/index.php/tecnociencia/article/view/3445
Cordero-Murillo, A. L., Acosta-Vargas, L. G., Pineda-Gómez, J. A. y Torres-Gómez, D. (2023) Estructura, composición y contenido de carbono de manglares en los Humedales Níspero y San Buenaventura-Colorado, Golfo de Nicoya, Costa Rica. Revista Forestal Mesoamericana Kurú, 20 (46), pp. 64-73. Recuperado de https://revistas.tec.ac.cr/index.php/kuru/article/view/6606
Dioses-Puelles, J., García-García, R. y Bermejo-Requena, L. A. (2023) Tipos de cobertura vegetal del Área Natural Protegida “Santuario Nacional Los Manglares de Tumbes”, Tumbes, Perú. Manglar, 20 (2), pp. 177-183. DOI:10.57188/manglar.2023.020.
Freire Carpio, J. S. (2021) Composición y estructura de los manglares de borde, Puerto El Morro, provincia del Guayas, Ecuador. (Tesis de Bióloga). Recuperado de http://repositorio.ug.edu.ec/handle/redug/52772.
Guerrero Calderón, J. M. (2022) Composición, distribución y estructura de los manglares de borde de las comunas Bajo Alto y La Puntilla - El Guabo, provincia de El Oro, Ecuador 2021. (Tesis de Biólogo Marino). Recuperado de https://repositorio.upse.edu.ec/handle/46000/8861.
Hamilton, S. E. (2020a) Botany of mangroves. DOI:10.1007/978-3-030-22240-6_1
Hamilton, S. E. (2020b) Mangroves and aquaculture: a five decade remote sensing analysis of Ecuador’s estuarine environments. Cham, Switzerland: Springer.
Hoyos G., R., Urrego G., L. E. y Lema T., Á. (2013) Respuesta de la regeneración natural en manglares del Golfo de Urabá (Colombia) a la variabilidad ambiental y climática intra-anual. Revista de Biología Tropical, 61(3), pp. 1445-1461. Recuperado de http://www.scielo.sa.cr/scielo.php?script=sci_abstract&pid=S0034-77442013000400035&lng=en&nrm=iso&tlng=es
Idrogo Harvey, I. K. (2016) Estructura de las especies de mangle en el Santuario Nacional Los Manglares de Tumbes. (Tesis de Bióloga). Recuperado de http://repositorio.unp.edu.pe/handle/UNP/1335.
Maiti, S. K. y Chowdhury, A. (2013) Effects of anthropogenic pollution on mangrove biodiversity: A review. Journal of Environmental Protection, 4 (12), pp. 1428-1434. DOI:10.4236/jep.2013.412163.
Martínez Cabrera, R. (2022) Presión antrópica y su relación con la susceptibilidad del Santuario Nacional los Manglares de Tumbes, 2000 – 2020. Revista Cátedra Villarreal Posgrado, 1 (2), pp. 97-109. Recuperado de https://eupgrevista.itdataperu.net/index.php/RCVP/article/view/2
Montero, P. (2019) Calidad ambiental de la bahía de Puerto Pizarro y del ecosistema de manglar, Tumbes, Perú. junio 2009. Boletín Instituto del Mar del Perú, 46 (4), pp. 636-660. Recuperado de https://repositorio.imarpe.gob.pe/bitstream/20.500.12958/3379/1/Informe%2046%284%29-7.pdf
Morán Ávila, B. e Hidalgo Mogollón, A. (2018) Impactos ambientales en la Bahía Puerto Pizarro. Manglar, 13 (2), pp. 43-51. Recuperado de https://erp.untumbes.edu.pe/revistas/index.php/manglar/article/view/62
Moreira Estrella, H. R. (2021) Estado de las poblaciones de Laguncularia racemosa var. glabriflora (Combretaceae) en el Golfo de Guayaquil, Ecuador. (Tesis de Biólogo) Recuperado de http://repositorio.ug.edu.ec/handle/redug/52803.
Mori, G. M., Madeira, A. G., Cruz, M. V., Tsuda, Y., Takayama, K., Matsuki, Y., Suyama, Y., Iwasaki, T., De Souza, A. P., Zucchi, M. I. y Kajita, T. (2021) Testing species hypotheses in the mangrove genus Rhizophora from the Western hemisphere and South Pacific islands. Estuarine, Coastal and ShelfScience, 248, pp. 106948. DOI: 10.1016/j.ecss.2020.106948.
Morocho, R., González, I., Ferreira, T. O. y Otero, X. L. (2022) Mangrove forests in Ecuador: A two-decade analysis. Forests, 13 (656). DOI:10.3390/f13050656.
Nguyen, A., Le, B. V. Q. y Richter, O. (2020) The role of mangroves in the retention of heavy metal (chromium): A simulation study in the Thi Vai river catchment, Vietnam. International Journal of Environmental Research and Public Health, 17 (5823). DOI:10.3390/ijerph17165823.
Ordinola Zapata, E., Alemán Mejía, S. y Montero Rodríguez, P. (2020) Cangrejo del manglar (Ucides occidentalis) en la región Tumbes, Perú. Informe del Instituto del Mar del Perú, 47 (2), pp. 317-326. Recuperado de https://repositorio.imarpe.gob.pe/handle/20.500.12958/3436
Ordinola-Zapata, A., Siccha, Z., Castillo-Carrillo, P. y Luque, C. (2019) Identificación mediante ADN barcode de peces invasores en el manglar de Tumbes (Perú). Manglar, 16 (2), pp. 91-97. DOI:10.17268/manglar.2019.013.
Peralta Ortiz, T. (2014) Identificación de especies bacterianas en el sistema radicular de Rhizophora mangle, en el Santuario Nacional Los Manglares de Tumbes, 2011- 2012. Manglar, 11(1), pp. 61-66. DOI:10.17268/manglar.2014.008.
Pérez, A., Velazco, F., Carhuapoma, W. y Gutiérrez, D. (2016) Efecto del régimen hídrico sobre las condiciones geoquímicas de los sedimentos submareales de los manglares de Tumbes. Ministerio del Ambiente. Recuperado de https://repositoriodigital.minam.gob.pe/handle/123456789/501.
Pérez-Escobar, O. A., Lucas, E., Jaramillo, C., Monro, A., Morris, S. K., Bogarín, D., Greer, D., Dodsworth, S., Aguilar-Cano, J., Sánchez Meseguer, A. y Antonelli, A. (2019) The origin and diversification of the hyperdiverse flora in the Chocó biogeographic region. Frontiers in Plant Science, 10 (1328). DOI:10.3389/fpls.2019.01328.
Pozo Pozo, G. A. (2023) Estructura y composición florística del manglar de Jambelí, provincia de Santa Elena – Ecuador. (Tesis de Bióloga). Recuperado de https://repositorio.upse.edu.ec/handle/46000/10125.
Prihatiningrum, A., Arifin, S., Sutarman y Abror, M. (2018) The response of seedling growth of Rhizophora apiculuta to various concentrations of Sidoarjo mud. Journal of Physics: Conference Series, 1114 (012001). DOI:10.1088/1742-6596/1114/1/012001.
Ramírez Astudillo, J. C. (2022) Sistema de gestión ambiental para el manejo de residuos sólidos en el Centro Poblado villa Puerto Pizarro. (Tesis de Maestro en Acuicultura y Gestión Ambiental). Recuperado de https://repositorio.untumbes.edu.pe/handle/20.500.12874/63754.
Ramos, J. G., Gracia-Sánchez, J. y Marrufo-Vázquez, L. (2023) Loss of mangroves as a consequence of the anthropic interactions downstream a river basin. Journal of Ecohydraulics, 8 (1), pp. 71-80. DOI:10.1080/24705357.2020.1820913.
Rull, V. (2023) Rise and fall of Caribbean mangroves. Science of The Total Environment, 885 (163851). DOI: 10.1016/j.scitotenv.2023.163851.
Segaran, T. C., Azra, M. N., Lananan, F., Burlakovs, J., Vincevica-Gaile, Z., Rudovica, V., Grinfelde, I., Rahim, N. H. A. y Satyanarayana, B. (2023) Mapping the link between climate change and mangrove forest: A global overview of the literature. Forests, 14 (421). DOI:10.3390/f14020421.
Seminario-Córdova, R. A., Barreto, I. B. y Tuesta, Z. E. E. (2022) Coastal wetlands of the north of Peru: preservation progress. Acta Scientiarum Biological Sciences, 44 (e62571). DOI:10.4025/actascibiolsci.v44i1.62571.
Thattai, D., Rangarajan, S., Rajan, R. J. y Rajan, L. J. (2023) Mangrove literature from 2000 to 2019 – A Scientometric analysis of Scopus records. Journal of Scientometric Research, 11 (3), pp. 458-468. DOI:10.5530/jscires.11.3.49.
Villeda Chávez, E., Lara Domínguez, A. L., González Zamorano, P., Rubio, E. A., Valderrama Landeros, L. H., Ramírez García, P., García Calva, L., Argüello Velázquez, J. y Cruz López, M. I. (2018) Muestreo de variables estructurales. Comisión Nacional para el Conocimiento y Uso de la Biodiversidad. Recuperado de https://bioteca.biodiversidad.gob.mx/janium/Documentos/14078.pdf.
Zarco-Espinosa, O., Valdez-Hernández, V. M., Ángeles-Pérez, J. I. y Castillo-Acosta, G. (2010) Estructura y diversidad de la vegetación arbórea del parque estatal Agua Blanca, Macuspana, Tabasco. Universidad y Ciencia, 26 (1), pp. 1-17. Recuperado de https://www.redalyc.org/articulo.oa?id=15416251001
Notas de autor
aordinolaz@untumbes.edu.pe
Información adicional
Cómo citar: Zapata-Cruz, M., García-Seminario, R.,
Hidalgo-Mogollón, A., Vieyra-Peña, E., Sánchez-Suárez, H. &
Ordinola-Zapata, A. (2024). Características estructurales del mangle rojo (Rhizophora
mangle) en el manglar de Puerto Pizarro (Tumbes, Perú). FIGEMPA: Investigación y Desarrollo, 17(1), 01-15. https://doi.org/10.29166/revfig.v17i1.5673

