
Estudio del aprovechamiento de agua de riego disponible por unidad de producción agropecuaria, con base en el requerimiento hídrico de cultivos y el área regada, en dos localidades de la Sierra ecuatoriana
Available irrigation water utilization for agricultural production unit, based on crop water requirements and irrigated area, in two locations of the Ecuadorian highlands
Siembra
Universidad Central del Ecuador, Ecuador
ISSN: 1390-8928
ISSN-e: 2477-8850
Periodicidad: Semestral
vol. 5, núm. 1, 2018
Recepción: 02 Mayo 2018
Aprobación: 15 Octubre 2018
Autor de correspondencia: cnieto@uce.edu.ec
Resumen: El agua que se destina a riego agrícola bordea el 70% de la disponibilidad de agua dulce del planeta, y en Ecuador el porcentaje es muy parecido. Esto justifica cualquier esfuerzo de investigación o estrategia para optimizar el aprovechamiento del agua de riego. El objetivo de la investigación fue: determinar la eficiencia del aprovechamiento del agua de riego disponible por Unidad de Producción Agropecuaria, UPA, en función del área regada y del requerimiento de los cultivos en dos localidades de la Sierra ecuatoriana; la Junta de Riego Porotog, parroquia Cangagua, cantón Cayambe y Comuna, San Ramón, parroquia Mulaló, cantón Latacunga. Se trabajó con nueve sistemas de producción típicos de las zonas en estudio. Se encontró que, en Cangagua, el 95% de los agricultores estudiados no cuentan con la disponibilidad de agua necesaria para satisfacer los requerimientos de los cultivos y sistemas de producción para el área regada en sus UPA; es decir, están subutilizando el agua al regar superficies superiores a las que deben regarse con el agua disponible. En cambio, en Mulaló se encontró que el 83% de productores están sobre utilizando el agua de riego al disponer de excesos de agua sobre los requeridos por lo cultivos y por área regada. La conclusión principal de la investigación fue: tanto el déficit como el exceso de agua de riego en las UPA, que provocan ineficiencias en el aprovechamiento de este recurso escaso, estarían propiciadas entre otros factores por la modalidad del reparto equitativo de agua en las comunidades, que no obedece a factores técnicos como la disponibilidad de tierra regable para adjudicar los caudales o volúmenes de agua requeridos.
Palabras clave: Aprovechamiento del agua de riego, disponibilidad de agua, demanda hídrica de cultivos.
Abstract: Approximately 70% of all fresh water, one of the most important resources of the planet is used for agricultural activities, and the proportion is very similar in Ecuador. This is enough justification to any research or strategy in order to optimize the available irrigation water utilization. The research goal was to determine the efficiency of available irrigation water utilization per Agricultural Production Unit (UPA), in function of the irrigated area and the crop water requirements, in two locations of the Ecuadorian Range Area. The “Porotog” rural Irrigation Board, in Cangagua rural parish, at canton Cayambe, and “San Ramon” community, in Mulaló rural parish, at canton Latacunga. The field work included nine typical production systems, at the research locations. The results showed in Cangagua near of 95% of the UPA do not have enough irrigation water to supply the crop water requirements at the irrigated area. It means that these growers are underusing the irrigation water, because they irrigate more area than it can be irrigated with the available water. On the contrary, in Mulaló, the 85% of producers are overusing the irrigation water, because they have water in excess for the irrigated area. The main conclusion of the investigation refers: both the deficit and the excess of irrigation water in the UPA, that produce inefficiency in the consumption of this scarce resource, would be the result of equitable distribution of the water in the communities, which does not depend of technical factors like agricultural land available for irrigation, in order to assign the correct amounts of irrigation water.
Keywords: Irrigation water utilization, water availability, crop water requirements.
1. Introducción
En Ecuador el agua dulce está destinada a consumo humano, riego y actividades industriales, entre las más importantes (Gaybor, 2008). Sin embargo, el uso en riego es el principal por volumen utilizado, pero se realiza bajo condiciones ineficientes. La deficiencia en el manejo del agua de riego se observa en todos los componentes del sistema, desde la captación hasta la aplicación en las parcelas; pasando por la conducción, almacenamiento, distribución y métodos de riego parcelario. En Ecuador el proceso es improvisado y sin planificación en la mayoría de juntas de regantes. Además, la población rural genera presión e intervención sobre las principales fuentes de agua y perturba los elementos del ciclo hidrológico a nivel local, con resultados como bajas de caudal en la fuentes y contaminación de las aguas superficiales, lo que agrava la disponibilidad y calidad del agua de riego para las actividades agropecuarias (Lloret, 2002).
El riego es un factor relevante en los ámbitos productivo, social, económico y ambiental. En lo social y económico, cuando se utiliza un sistema de riego técnicamente apropiado para una determinada UPA, la productividad de la misma se incrementa e incluso se diversifica, por lo que el riego se considera un elemento que gravita en la resolución de los problemas de pobreza en las áreas rurales; genera empleo y a su vez, disminuye la emigración rural. En el ámbito ambiental, el riego es un factor que limita la expansión de la frontera agrícola y favorece la conservación de ecosistemas frágiles (Zapatta & Gasselin, 2005).
Otro factor de relevancia en la gestión del agua de riego es el acceso inequitativo al recurso. Además de ser un recurso con una distribución heterogénea en el territorio, es también el resultado de las relaciones de poder; es decir, se observa una clara concentración del agua de riego en pocas manos, en contraste con el acceso limitado para las poblaciones campesinas, (Gaybor, 2013). Hay autores que manifiestan que el acceso inequitativo a las fuentes de agua, históricamente ha sido facilitado por el propio Estado, que ha configurado un sistema que da lugar al reparto inequitativo. Este fenómeno se observa desde la época colonial, pasando por la republicana y sus implicaciones se viven en la actualidad, dado que las grandes haciendas (antes) y empresas agropecuarias (hoy), captan y se hacen adjudicar “legalmente” la mayor parte del agua disponible, en desmedro del acceso para los agricultores, que conforman la denominada “agricultura familiar o agricultura de subsistencia”, que a pesar de que son la fuente de abastecimiento de productos básicos para los pueblos urbanos, y son generadores de un dinamismo social y económico en el área rural, no tienen el agua suficiente ni oportuna para regar sus UPA (Zapatta & Mena, 2013; Gaybor, 2013).
El aprovechamiento eficiente del agua de riego es un factor de preocupación de varios sectores e incluso del organismo oficial del Estado en materia producción primaria. Sin embargo, aparentemente la preocupación recae en la eficiencia de la captación o de la conducción y mucho recae en la eficiencia del riego parcelario, pero no en el aprovechamiento eficiente de agua disponible, así: el MAG, define a la eficiencia del riego como “la relación o porcentaje entre el volumen de agua efectivamente utilizado por las plantas y el volumen de agua retirado en la bocatoma”. Del volumen de agua retirado en la bocatoma de un sistema de riego, una parte importante no es utilizada por las plantas (MAGAP, 2014), por lo tanto, el tema de la eficiencia del riego debería ser materia de política de Estado, pero también la oportunidad del aprovechamiento del agua disponible en las UPA.
Las políticas de Estado sobre la gestión del agua se describen como políticas públicas que, por lo general, son elaboradas y ejecutadas por los grupos de poder o con su influencia, sin involucrar a comunidades rurales (indígenas, campesinas mestizos y afrodescendientes), lo cual explica las contradicciones en la gestión del recurso (Gaybor, 2013). Esta situación ha generado el esfuerzo de las comunidades rurales por defender sus derechos de agua que están atados a sus territorios. En Ecuador, el movimiento campesino reivindicatorio del acceso al agua ha conseguido logros importantes, uno de los más relevantes ha sido consolidarse como sujetos del agua en Ecuador y la creación de sistemas de riego beneficiando localmente a sus comunidades, pues están conscientes que pueden administrar, operar el agua para sus fines, de manera eficiente (Hoogesteger, 2014). Sin embargo, se ha encontrado que el logro del acceso al recurso por parte de las comunidades no es suficiente, debido a otro tipo de problemas que impiden directa o indirectamente la eficiencia en el aprovechamiento del agua disponible. En este contexto, la investigación aborda una faceta de la problemática del agua de riego, en las comunidades estudiadas, bajo la siguiente pregunta “¿Es la disponibilidad de agua, suficiente para satisfacer las necesidades de los cultivos, en el área regada de la UPA, en forma eficiente?”
1.1. Objetivo
Determinar el nivel de aprovechamiento del agua de riego disponible en la Unidad de Producción Agropecuaria, con base en el requerimiento hídrico de los cultivos o sistemas productivos y el área regada en la misma, en dos localidades de la Sierra ecuatoriana.
1.2. Hipótesis
Los agricultores de las comunidades rurales estudiadas, en Cangagua y Mulaló, aprovechan en forma eficiente el agua de riego disponible, en función del balance entre la disponibilidad y el requerimiento de agua de los cultivos y el área regada en sus UPA.
2. Materiales y métodos
La investigación se realizó para tres sistemas de producción, repartidos en cuatro comunidades de la parroquia rural Cangagua, cantón Cayambe, con una muestra de 65 usuarios (UPA), de la Junta de Riego Porotog; y para seis sistemas de producción en la comunidad San Ramón de la parroquia Mulaló, del cantón Latacunga, con 151 usuarios (UPA) (Tabla 3). Se midió las entradas efectivas de agua a la UPA, para contrastar con las necesidades de los sistemas de producción regados en cada UPA. En el caso de Cangagua, el caudal de agua de riego disponible por UPA se cuantificó de la información determinada en una investigación anterior (Quishpe, 2015); mientras que en el caso Mulaló, el caudal se midió directamente en la entrada de cada UPA. La información complementaria para la investigación fue obtenida de fuentes oficiales, así: los datos de precipitación temperatura, velocidad del viento, humedad relativa y radiación. Se tomaron de las bases de datos del Instituto Nacional de Meteorología e Hidrología (INAMHI), de las estaciones de influencia para las áreas en estudio: Estación Pluviométrica Cangagua y Estación Meteorológica Tomalón-Tabacundo, para Cangagua. Estación Pluviométrica Pastocalle y Estación Meteorológica Rumipamba-Salcedo, para Mulaló. En todos los casos se trabajó con valores promedio de una serie datos de los últimos 30 años disponibles en el INAMHI. Se aclara que no se ha hecho ninguna clase de ajuste a los métodos ni a los modelos de cálculo y toma de datos del INAMHI, ni para las variables climáticas utilizadas en los modelos ni por los sitios o áreas de influencia definidas por esta institución.
2.1. Procedimiento de cálculo de disponibilidad de agua en las UPA, consumo por cultivos y balance
Para la investigación se utilizó como herramienta de cálculo y análisis el programa “Cropwat 8”, que es un programa informático para el cálculo de los requerimientos hídricos de los cultivos, desarrollado por la FAO y considerado como un modelo de balance hídrico (Ramos, 2013). Este se basa en datos de clima, suelo y cultivo que son ingresados por el usuario con el fin de gestionar sistemas de riego. El programa permite ingresar datos de precipitación mensual los que sirven para el cálculo de la precipitación efectiva. Para el cálculo de la evapotranspiración de referencia (ET0), se introducen los datos de temperatura, humedad, velocidad del viento y radiación solar al modelo FAO-Penman-Monteith, (Ramos, 2013). La investigación se desarrolló en tres etapas secuenciales y complementarias entre sí, cuyos procedimientos de cálculo y fundamentos técnico-científicos fueron los siguientes:
a) Disponibilidad de agua en las UPA, (E). Se cuantificó de la sumatoria entre el caudal de entrada, que fue medido en cada UPA y transformado a volumen por m2 y la precipitación efectiva en cada localidad en estudio. Puesto que no toda el agua de lluvia llega a la zona radicular de los cultivos, debido a pérdidas por procesos naturales como escorrentía, percolación y evaporación, la cantidad de agua que se almacena en la zona de las raíces se conoce como precipitación efectiva y es aquella que logra satisfacer al menos una parte de los requerimientos hídricos de los cultivos, (Alfaro, 2012).
La precipitación efectiva en los sitios de estudio se calculó utilizando el modelo “Cropwat 8” de la FAO, que se soporta en variables como: pendiente, cobertura vegetal, humedad de la capa superficial del suelo, y cantidad e intensidad de lluvia. Este modelo cuenta con cinco métodos de cálculo que utilizan las variables, de los cuales, en la presente investigación se utilizó el método recomienda por la FAO y se denomina método del Servicio de Conservación de Suelos del Departamento de Agricultura de los Estados Unidos (USDA S.C.), que se especifica en la Ecuación [1] (Fernández et al., 2012; Swennenhuis, 2009).
Ecuación [1]
Pe: Precipitación efectiva (mm)
P: Precipitación media mensual (mm)
En la Tabla 1, se presenta como ejemplo del cálculo, los resultados de la precipitación efectiva, aplicable a la parroquia rural Mulaló, con base en los datos de la Estación Pluviométrica Pastocalle del INAMHI
| Mes | Precipitación | Precipitación Efectiva |
| mm | mm | |
| Enero | 64,2 | 57,6 |
| Febrero | 92,6 | 78,9 |
| Marzo | 106,3 | 88,2 |
| Abril | 126,3 | 100,8 |
| Mayo | 76,7 | 67,3 |
| Junio | 56,2 | 51,1 |
| Julio | 23,7 | 22,8 |
| Agosto | 24,3 | 23,4 |
| Septiembre | 53,6 | 49,0 |
| Octubre | 81,1 | 70,6 |
| Noviembre | 69,3 | 61,6 |
| Diciembre | 83,6 | 72,4 |
| Total | 857,9 | 743,7 |
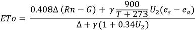
b) Requerimiento hídrico de los cultivos. Los coeficientes de cultivo se calcularon con base en el modelo recomendado por la Organización de las Naciones Unidas para la Alimentación y la Agricultura (FAO). (Allen et al., 2006) y (Brouwer & Heibloem, 1986). En primera instancia se obtuvo la evapotranspiración potencial del área de estudio con base en el programa “Cropwat 8”, que utiliza la ecuación de Penman y Monteith, desarrollada por la FAO y con los datos del INAHI. Esta ecuación es la base para estimar los requerimientos hídricos de los cultivos del programa Cropwat y su cálculo se basa en el siguiente modelo, Ecuación [2], (Allen et al., 1998).
Ecuación [2]
ET0: Evapotranspiración potencial (mm día-1)
Rn: Radiación neta en la superficie del cultivo (MJ m-2 día-1)
G: Flujo de calor en el suelo (MJ m-2 día-1)
Δ: Pendiente de la curva de presión de vapor (kPa°C-1)
γ: Constante psicométrica (kPa°C-1)
T: Temperatura media (°C)
U : Velocidad del viento medida a 2 m de altura (m s-1)
es: Presión de vapor de saturación (kPa)
ea: Presión real de vapor (kPa)
La evapotranspiración por cultivo (ETc) para las especies en estudio, se calculó con base en el coficiente de cultivo (Kc), cuyos valores se detallan en la Tabla 2, y con el ET0, para lo cual, se aplicó el modelo Ecuación [3] (Marín, 2010).

ETc: Evapotranspiración del cultivo (mm día-1)
Kc: Coeficiente del cultivo. Depende del cultivo y su estado fisiológico (Tabla 2)
ET0: Evapotranspiración de referencia. Varía según los factores del clima (mm día-1)
Sin embargo, el cálculo de requerimiento hídrico (ETc), se hizo para los sistemas de producción más frecuentes (combinaciones de cultivos), con base en los cultivos más comunes en las zonas de estudio, descritos en la Tabla 2. Las combinaciones o sistemas que se utilizaron en la investigación, con el número de agricultores involucrados en cada sistema, se describe en la Tabla 3. El cálculo de los requerimientos mensual de agua, de los sistemas de cultivo se realizó con base en las proporciones de área ocupada por cada cultivo en la UPA bajo riego. Un ejemplo de cálculo se presenta en la Tabla 4.
| Cultivo | Etapa inicial | Etapa intermedia | Etapa de madurez | Fuente |
| Cebada, Hordeum vulgare L. (C) | 0.35 | 1.15 | 0.45 | Brouwer & Heibloem, 1986 |
| Cebolla, Allium fistulosum L. (C) | 0.50 | 1.00 | 1.00 | |
| Papa, Solanum tuberosum L. (C) (M) | 0.45 | 1.15 | 0.85 | |
| Pasto, Brachiaria brizantha, Hochst. (C) | 0.30 | 1.05 | 0.75 | (Allen et al., 2006) |
| Alafalta, Medicago sativa L. (C) | 0.40 | 1.2 | 1,15 | |
| Maíz, Zea mays L. (M) | 0,6 | 1,2 | 0,6 | |
| Avena, Avena sativa L. (M) | 0,3 | 1,15 | 0,25 | |
| Haba, Vicia faba L. (M) | 0,15 | 1,10 | 1,05 |
c) Balance mensual entre disponibilidad de agua y requerimiento hídrico por UPA. Para determinar la eficiencia del aprovechamiento de agua de riego por UPA, se realizó un balance entre la disponibilidad de agua en la UPA o entrada (E) y el requerimiento hídrico de los sistemas o combinaciones de cultivos, consumo (C); ambos se calcularon con base en la superficie regada por UPA. La diferencia entre estos dos factores describe la eficiencia del aprovechamiento del agua de riego disponible en la UPA, así:
Si: E = C, se hace un aprovechamiento eficiente
del agua disponible en la UPA.
Si: E < C, se hace subutilización del agua disponible, lo que significa un déficit de agua para la UPA.
Si: E > C, se hace una sobreutilización del agua disponible, lo que significa un exceso de agua en la UPA.
| Sistema y localidad | Descripción | Agricultores involucrados | Cultivo involucrado | Ciclo vegetativo en el año |
| Sistema UNO Cangagua | Combinación de papa y pasto. Corresponde a los agricultores que se dedican en su mayoría a la producción ganadera, pero combinan una proporción de la UPA con producción de papa. | 23 | Papa | - Julio a diciembre con descanso el resto del año. |
| Pasto Brachiaria | -Ciclo 1: enero a abril -Ciclo 2: mayo a agosto -Ciclo 3: sept. a dic. | |||
| Sistema DOS Cangagua | Cebolla en monocultivo. Corresponde a los agricultores que en su totalidad se dedican al cultivo de cebolla, bajo un sistema de monocultivo. | 15 | Cebolla | -Ciclo 1: enero a abril -Ciclo 2: mayo a agosto-Ciclo 3: sep. a dic. |
| Sistema TRES Cangagua | Combinación de cebada, cebolla y papa. Es la combinación más frecuente en la zona. La cebada y la papa en rotación y la cebolla todo el año. | 27 | Cebada | - enero a junio |
| Cebollaw | -Ciclo 1: enero a abril-Ciclo 2: mayo a agosto-Ciclo 3: sep. a dic. | |||
| Papa | -Julio a diciembre | |||
| Sistema UNO Mulaló | Alfalfa en monocultivo. Corresponde a agricultores que dedican el 100% de la UPA a la producción de alfalfa durante el año, con tres cortes por año. | 77 | Alfalfa | -Ciclo 1: enero a abril-Ciclo 2: mayo a agosto-Ciclo 3: sep. a dic. |
| Sistema DOS Mulaló | Combinación de alfalfa y maíz. Corresponde a los agricultores que combinan su UPA entre alfalfa todo el año y una parte de su terreno se designa al maíz para el consumo y venta como choclo. | 31 | Alfalfa Maíz | -Ciclo 1: enero a abril-Ciclo 2: mayo a agosto-Ciclo 3: sep. a dic. -octubre a marzo con descanso el resto del año. |
| Sistema TRES Mulaló | Combinación de alfalfa y papa. Corresponde a los agricultores que combinan su UPA entre alfalfa todo el año y una parte de su terreno se designa a la papa para el consumo y venta. | 20 | Alfalfa Papa | -Ciclo 1: enero a abril- Ciclo 2: mayo a agosto-Ciclo 3: sep. a dic.-abril a sep. con descanso el resto del año. |
| Sistema CUATRO Mulaló | Combinación alfalfa con avena y haba. Los usuarios de este grupo, dividen el área de su UPA para 2 productos: alfalfa y avena, pero una vez cosechada la avena utilizan el suelo para sembrar haba. | 12 | Alfalfa Avena - Haba | -Ciclo 1: enero a abril-Ciclo 2: mayo a agosto-Ciclo 3: sep. a dic. -Avena: enero a junio y haba de julio a dic. |
| Sistema CINCO Mulaló | Combinación alfalfa con maíz y avena. En este sistema el agricultor divide su UPA para 3 productos: alfalfa, avena y maíz, a veces la división es en forma equitativa. | 5 | Alfalfa Maíz Avena | -Ciclo 1: enero a abril-Ciclo 2: mayo a agosto-Ciclo 3: sep. a dic. -Maíz: octubre a marzo y Avena: enero a junio, con descanso el resto del año. |
| Sistema SEIS Mulaló | Combinación alfalfa con papa y maíz. En este sistema el agricultor divide la UPA para producir alfalfa durante todo el año y maíz en rotación con papa. | 6 | Alfalfa Papa-Maíz | -Ciclo 1: enero a abril-Ciclo 2: mayo a agosto-Ciclo 3: sep. a dic. -Papa: abril a Sept y maíz de octubre a marzo, en rotación. |
| Mes | Enero | Febrero | Marzo | |||||||||||||
| ETc mensual (l m-2) | 35,4 | 0,00 | 106,2 | 106,92 | 0,00 | 106,92 | 107,28 | 0,00 | 53,64 | |||||||
| Usuario | Área regada UPA | Área de Cultivos | Requerimiento hídrico (m³/mes/UPA) | Requerimiento hídrico (m³/mes/UPA) | Requerimiento hídrico (m³/mes/UPA) | |||||||||||
| m² | Alfalfa m² | Papa m² | Maíz m² | Alfalfa ETc | Papa ETc | Maíz ETc | Total ETc | Alfalfa ETc | Papa ETc | Maíz ETc | Total ETc | Alfalfa ETc | Papa ETc | Maíz ETc | Total ETc | |
| Cajas Tenelema Jose | 13.765,89 | 10.845,8 | 2.913 | 2.913 | 383,91 | 0,00 | 309,37 | 693,27 | 1.159,53 | 0,00 | 311,46 | 1.470,9 | 1.163,43 | 0,00 | 1.56,26 | 1.319,7 |
| Endara Almache Cesar | 14.875,11 | 10.610,5 | 4.265 | 4.265 | 375,61 | 0,00 | 452,90 | 828,51 | 1.134,47 | 0,00 | 455,9 | 1.590,4 | 1.138,29 | 0,00 | 228,75 | 1.367,1 |
| Mes | Abril | Mayo | Junio | |||||||||||||
| ETc mensual (l m-2) | 99,015 | 43,05 | 0,00 | 32,4 | 40,5 | 0,00 | 93,24 | 89,35 | 0,00 | |||||||
| Cajas Tenelema Jose | 13.765,89 | 10.845,8 | 2.913 | 2.913 | 1.073,8 | 125,4 | 0,00 | 1199 | 351,37 | 117,9 | 0,00 | 469,4 | 1.011,2 | 260,3 | 0,00 | 1.271 |
| Endara Almache Cesar | 14.875,11 | 10.610,5 | 4.265 | 4.265 | 1.050,6 | 183,6 | 0,00 | 1.234 | 343,78 | 172,7 | 0,00 | 516,5 | 989,32 | 381,1 | 0,00 | 137 |
| Mes | Julio | Agosto | Septiembre | |||||||||||||
| ETc mensual (l m-2) | 93,24 | 89,35 | 0,00 | 94,53 | 94,53 | 0,00 | 35,52 | 66,6 | 0,00 | |||||||
| Cajas Tenelema Jose | 13.765,89 | 10.845,8 | 2.913 | 2.913 | 1.011,17 | 260,30 | 0,00 | 1271,5 | 1.025,16 | 275,37 | 0,00 | 1.300,5 | 385,21 | 194,01 | 0,00 | 579,22 |
| Endara Almache Cesar | 14.875,11 | 10.610,5 | 4.265 | 4.265 | 989,32 | 381,06 | 0,00 | 1370,4 | 1.003,01 | 403,13 | 0,00 | 1.406,1 | 376,88 | 284,02 | 0,00 | 660,91 |
| Mes | Octubre | Noviembre | Diciembre | |||||||||||||
| ETc mensual (l m-2) | 110,16 | 0,00 | 64,26 | 105,84 | 0,00 | 61,74 | 99,36 | 0,00 | 103,7 | |||||||
| Cajas Tenelema Jose | 13.765,89 | 10.845,8 | 2.913 | 2.913 | 1.194,67 | 0,00 | 187,19 | 1381,9 | 1.147,82 | 0,00 | 179,85 | 1.327,7 | 1.077,54 | 0,00 | 302,03 | 1.379,6 |
| Endara Almache Cesar | 14.875,11 | 10.610,5 | 4.265 | 4.265 | 1.168,85 | 0,00 | 274,04 | 1442,9 | 1.123,01 | 0,00 | 263,30 | 1386,3 | 1.054,26 | 0,00 | 442,15 | 1496,4 |
3. Resultados y discusión
3.1 Disponibilidad de agua y requerimiento hídrico de cultivos por sistema productivo en Cangagua
Al analizar los tres sistemas productivos, con base en un ciclo anual de producción, se aprecia que, en la gran mayoría de las UPA, los agricultores no disponen del agua requerida para regar sus cultivos en las superficies que tienen bajo riego. En los tres casos se evidencia que la disponibilidad de agua de riego está por debajo de los requerimientos de los cultivos. Se observa además que el fenómeno de falta de agua es más agudo en las UPA que poseen mayor superficie regable y, por ende, mayor superficie regada.
La representación de la distribución de la disponibilidad de agua, así como el requerimiento de los cultivos, para los 23 agricultores (UPA), pertenecientes al sistema de producción uno, que se dedican al cultivo de papa y pasto para ganado, se observa en la Figura 1. En este caso, se encontró que existen déficits anuales desde 2.418 m3 por año, para parcelas de 1,5 ha, hasta déficits de 24.735 m3 en parcelas con superficies mayores a 10 ha.

Los resultados del balance hídrico para el sistema de producción dos, que corresponde a 15 agricultores que se dedican al cultivo de cebolla en forma exclusiva (monocultivo), se presentan en la Tabla 5 y Figura 2. Se encontró que con excepción del agricultor Dionisio Salazar, que tiene una propiedad de 0,50 ha, y no emplea superficie alguna para cultivos y por lo tanto no utiliza agua de riego, todos los otros sistemas de producción, (UPA) muestran deficiencias de agua para regar sus cultivos y, los déficits de agua se relacionan con el tamaño de la parcela, ya que a mayor superficie de la parcela, mayores son los requerimientos de agua. Por ejemplo, para parcelas de superficie mayor a 10 ha, el déficit anual registrado es de 40.822 m3; mientras que las parcelas de superficie menor a 1 ha, presentan un déficit de alrededor de 1.639 m3.
Por otro lado, de los 27 agricultores que se dedican a la producción diversificada representada por el sistema productivo tres (cebolla, todo el año y cebada con papa en rotación), el 93% de ellos presenta déficit hídrico, puesto a que los requerimientos de agua de las especies cultivadas son mucho mayores al agua disponible para el riego y, tan solo dos agricultores presentan exceso de agua con 500 a 600 m3 año-1, respectivamente, como se observa en la Figura 3. En este caso los déficits de agua aparecen más crecidos que los déficits encontrados para los otros dos sistemas de producción, lo que probablemente se debe a que la demanda anual de agua es mayor por cuanto el suelo en estas UPA tiene una ocupación más intensa.
Una vez analizado las deficiencias o excesos anuales de agua en las UPA, es preciso desagregar esta información a escala mensual, para identificar y relacionar la época del año con mayores problemas de disponibilidad de agua, que lógicamente coincide con la época seca del año, lo cual representa para los agricultores menor disponibilidad de agua, porque la precipitación efectiva es muy baja y en este período es cuando se debe suplir con riego, pero en la realidad también hay deficiencia de agua de riego en esta misma época. En la Figura 4, se representa la disponibilidad mensual de agua, (promedio de las UPA involucradas en el sistema productivo 1 de Cangagua). Se encontró que sólo en cuatro meses (enero, febrero, abril y mayo), la disponibilidad de agua satisface los requerimientos hídricos de los cultivos para el promedio de los agricultores; mientras que en los ocho meses restantes hay déficit con una la disponibilidad de agua extremadamente inferior a los requerimientos de los cultivos para los meses de junio, julio y agosto (época seca del año), y es precisamente en esta época cuando los cultivos demandan más agua, dado que presentan mayor evapotranspiración. Cabe mencionar que este fenómeno es repetitivo para el 95% de las UPA, con los tres grupos de agricultores estudiados en Cangagua.
| Agricultor | Superficie regada (m2) | Datos anuales (m3/año/UPA) | |||
| Disponibilidad de agua | Requerimiento hídrico | Balance | |||
| 1 | Eugenio Sopalo Tipanluisa | 6000 | 4369.44 | 6008.28 | -1638.84 |
| 2 | Luis Maldonado | 31000 | 19015.76 | 31042.78 | -12027.02 |
| 3 | Pascual Sopalo | 28700 | 17658.76 | 28739.606 | -11080.85 |
| 4 | Cesar Imbaquingo | 40000 | 24325.76 | 40055.2 | -15729.44 |
| 5 | Magdalena Aigaje | 31000 | 19015.76 | 31042.78 | -12027.02 |
| 6 | Fernando Imbaquingo | 35000 | 21375.76 | 35048.3 | -13672.54 |
| 7 | Luis Salazar | 36000 | 22898.88 | 36049.68 | -13150.80 |
| 8 | José Francisco Tipanluisa | 16700 | 11200.84 | 16723.046 | -5522.21 |
| 9 | Esteban Pilca | 22500 | 14519.16 | 22531.05 | -8011.89 |
| 10 | Cristóbal Lanchimba | 30000 | 18944.16 | 30041.4 | -11097.24 |
| 11 | José Ramón Salazar Sopalo | 40000 | 24844.16 | 40055.2 | -15211.04 |
| 12 | Dionisio Salazar | 0 | 1244.16 | 0 | 1244.16 |
| 13 | Melchor Ascanta Pillajo | 55000 | 33383.12 | 55075.9 | -21692.78 |
| 14 | Ascencio Acero Cumbal | 54000 | 32793.12 | 54074.52 | -21281.40 |
| 15 | Manuel Ulcuango Quilumbaquín | 101500 | 60818.12 | 101640.07 | -40821.95 |
| TOTAL sistema productivo dos | 326406.96 | 528127.812 | -201720.852 | ||



Un resumen de los resultados del balance realizado entre la disponibilidad de agua y los requerimientos hídricos de los cultivos, se observa en la Tabla 6. Se evidencia que los agricultores investigados en la parroquia rural Cangahua no disponen de agua suficiente para sus cultivos (sumados los aportes desde la precipitación efectiva en la zona y los caudales de agua de riego asignados por UPA), y por ende no se cumple la hipótesis planteada para la investigación (Los agricultores de las comunidades de la parroquia rural Cangagua, aprovechan en forma eficiente el agua de riego, en función del balance entre la disponibilidad y el requerimiento de agua para sus cultivos por área regada); por el contrario, el aprovechamiento es ineficiente, puesto que lo productores riegan una superficie mayor de la que debería ser regada con el agua disponible. La corrección a la ineficiencia del aprovechamiento del agua estaría en regar solamente la superficie que corresponda al agua disponible para lograr el incremento esperado de los rendimientos de los cultivos por efecto del riego.
La cantidad de agua disponible por superficie a regarse es un indicador idóneo de eficiencia del aprovechamiento del agua; sin embargo, la eficiencia del uso del agua de riego en la parcela depende de otros factores adicionales como la infraestructura del sistema de riego, que está formada por obras que permiten: captar, conducir, reservar, distribuir y aplicar el agua desde la fuente hasta la UPA (Sánchez et al., 2003), y su análisis permite evaluar la eficiencia técnica en la captación, transporte y distribución del agua, como también detectar pérdidas y filtraciones de agua, canales en mal estado. También, por la ubicación geográfica y cartográfica de los diferentes elementos de la infraestructura de riego, se explica la lógica de la distribución del agua, y se justifica que una organización de regantes llegue a acuerdos históricos relativos a las reglas y modalidades eficientes de distribución y uso del agua en la parcela (Apollin & Eberthart, 1998).
Además, hay que tener en cuenta que la figura del reparto equitativo del agua de riego, aplicado como regla general entre los miembros de las comunidades y juntas de regantes, no es compatible con el aprovechamiento eficiente del agua. En la mayoría, se reparte un mismo caudal de agua sin importar la superficie de la UPA ni la superficie a regarse dentro de la misma; pues el caudal asignado a cada agricultor es el producto de la división del caudal total de la comunidad para el número de beneficiarios del riego (Quishpe, 2015). Este sistema de reparto del agua de riego, es equitativo pero antitécnico, porque se entrega la ración de agua, inclusive para aquel que no riega como es el caso del agricultor 12 del sistema productivo dos, Tabla 5, que no posee área regada en la parcela y sin embargo tiene acceso al agua.
Aunque hay razón al asegurar que el riego es una herramienta esencial para el incremento de la productividad y por ende para la oferta alimentaria (Gaybor, 2011), el reparto equitativo que da lugar a ineficiencias en el aprovechamiento del agua de riego en las UPA, a veces conduce a apreciaciones o suposiciones erradas de creer que el solo acceso al agua de riego se traduce en incrementos de la productividad o mejora de los ingresos de los agricultores. Así (Zapatta & Gasselin, 2005) indican que el riego, además de mejorar la productividad, también proporciona beneficios sociales y ambientales y acotan que el agricultor al no depender del clima para producir sus cultivos, aumenta la diversificación, merma la migración rural, y esto es un factor que limita la expansión agrícola a ecosistemas sensibles; pero al hacer un uso no apropiado del agua disponible (regar áreas superiores a las que deberían regar con el agua disponible), en muy probable que los incrementos en rendimientos no se logren.
| Resumen de resultados | Sistemas productivos | TOTAL | ||||
| UNO | DOS | TRES | ||||
| Número de agricultores | 23 | 15 | 27 | 65 | ||
| Disponibilidad de agua (m3/año) | Suma | 825.132,84 | 326.406,96 | 401.405,16 | 1.552.944,96 | |
| Promedio (ẋ) | 35.875,34 | 21.760,46 | 14.866,86 | 72.502,66 | ||
| Rango | Máximo | 72.044,16 | 60.818,12 | 33.558,40 | 166.420.68 | |
| Mínimo | 9.679,44 | 1.244,16 | 1.301,44 | 12.225.04 | ||
| Desviación estándar | 19.581,29 | 13.956,49 | 8.840,31 | 42.378,09 | ||
| Requerimiento (m3/año) | Suma | 1.097.713,54 | 528.127,81 | 570.725,43 | 2.196.566,78 | |
| Promedio (ẋ) | 47.726,68 | 35.208,52 | 21.137,98 | 104.073,18 | ||
| Rango | Máximo | 96.778,80 | 101.640,07 | 50.040,12 | 248.458.99 | |
| Mínimo | 12.097,35 | 0 | 714,86 | 12.812.21 | ||
| Desviación estándar | 26.726,13 | 23.768,95 | 13.543,63 | 64.038,71 | ||
| Balance | Promedio | -11.851,33 | -13.448,06 | -6.271,12 | -31.570,51 | |
| Máximo | -24.734,64 | -40.821,95 | -16.481,72 | -82.038,31 | ||
| Mínimo | -2.417,91 | 1.244,16 | 586,58 | -587,17 | ||
3.2. Disponibilidad de agua y requerimiento hídrico de cultivos por sistema productivo en Mulaló
Para el caso de los usuarios que pertenecen al sistema productivo uno, que corresponde a 77 productores (UPA) y que tienen alfalfa como monocultivo durante todo el año, se observó que solamente 18 usuarios tienen problemas de déficit hídrico; mientras que las restantes 57 UPA presentan exceso de agua, como se puede observar en la Figura 5. Los déficits de agua en el año van desde los 47 hasta los 5.835 m3; mientras que los excesos van desde 178 hasta 4.278 m3 por año. Al igual que lo observado en Cangagua, las UPA con mayor extensión (>1,5 ha) son las que poseen mayor déficit, al contrario de las de menor extensión que presentan exceso de agua.
Para el sistema productivo dos, que corresponde a 31 UPA que manejan el sistema alfalfa-maíz, se encontró que la mayoría presenta exceso de agua; tan solo dos usuarios no tienen la suficiente cantidad de agua que requieren sus cultivos, con déficits de 524 a 383 m3 como se puede observar en la Figura 6. Sin embargo, en las UPA de mayor extensión los excesos son más moderados que en las UPA con menor extensión.
El sistema productivo tres está formado por 20 productores (UPA), y su combinación preferida es alfalfa-papa. De este grupo, un solo productor presenta déficit de agua, con (-1.063 m3 en el año); mientras que los 19 restantes, presentan exceso de agua. Los excesos van desde 122 m3 hasta 6.207 m3 en el año, Figura 7.



Para las UPA del sistema productivo cuatro, que producen alfalfa más avena en rotación con haba, se encontró que del total de 12 UPA, cinco tienen déficits hídricos y una de ellas es la UPA con mayor extensión del grupo, con 2,54 ha y que tiene un déficit anual de 4.337 m3; mientras que las siete UPA restantes, presentan exceso de agua; es decir, tienen más agua de la que se requiere para el desarrollo de los cultivos y los excesos van desde 307 hasta 9.893 m3 por año, como se muestra en la Figura 8.
Del sistema productivo cinco, formado por 5 productores, UPA, que se dedican a la producción diversificada de alfalfa, combinado con maíz y avena, todos presentan exceso de agua; es decir, los requerimientos hídricos de las especies cultivadas son menores al agua disponible. El exceso anual de agua va desde 1.604 hasta 1.1056 m3, como se observa en la Figura 9.
Para los usuarios que pertenecen al sistema productivo seis, que producen alfalfa, más maíz en rotación con papa, se cuantificó un exceso muy visible de agua disponible en las UPA. Aunque se observa una cierta relación entre exceso de agua y tamaño de UPA. En la Figura 10, se puede notar claramente el exceso de agua disponible en las mismas desde
2.138 hasta 3.041 m3 de agua por año.


Una vez analizados los resultados por grupo de productores con su sistema de producción preferido, se puede concluir que el agua disponible para los usuarios de riego de la comuna San Ramón de Mulaló, es superior a la requerida; en otras palabras, hay un desperdicio del agua de riego por exceso. El 83% de las 151 UPA investigadas poseen una sobreutilización de agua, mientras que el restante 17%, presentan problemas para cubrir la cantidad de agua que necesitan los cultivos para su crecimiento y desarrollo, en función de la superficie regada.
Es necesario mencionar que en las UPA pequeñas, con tamaños menores a una hectárea, se encuentran los valores más altos de exceso, mientras que los déficits se han registrado en las UPA más grandes. Al igual que en el caso de Cangagua, este fenómeno tiene relación directa con la modalidad de distribución del agua. El directorio de la Junta de regantes de San Ramón maneja el reparto de agua por derechos adquiridos; es decir, en forma equitativa, sin considerar la superficie a regarse por usuario. En este caso, cada UPA tiene derecho a un mismo caudal de agua (el necesario para mover cuatro aspersores sin importar la superficie a regarse).

Del mismo modo que en el caso de las comunidades de Cangagua, en este caso se analizó la distribución mensual dentro del año, para determinar las épocas con déficits de agua de riego. En la Figura 11, se muestra los resultados del balance mensual de la disponibilidad y requerimientos de agua para el sistema productivo tres, que está formado por 20 UPA y que trabajan el sistema alfalfa en combinación con papa. De acuerdo a lo esperado, los resultados indican que, en tres meses del año (junio, julio, agosto) hay déficit de agua, afectando la producción de alfalfa (segundo ciclo) y también el rendimiento de la papa que para esa época está en maduración. El resto del año se presenta exceso de agua con mayor disponibilidad de agua en los meses de enero a abril; sin embargo, en promedio, en el año se registra un exceso de hasta 3.039 m3 para este sistema. Este patrón mensual de exceso y déficit de agua se muestra para todos los otros sistemas de cultivo analizados en la comuna San ramón, parroquia Mulaló.

Contrariamente a lo encontrado en Cangagua, sobre la eficiencia del aprovechamiento de agua del sistema de riego de la comuna San Ramón en Mulaló, se descubrió que los usuarios tienen exceso de agua que sobrepasan los requerimientos hídricos de sus cultivos y sistemas productivos; lo que da lugar a una sobreutilización del agua, en el 83% del total de UPA estudiadas, mientras que apenas el 17% presenta déficits hídricos en sus UPA.
Se puede decir que la hipótesis planteada (Los agricultores de las comunidades de la parroquia rural Mulaló, aprovechan en forma eficiente el agua de riego en función del balance entre la disponibilidad y el requerimiento de agua para sus cultivos por área regada), no se cumple, debido a que una vez sumados los aportes de la precipitación efectiva en el área y los caudales de riego medidos en las UPA y comparados con la demanda hídrica de los sistemas productivos, se encontró un exceso de agua que se desperdicia en las UPA. Un resumen que cuantifica la situación descrita se presenta en la Tabla 7.
Además, se reitera que el reparto del agua no depende de la superficie de la UPA, sino de los derechos adquiridos por el usuario por la participación en mingas en el proceso de construcción y mantenimiento de la infraestructura de riego y también por el capital económico invertido a lo largo de la instalación y operación del sistema de riego, todo lo cual hacen la figura de -derecho de agua-. Adicionalmente, en Mulaló, se ha encontrado dos fenómenos que coadyuvan al desperdicio del agua por exceso en las UPA. Varios productores han dedicado parte de sus tierras a plantaciones forestales las que se hacen sin riego y otros, especialmente la población joven se dedica a la explotación minera de materiales pétreos y al trabajo asalariado en las empresas florícolas del sector, lo cual, da lugar a que cada vez las áreas sembradas con cultivos dentro de las UPA sean menores, pero las entradas de agua de riego se mantienen, elevando aún más el desperdicio de agua por exceso de disponibilidad. Algunos investigadores justifican este reparto equitativo del agua de riego en las comunidades, al indicar que el derecho al agua de los usuarios implica obligaciones con el sistema, que se lo puede entender como formas para conservar el derecho (Apollin & Eberthat, 1998). Los usuarios del sistema tienen varias obligaciones, entre las más importantes están: participar en mingas y en el mantenimiento del sistema, cumplir con el pago de tarifas establecidas, no faltar a reuniones y participar en la toma de decisiones.
| Resumen de resultados | Sistemas productivos | TOTAL | |||||||
| UNO | DOS | TRES | CUATRO | CINCO | SEIS | ||||
| Nuúmero de agricultores | 77 | 31 | 20 | 12 | 5 | 6 | 151 | ||
| Disponibilidad de Agua m³/año | Suma | 615.838,46 | 382.044,75 | 258.808,71 | 147.317,98 | 108.980,30 | 87.913,00 | 1.600.903,20 | |
| Promedio | 7.997,90 | 12.324,02 | 12.940,44 | 12.276,50 | 21.796,06 | 14.652,17 | 81.987,09 | ||
| Rango | Máximo | 29.871,82 | 32.947,80 | 23.670,19 | 23.633,24 | 44.482,78 | 18.630,77 | 173.236,58 | |
| Mínimo | 2.644,27 | 3.528,33 | 5.972,23 | 4.533,81 | 9.620,12 | 7.122,21 | 33.420,97 | ||
| Desviación estándar | 4.848,68 | 6.057,57 | 5.511,90 | 5.131,37 | 12.182,77 | 3.764,15 | 37.496,44 | ||
| Requerimientos Hídricos m³/año | Suma | 552.078,66 | 303.022,08 | 198.012,00 | 124.097,86 | 82.305,00 | 71.622,07 | 1.331.137,68 | |
| Promedio | 7.169,85 | 9.774,91 | 9.900,60 | 10.341,49 | 16.461,00 | 11.937,01 | 65.584,86 | ||
| Rango | Máximo | 35.707,54 | 28.999,70 | 27.151,17 | 27.971,04 | 33.426,68 | 16.492,65 | 169.748,79 | |
| Mínimo | 1.538,32 | 1.952,73 | 2.848,37 | 3.153,56 | 6.094,26 | 4.276,81 | 19.864,04 | ||
| Desviación estándar | 5.784,65 | 6.387,50 | 5.001,01 | 6.721,44 | 10.005,65 | 3.882,34 | 37.782,60 | ||
| Balance | Promedio | 828,05 | 2.549,12 | 3.039,84 | 1.935,01 | 5.335,06 | 2.715,16 | 16.402,23 | |
| Máximo | 7.422,85 | 6.272,97 | 6.207,33 | 9.893,03 | 11.056,09 | 3.041,48 | 43.893,75 | ||
| Mínimo | -5.835,72 | -524,74 | -1.063,45 | -7.941,98 | 3.525,86 | 2.138,12 | -9.701,92 | ||
4. Conclusiones
En las cuatro comunidades estudiadas bajo los tres sistemas de producción típicos de la parroquia Cangagua, se encontró que el 95% de los agricultores presentan déficit de agua disponible para atender la superficie regada de sus UPA; es decir, no disponen de suficiente agua para satisfacer las necesidades hídricas de los cultivos, y por ende subutilizan el agua, al regar un área mayor a la que deberían con el agua disponible y por obvias razones no se logran el crecimiento, el desarrollo ni la productividad esperados de los cultivos bajo riego.
El déficit detectado sobre la disponibilidad de agua para atender la superficie regada de las UPA en Cangagua, propicia una suerte de fiasco a los agricultores, que aparecen en las estadísticas como privilegiados por el acceso al agua de riego, pero las disponibilidades irrisorias de agua hacen que las diferencias esperadas de rendimientos por aporte del riego no aparezcan y en muchos casos, los agricultores son tildados de culpables por el fracaso, o los extensionistas que acuden en su apoyo empiezan a querer resolver la situación con aportes de tecnologías e insumos extra finca, o con capacitaciones e información técnica para los productores, sin entender que el problema es estructural de limitaciones agroclimáticas del sitio, entre ellas la falta de agua de riego.
En Cangagua, se comprendió que a pesar de que el reparto del caudal de riego es equitativo para los agricultores que pertenecen a la Junta de Riego Porotog, no es eficiente, pues la ración de agua se asigna por igual a cada UPA e incluso a aquel que no necesita, por no tener agricultura en su predio. En Mulaló, se encontró que el 83 % de las UPA estudiadas presentan una sobreutilización del agua de riego; es decir, tienen exceso de agua sobre los requerimientos hídricos de sus cultivos, en función del área regada y solo el 17% de las UPA presenta subutilización del agua ya que atienden con riego una superficie mayor a la que deberían con el volumen de agua disponible en la UPA. En Mulaló, los repartos de agua tampoco son proporcionales al área que riega cada usuario, pero depende del derecho adquirido por cada usuario. El derecho al agua depende de dos factores: la inversión de trabajo (participación que tuvieron en la construcción del sistema de riego) y la inversión de capital que realizaron para empezar el proyecto. Por lo tanto, es oportuna la idea de una reprogramación de la distribución del agua en las juntas de regantes, para optimizar su aprovechamiento, en función del caudal necesario por área regada.
Tanto el déficit como el exceso de agua de riego en las UPA, que provocan ineficiencias en el aprovechamiento de este recurso escaso, estarían propiciadas entre otros factores por la modalidad del reparto equitativo de agua en las comunidades, que no obedece a factores técnicos como la disponibilidad de tierra regable para adjudicar los caudales volúmenes de agua requeridos.
Referencias
Alfaro, G. (2012). Diseño de zonas de riego requerimiento de riego de los cultivos. México: Universidad Autónoma Agraria Antonio Narro.
Allen. R., Pereira, L., Raes, D., & Smith, M. (1998). Crop evapotranspiration – Guidelines for computing crop water requirements – FAO Irrigation and drainage paper 56. FAO.
Allen. R., Pereira, L., Raes, D., & Smith, M. (2006). Evapotranspiración del Cultivo. Guía para la determinación de agua de los cultivos. En: Estudio FAO Riego y Drenaje N º 56.
Apollin, F., & Eberhart, C. (1998). Metodologías de análisis y diagnóstico de sistemas de riego campesino. Ecuador: CAMAREN.
Brouwer, C., & Heibloem, M. (1986). Irrigation Water Needs. En: Irrigation Water Management Training manual No.3. FAO.
Fernández, D., Martínez, M., Tavarez, C., Castillo, R., & Salas, R. (2012). Estimación de las demandas de consumo de agua. México: SAGARPA.
Gaybor, A. (2008). El despojo del agua y la necesidad de una transformación urgente. En: CAMAREN (ed.) Foro de los Recursos Hídricos Quinto Encuentro Nacional. Documentación de discusión. (pp. 45-106). Quito-Ecuador.
Gaybor, A. (2011). Agua, alimentación y agricultura. Quito-Ecuador: Foro de los Recursos Hidricos.
Gaybor, A. (2013). Giros, contradicciones y proceso de concentración del agua en la agricultura. En: AGUAS ROBADAS despojo hídrico y movilización social (pp. 67-81). Quito-Ecuador: Justicia Hídrica, IEP Instituto de Estudios Peruanos, Abya Yala (Serie Agua y Sociedad, Sección Jurídica 19).
Hoogesteger, J. (2014). Los nuevos sujetos del agua. Quito: Justicia hídrica. Quito-Ecuador: IEP Instituto de Estudios Peruanos, Abya Yala (Serie Agua y Sociedad, sección 20).
Lloret, P. (2002). Problemática de los recursos hídricos en el Ecuador. Sistemas y tendencias en el manejo de Cuencas Hidrográficas. En: Foro de los Recursos Hídricos Documentación de discusión (pp. 269-304). Quito-Ecuador: Coordi- nación CAMAREN
MAGAP. (2014). Manual de riego parcelario. Quito-Ecuador: Colección Hombro a Hombre
Marín, G. (2010). Determinación de los requerimientos hídricos del cilantro. Tesis de grado para obtener el título de Magister en Ciencias Agrarias. Universidad Nacional de Colombia.
Quishpe, B. (2015). Determinación de Sostenibilidad Ambiental, Social Económica de tres Tipologías de Producción Agropecuaria de la Junta de Riego Porotog, Cantón Cayambe, Provincia Pichincha. Tesis de Maestría en Agroecología Tropical Andina. Universidad Politécnica Salesiana. Quito-Ecuador.
Ramos, M. (2013). Diseño y construcción de un sistema de riego por aspersión en una parcela demostrativa en el cantón Cevallos. Tesis de grado para obtener el título de Ingeniero de Mantenimiento. Escuela Superior Politécnica de Chimborazo.
Sánchez, J., Zapatta, A., Hadjaj, H., & Ullauri, M. (2003). Visión integral y análisis de sistemas de riego. Ecuador: CAMAREN.
Swennenhuis, J. (2009): Cropwat (versión 8.0). Ed.: Unidad de Fomento y Gestión de las Aguas de la FAO, Roma-Italia.
Zapatta, A., & Gasselin, P. (2005). El riego en el Ecuador: problemática, debate y políticas. Quito-Ecuador: Coordinación CESA. CAMAREN.
Zapatta, A., & Mena, P. (2013). Acumulación de agua y floricultura en un mosaico de territorio de riego: El caso Pisque, Ecuador. En: AGUAS ROBADAS despojo hídrico y movilización social (pp. 167-184). Quito-Ecuador: IEP Instituto de Estudios Peruanos, Abya Ayala (Serie Agua y Sociedad, Sección Jurídica 19)
Notas de autor
cnieto@uce.edu.ec


