

Influencia de la aptitud natural de uso del suelo en la pobreza y desnutrición de la población rural en la provincia de Cotopaxi, Sierra Centro del Ecuador
Influence of the natural aptitude of land use on poverty and undernourishment of the rural population at Cotopaxi province, Central Highlands of Ecuador
Influencia de la aptitud natural de uso del suelo en la pobreza y desnutrición de la población rural en la provincia de Cotopaxi, Sierra Centro del Ecuador
Siembra, vol. 4, núm. 1, 2017
Universidad Central del Ecuador
Recepción: 24 Marzo 2017
Aprobación: 28 Junio 2017
Resumen: Se tomó como antecedente la preponderancia sistémica de la pobreza de la población rural sobre la urbana, avalada por las estadísticas nacionales y se propuso como objetivo central, determinar la correlación entre la aptitud natural de uso del suelo, incompatible con su uso productivo actual, con la pobreza y desnutrición de la población de las parroquias rurales de la provincia de Cotopaxi; bajo la premisa de que la principal actividad productiva de la población es la agricultura. Se aplicó el modelo de correlación de Spearman, dado que las variables utilizadas no garantizan normalidad para aplicar un modelo lineal; se trabajó con los datos de las 33 parroquias rurales de la provincia, excluyendo a las parroquias urbanas, por sus dinámicas productivas diferentes de la producción primaria. Los resultados revelaron que la pobreza y desnutrición de la población rural están en relación directa con la ocupación de la población en agricultura y el uso incorrecto del suelo, contrapuesto con la aptitud natural de uso. Efectivamente, los mayores niveles de pobreza y desnutrición se concentran en la población de las parroquias cuyos territorios muestran la menor aptitud natural para producir cultivos, pero que al mismo tiempo se ocupan mayoritariamente en la actividad agrícola, (más del 60%, en promedio de la población rural se ocupan de la agricultura). La conclusión principal fue que la actividad de producción primaria en la mayoría del territorio rural de la provincia de Cotopaxi, además de no generar los ingresos suficientes para garantizar una vida digna de las familias, produce una espiral de degradación ambiental en cada ciclo agrícola, que reduce la capacidad productiva de los suelos, con la consecuencia obvia del empobrecimiento sistemático de la población involucrada, amén de su inseguridad alimentaria
Palabras clave: aptitud natural de uso del suelo, uso actual del suelo, producción primaria, pobreza rural, desnutrición rural.
Abstract: It was taken as an antecedent the systematic primacy of the poverty of the rural population over the urban population, validated by the national statistics, to analyze how the natural aptitude of land use, inconsistent with the current productive use, influences in poverty and undernourishment of the population of the rural parishes of Cotopaxi province; under the premise that the main productive activity of this population is agriculture. The Spearman statistical method of correlation was applied to determine the relationship between the natural aptitude of land use and current land use, with poverty and undernourishment of the rural population. The correlation analysis was applied to the 33 rural parishes, excluding urban, since their productive activities are not the primary production. The results show that poverty and undernourishment of the rural population are directly correlated with the main activity of the population in primary production and the inappropriate use of land, contrary to the natural aptitude of use, which is not agriculture. In consequence, the highest rates of poverty and undernourishment are concentrated in areas with lowest natural aptitude of land use for agriculture, but at the same time, most of those areas are dedicated to agricultural activities (more than 60% in average). The main conclusion was that the primary production activities at majority of the rural areas of the Cotopaxi province, do not generate enough income to improve the life of the involved families and simultaneously cause environmental degradation, putting in threat the food security of the population and increasing their poverty and undernourishment.
Keywords: natural aptitude of land use, current land use, primary production, rural poverty, rural undernourishment.
1. Introducción
América Latina no ha logrado todavía los resultados esperados del proceso de búsqueda del desarrollo con equidad social, probablemente por la articulación deficiente entre el crecimiento económico, la calidad de vida de la población y los límites estructurales que impiden el logro de la sustentabilidad en la gestión ambiental (SENPLADES, 2013). Ecuador es un ejemplo de la falta de desarrollo con equidad en América Latina, especialmente en el área rural, puesto que el país muestra altos niveles de pobreza y desnutrición de la población en los territorios rurales, lo cual es muy visible en la Sierra central, que son territorios ocupados principalmente por pueblos indígenas, (Larrea, Landín, Larrea, Wrborich, & Fraga, 2008). Los pueblos indígenas y campesinos se han caracterizado por altos índices y evidencias históricas de pobreza, debido a sus pocas oportunidades de trabajo productivo, al poco acceso a tierras con aptitud de uso agrícola, a la erosión y degradación progresiva de las mismas y a su ubicación en un ecosistema frágil, como es el páramo (SENPLADES, 2013). En consecuencia, estas poblaciones padecen no solamente de pobreza sino de inseguridad alimentaria, a pesar de que aparentemente cuentan con los recursos naturales necesarios para su subsistencia (FAO, 2014).
Desde un enfoque ambiental, el “desarrollo rural” aparece como el justificativo principal de los altos niveles de intervención en los recursos naturales locales, y de alguna forma se ha validado el accionar de los campesinos e indígenas, que obligados por la falta de oportunidades, acrecientan la extracción y sobreuso de los recursos, principalmente del suelo, para lograr “cosechas”, provocando deterioro ambiental, que compromete aún más su capacidad productiva, (Falconí, 2013). A pesar del apoyo histórico del Estado, a través de políticas y estrategias para impulsar el desarrollo de los sectores rurales, como: acceso al crédito, subsidios en insumos para la producción primaria, o capacitaciones, no se han dado los resultados esperados y el nivel de pobreza rural continúa incrementándose. En otros casos, erróneamente, se ha creído que la pobreza está relacionada con las dificultades que tiene la población rural para acceder a los mercados; esto ha influenciado para implementar políticas de acceso y participación en los mercados nacionales y transnacionales como medio para facilitar el desarrollo rural, (Terán, 2007), desafortunadamente los resultados no han sido los esperados, entre otros factores, por la capacidad limitada de oferta de bienes transables, la baja calidad de la oferta y la participación limitada de los actores, especialmente de las poblaciones rurales de la Sierra ecuatoriana, en las opciones de comercio.
El poco avance en la superación de la pobreza que se evidencia a pesar de las tantas intervenciones estatales y no estatales en el sector rural ecuatoriano es posiblemente debido a que no se ha logrado profundizar en las causas estructurales de pobreza y desnutrición de los pueblos rurales, principalmente de los sectores indígenas, (Nieto C., 2014) y, se ha insistido en que la superación de la pobreza se puede lograr con políticas y propuestas de carácter asistencialista. Una de las causas-problema estructurales de la pobreza rural, es sin duda la actividad ocupacional de la población “la agricultura”, la que se hace en condiciones desfavorables de suelo y clima; entonces los resultados son deprimidos y la consecuencia, la pobreza sistémica de las poblaciones involucradas, “los agricultores”. En este contexto, se utilizó los territorios de las parroquias rurales de la provincia de Cotopaxi como unidades de estudio, y la actividad principal generadora de ingreso de la población “la producción primaria”, como variable de estudio, para indagar la correlación entre la aptitud natural de uso del suelo y la pobreza y desnutrición de la población, bajo la premisa de que su actividad principal generadora de ingresos es la agricultura.
Se cree que la aptitud natural de uso del suelo, el uso actual productivo del suelo y la actividad productiva de la población (la agricultura), tienen influencia directa en la pobreza y desnutrición de la población de las parroquias rurales de la provincia de Cotopaxi. Por ende, el objetivo de esta investigación fue, estudiar la influencia de la aptitud natural de uso del suelo, incompatible con el uso actual productivo del suelo, en la pobreza y desnutrición de la población de las parroquias rurales de la provincia de Cotopaxi. Y la hipótesis fue: “La aptitud natural de uso del suelo, el uso actual productivo del suelo y la actividad productiva de la población (la agricultura), tienen influencia directa en la pobreza y desnutrición de la población de las parroquias rurales de la provincia de Cotopaxi”.
2. Materiales y métodos
La investigación fue de carácter analítico y descriptivo. Se tomó como área de estudio a las 33 parroquias rurales de la provincia de Cotopaxi. Se aplicó el método inductivo; es decir, a partir de la realidad encontrada para las parroquias rurales, se infirió la realidad provincial. La información básica útil para la investigación se adquirió de diversas fuentes oficiales: i). Del Instituto Nacional de Estadísticas y Censos, INEC, se tomó la información de ocupación por rama de actividad y de Pobreza por Necesidades Básicas Insatisfechas, NBI, para los años 1990, 2001 y 2010; ii). Del Ministerio de Agricultura, Ganadería, Acuacultura y Pesca, MAGAP, se tomó la información cartográfica de cobertura para aptitud natural de uso del suelo, a escala 1:250.000, del año 2004, y la cobertura de uso actual del suelo a escala 1:100.000, de los años 1990, 2008 y 2014 y; iii). Del Sistema Integrado de Indicadores Sociales del Ecuador, SIISE, se tomó la información sobre la desnutrición crónica de la población menor a cinco años, del año 2010. La investigación se desarrolló en cuatro etapas independientes pero complementarias entre sí:
Si Xyi Xyj e Yyi Yjyson los valores transformados del par (XiXj, YiYj ), a partir de los rangos de X y de Y, R(X) y R(Y); entonces, se define di=Xri-Yri, di=Xri-Yri luego el coeficiente de correlación se calcula a través de la siguiente fórmula:

En donde:
, es la multiplicación de 6 por la sumatoria de los valores di; en donde: es el número de datos de X e Y; y rs es
el coeficiente de correlación, (Balzarini, y otros, 2011).
Para la determinación de la significación estadística se utilizaron los valores críticos de la correlación de Pearson, con n-2 grados de libertad.

Donde Y es el logaritmo natural del gasto mensual en productos agroecológicos de un individuo i, X es un vector de variables dependientes, las cuales serán detalladas a continuación, β es un vector de coeficientes cuya dirección y magnitud son el objeto de este estudio y ϵ es el error de la regresión.
El gasto en productos agroecológicos fue modelado como una función de la edad de un individuo, su género, su estado civil, su posición en el hogar, el número de años de educación formal que haya acumulado, su ingreso anual y el número de integrantes del hogar del cual proviene. La Tabla 1 muestra las variables, su definición y sus estadísticas descriptivas.
| Grupo | Variable Independiente | Variable Dependiente |
| 1 | Superficie apta para cultivos (%) | Superficie actual en cultivos (%) |
| Superficie apta para pastos (%) | Superficie actual en pastos (%) | |
| 2 | Superficie apta para cultivos (%) | Pobreza por NBI (% de la población) |
| Superficie apta para cultivos (%) | Desnutrición crónica (% de la población) | |
| Superficie apta para cultivos (%) | Actividad principal agricultura (% de la población) | |
| 3 | Actividad principal agricultura (% de la población) | Pobreza por NBI (% de la población) |
| Pobreza de la población (%, por NBI) | Desnutrición crónica (% de la población) | |
| 4 | Superficie apta para cultivos (%) | Superficie en transgresión por uso en cultivos (%) |
| Superficie apta para pastos (%) | Superficie en transgresión por uso en pastos (%) |
3. Resultados
3.1 Características demográficas de la población rural de la provincia de Cotopaxi
Con base en los datos del censo de población y vivienda del 2010, se encontró que en la población de las parroquias rurales de la provincia de Cotopaxi hay una ligera predominancia del sexo femenino, con 51,2% de la población, sobre el masculino con 48,8%, (INEC, 2010), lo cual podría significar un desbalance de nacimientos o sobrevivencia en favor del sexo femenino, pero también podría ser una evidencia de que los hombres emigran con más frecuencia que las mujeres, en busca de opciones de ocupación para mejorar los ingresos familiares. El grupo de edad más representativo dentro de la composición de las familias rurales fue la PEA, (de 15 a 65 años de edad), con 55,8%, seguido por el grupo de niños y adolescentes, (menor a 15 años de edad), con 35,7%; mientras que el grupo minoritario fue el adulto mayor, (mayores a 65 años), que apenas representa el 8,5% de la población rural de Cotopaxi. Esto podría ser un indicador positivo de la disponibilidad de mano de obra en las comunidades, pero lamentablemente subutilizada, por las pocas oportunidades de actividades productivas rentables encontradas en el área de estudio. En cuanto a la composición étnica de la población estudiada, se encontró la preponderancia de dos etnias: la mestiza que representa el 72% de la población y la indígena, con 22%, aproximadamente, el 6% restante estaría repartido entre otras etnias. Cabe recalcar que, la distribución de la población por etnia es para la población de la provincia, incluyendo la población urbana. La distribución étnica entre y dentro de parroquias no es uniforme, pero hay parroquias en las cuales se ha observado preponderancia de la población indígena, por ejemplo: Angamarca, Cochapamba, Zumbahua, Guangaje, Chugchillán, Pilaló y Ramón Campaña, aunque no se dispone de estadísticas oficiales que lo confirmen.
Por otra parte, se encontró que el nivel de instrucción de la población rural estudiada es visiblemente bajo. El 42% de la población tiene apenas instrucción básica de nivel primario; el 37% de la población ha cursado el nivel secundario, y solamente el 5% ha cursado el nivel superior (universitario); mientras que el analfabetismo todavía prevalece hasta en un 15%, en promedio de la población, en las 33 parroquias rurales estudiadas, (INEC, 2010). Nuevamente, las parroquias rurales que muestran la mayoría de población indígena, también muestran los mayores niveles de analfabetismo, ejemplo: Angamarca, (30,1%); Chugchilán, (21,5%); Cochapamba, (22,6%); Guangaje, (30, 8%); Isinlibí (21,5); Pilaló (22,5); Ramón Campaña, (20,1%) y Zumbahua, (29,2 %). En estas circunstancias, eviden- temente las posibilidades de desarrollo o de auto desa- rrollo de las poblaciones en estudio son limitadas, aun cuando la disponibilidad de recursos y las oportunidades fueran de las mejores.
3.2 Caracteres socioeconómicos de la población rural de la provincia de Cotopaxi
Una de las características constantes de la población rural de Cotopaxi es que su principal actividad productiva es la agricultura; lo cual evidentemente se debe a las pocas oportunidades de ocupación productiva en los territorios rurales de la provincia. Esto se complementa con el nivel bajo de instrucción de la población, especialmente del sector de la PEA, para completar una situación restrictiva de las posibilidades de acceso a empleo de calidad (si hubiera oferta) y generación de iniciativas de autodesarrollo en el sector rural de la provincia de Cotopaxi. En promedio para las 33 parroquias rurales en estudio, se encontró que 66,9; 67,8 y 60,8% de la población se dedicaba a la agricultura en los años 1990, 2001 y 2010, respectivamente; mientras que hubo parroquias cuya población dedicada a agricultura superó el 90%, Tabla 2. Adicionalmente, se encontró que en las parroquias donde la población prevalente es indígena, las proporciones de la población dedicada a la agricultura son las más altas, así: Angamarca (79%), Chugchilán (82%), Cochapamba (84%), Pilaló (60%), Guangaje (79%), Isinliví (79%), Moraspungo (79%), Pinllopata (91%), Ramón Campaña (71%), Toacaso (73%) y Zumbahua (73%), las cuales, como se mencionó, coincidentemente presentan los más altos niveles de pobreza.
| Indicador | Año | ||
| 1990 | 2001 | 2010 | |
| Actividad principal agricultura (Promedio) | 66.9 | 67.8 | 60.8 |
| Actividad principal agricultura (Rango) | 26 – 90 | 30 - 90 | 29 - 91 |
| Pobreza por NBI (Promedio) | 60.6 | 93.8 | 90.91 |
| Pobreza por NBI (Rango) | 44.7 – 77.5 | 82.1 - 100 | 75.8 -100 |
| Extrema pobreza (Promedio) | 56.5 | 48.4 | |
| Extrema pobreza (Rango) | 26.4 – 91.1 | 19.1- 91.1 | |
| Desnutrición crónica (Promedio) | 64.7 | ||
| Desnutrición crónica (Rango) | 43.1-72.7 | ||
| Fuente: INEC (2010), SIISE (2010 a), SIISE (2010 b), | SIISE (2010 c). |
Por otra parte, se encontró un incremento sostenido de los niveles de pobreza rural por NBI en la población rural de Cotopaxi; desde el año 1990, cuando existía un promedio de 60,6%, y un máximo de 7 7,5% de pobreza por NBI, hasta el año 2010, cuando el promedio de pobreza de la población, para las 33 parroquias en estudio alcanzó 90,9%, pero, se encontraron parroquias con hasta el 100% de pobreza, Tabla 2. Nuevamente, entre las parroquias rurales que presentan los más altos índices de pobreza, se encuentran aquellas en las cuales su población es predominante del sector indígena, por ejemplo: Angamarca, Cochapamba, Guangaje, Pilaló, Ramón Campaña y Toacaso; además, estas parroquias también presentan los más altos índices de extrema pobreza por NBI. Por ejemplo, Angamarca (87.3%), Cochapamba (82.8%), Guangaje (91.1%), Pilaló (79.4%) y Ramón Campaña (66.7). También los promedios de extrema pobreza para las 33 parroquias estudiadas fueron visiblemente altos: 56,5% y 48,4% para los años 2001 y 2010, respectivamente, (SIISE, 2010 b).
Las parroquias rurales con predominancia de población indígena, con altos índices de pobreza y extrema pobreza, también presentaron los más altos niveles en desnutrición crónica, así por ejemplo: Angamarca (69.5%), Chugchilán (72.7%), Guangaje (71.6%), Pilaló (68.8%), Ramón Campaña (71.4%) y Zumbahua (71.9%), (SIISE, 2010 a); mientras que el promedio de desnutrición para la población de las 33 parroquias fue de 64,7%, para el año 2010, Tabla 2; lo cual, evidentemente, es un valor muy alto. Estos resultados necesariamente se enlazan con los porcentajes elevados de la principal actividad productiva de la población, la agricultura, y por lo tanto, se deduce que los niveles altos de pobreza y desnutrición de la población rural de Cotopaxi, tienen una relación causal directa con la actividad económica familiar, la agricultura, que obviamente no proporciona los ingresos necesarios para satisfacer las necesidades básicas de las familias y vencer los problemas como pobreza y desnutrición.
Con base en estos resultados, se puede inferir, que a pesar de los esfuerzos del Estado (a través de varios gobiernos), para superar las carencias de la población rural y disminuir los índices de pobreza, los resultados no han sido los esperados, posiblemente, por varios factores de carácter estructural no atendidos, entre ellos: la falta de acceso a tierras agrícolas de calidad y en la cantidad requerida, (Tamaño de las Unidades Productivas Agropecuarias, UPA), para una actividad productiva rentable, o las UPA están ubicadas en territorios cuya aptitud natural de uso, no es la agricultura, que es precisamente el tema central de este estudio.
3.3 Aptitud natural de uso y uso actual del suelo de las parroquias rurales de la provincia de Cotopaxi
Con base en las características geofísicas de la provincia de Cotopaxi, se cree que sus suelos son aptos para la producción agrícola, mejor todavía con el empleo de nuevas técnicas de producción (Terán, 2007), pero tal suposición sin estudios detallados que lo sustenten no es válida. Por ejemplo, según (Winters, Espinosa, & Crissman, 1998), el solo hecho de que esta provincia se encuentre en la sierra centro de Ecuador, cuyos territorios se ubican mayoritariamente en ecosistemas frágiles y con poca accesibilidad, es evidencia suficiente de las grandes limitaciones de esta provincia para actividades agropecuarias. Pero, además de las limitaciones naturales de suelo, el clima es muy poco favorable para la producción agropecuaria en la provincia de Cotopaxi. Precisamente las características de clima y suelo, sirven para categorizar, el potencial de producción de un territorio, a partir del análisis de dos indicadores:la aptitud natural de uso y el uso actual del suelo.

Como se puede apreciar en el Figura 1, con relación a la aptitud natural de uso del suelo, se encontró que la provincia de Cotopaxi apenas presenta el 26,18% de su territorio con aptitud natural de uso para producción de cultivos agrícolas; y solamente el 14.78% del territorio de la provincia tiene aptitud de uso para producción de pastos y ganadería; mientras que aproximadamente el 59% del territorio de la provincia no tiene aptitud natural para la producción primaria de la cual, el 47% tiene aptitud natural de uso para bosques. Si aproximadamente el 41% de los territorios de la provincia de Cotopaxi tienen aptitud de uso productivo en agricultura o ganadería y, muchos de estos territorios tienen esta aptitud con limitaciones, entonces parece obvio que esta provincia no debe tener tan altos porcentajes de su población con actividad principal de ocupación la agricultura, con promedios superiores a 60% y en algunas parroquias la ocupación de la población en la agricultura supera el 90%, como se muestra en la Tabla 2. Esta situación es una primera evidencia de que la población está ocupando en actividades agrícolas, territorios cuya aptitud natural de uso es el bosque o la conservación; es decir, hay una clara transgresión de la aptitud natural de uso del suelo y obviamente los resultados de la actividad son deprimidos, dando como consecuencia carencias sistémicas en las familias rurales involucradas, que explican su pobreza y desnutrición arraigadas.
| Capacidad de uso de la tierra (Clase agroecológica) | Superficie en km2 | Porcentaje del territorio |
| Clase I | 0 | 0 |
| Clase II | 44.04 | 0.72 |
| Clase III | 283.34 | 4.64 |
| Clase IV | 633.63 | 10.37 |
| Clase V | 19.73 | 0.32 |
| Clase VI | 234.18 | 3.83 |
| Clase VII | 997.89 | 16.33 |
| Clase VIII | 3881.5 | 63.54 |
| No aplica | 14.81 | 0.24 |
| Total | 6109.12 | 100 |
Otra evidencia del estado de transgresión del uso del suelo, (uso agrícola de suelos cuya aptitud es la conservación o el bosque), que ratifica y amplifica significativamente los resultados de clasificación por aptitud de uso del MAGAP (Figura 1), es el resultado de la “Clasificación agroecológica” de los territorios en estudio, Tabla 3. Efectivamente, se encontró que la provincia de Cotopaxi no tiene tierras arables sin limitaciones para actividades de producción primaria, (Clase I); apenas el 0,72% del territorio provincial tiene aptitud agroecológica de la Clase II, que corresponde a suelos con alguna limitación para producción agrícola; aproximadamente el 15% del territorio de la provincia presenta suelos con aptitud agroecológica de las Clases III y IV, que son suelos con limitaciones significativas para la actividad agrícola, pero aptos para producción de pastos y ganadería y; apenas un 0,32% adicional del territorio se encuentra en la categoría agroecológica V, que sería suelos con limitaciones leves para la producción de pastos. Es decir, que sumando todos los territorios ubicados en las primeras cinco categorías que son aquellas con aptitud para la producción primaria de agricultura y ganadería (con limitaciones), apenas alcanza un 16% del territorio provincial. Si a este porcentaje, se suma el 3,83% que se ubica en la categoría VI, para indicar que esta porción todavía tendría alguna aptitud para producción de pastos, entonces, apenas se aproxima a un 20%, de suelos que podrían estar destinados a actividades productivas primarias (agricultura y ganadería), quedando aproximadamente el 80% de territorio provincial en las categorías VII y VIII, cuya aptitud natural de uso es evidentemente la conservación o los bosques, Tabla 3.
En contraste con la realidad descrita, sobre la escasa disponibilidad de tierra apta para la producción agropecuaria, la población rural de la provincia de Cotopaxi, mayoritariamente se ocupa en la agricultura, para lo cual, sin duda se ha puesto en cultivo áreas cuya aptitud de uso es la conservación o el bosque. Efectivamente, si se observa la información sobre el uso actual del suelo en el Figura 2, se encuentra que en el 2014, más del 55% del territorio de la provincia de Cotopaxi, se encuentra ocupado con usos agropecuarios, (25,56% en agricultura y 29,8% en pastos y ganadería), lo cual significa que además de haber utilizado toda la tierra apta para uso agropecuario hay un exceso de 14,36% de superficie transgredida sobre su aptitud natural de uso, en comparación con la información del Figura 1 (que muestra hasta un 41% del territorio de la provincia, tiene aptitud natural de uso agropecuario) y, hasta un 35,36% de superficie transgredida sobre su aptitud natural de uso, en comparación con la información de la Tabla 3 (que muestra hasta un 20% del territorio de la provincia, con zonificación agroecológica apta para uso agropecuario). Vale aclarar que tanto la información sobre aptitud natural de uso (Figura 1), como la información sobre la zonificación agroecológica, Tabla 3, provienen de datos oficiales, emitidos por los ministerios del ramo: MAE y MAGAP y que por lo tanto, las diferencias en áreas aptas para uso agropecuario encontradas en estas dos fuentes, se explicarían por las metodologías aplicadas en cada caso. Sin embargo, lo importante es que en los dos casos hay diferencias significativas de uso transgredido desde la aptitud natural de uso del suelo y esto, evidentemente es un problema de carácter estructural que explica la pobreza y desnutrición de la población ocupada de la agricultura en la provincia en estudio.
Para corroborar la situación descrita, se procedió a analizar el uso actual del suelo en la provincia de Cotopaxi, en tres años secuencialmente indistintos, (1990, 2008 y 2014), cuyos resultados se muestran en la Tabla 4, y estos, se compararon con la información de aptitud natural de uso del suelo en la misma provincia, (Figura 1). Efectivamente se encontró que ya en 1990, se habría transgredido, el uso del suelo, poniendo en producción agropecuaria, alrededor de un 2% de suelos cuya aptitud de uso no es esta actividad. Sin embargo para el año 2008, esta transgresión habría crecido aproximadamente al 14%, situación que se ha mantenido hasta el año 2014, en donde la trasgresión llega al 14,36%. Sin embargo, hay una distinción sustancial entre los años examinados en el balance de actividades agrícolas, con cultivos y actividades pecuarias, con pastos; mientras en 1990 y 2008, apenas un 4,1 y 3,45% de los territorios estaban dedicados a pasturas, en el año 2014, este sistema productivo creció descomunalmente, hasta un 29,8%. En cambio las áreas con sistemas productivos en cultivos agrícolas, que ya eran crecidas en 1990, pasaron de 38,2 a 51,5% de 1990 al 2008, pero decrecieron hasta un 25,8% en el 2014. Esto es una evidencia clara de que los productores de la provincia, durante el periodo 2008 al 2014, han cambiado la producción agrícola con cultivos a la producción ganadera con pasturas.
El cambio del sistema productivo de cultivos a pastos, evidentemente obedece a la pérdida de competitividad de los sistemas agrícolas, entre otros factores, precisamente por la baja productividad de la agricultura realizada en suelos no aptos para este objeto, además de otros factores también estructurales no resueltos como los costos altos de insumos y mano de obra, que son una constante desde que Ecuador entró al sistema monetario de dolarización; pero también los precios bajos y pocas oportunidades de mercado para una producción primaria de baja calidad, que se oferta sin valor agredo alguno y en volúmenes que no les permite a los productores ninguna ventaja transaccional en el mercado. Además, la producción agrícola es con cultivos en su mayoría estacionarios, que son sistemas no solamente demandantes de mano de obra, sino que están sujetos riesgos climáticos no controlables, como: sequías, granizadas, heladas, vientos frecuentes, entre otros y, todo esto, precisamente por estar ubicados en territorios cuya aptitud natural no es la producción agrícola.
| Categorías de uso actual | 1990 | 2008 | 2014 | |||
| Superficie km2 | % | Superficie km2 | % | Superficie km2 | % | |
| Antrópico | 17.19 | 0.28 | 36.7 | 0.6 | 37.09 | 0.61 |
| Bosque nativo | 1661.12 | 27.19 | 1353.08 | 22.15 | 1250.23 | 20.46 |
| Vegetación herbácea y arbustiva | 241.7 | 3.96 | 117.77 | 1.93 | 108.54 | 1.78 |
| Páramo | 1375.47 | 22.53 | 1073.58 | 17.58 | 1066.42 | 17.45 |
| Plantación forestal | 114.68 | 1.88 | 98.57 | 1.61 | 198.21 | 3.24 |
| Pastos y ganadería | 250.58 | 4.1 | 210.78 | 3.45 | 1820.4 | 29.8 |
| Cultivos agrícolas | 2377.14 | 38.91 | 3146.07 | 51.5 | 1561.29 | 25.56 |
| Área sin cobertura vegetal | 46.32 | 0.75 | 47.72 | 0.78 | 42.09 | 0.69 |
| Cuerpos de agua | 18.54 | 0.3 | 18.57 | 0.3 | 18.81 | 0.31 |
| Glaciar | 6.38 | 0.1 | 6.28 | 0.1 | 6.03 | 0.1 |
| Total | 6109.12 | 100 | 6109.12 | 100 | 6109.11 | 100 |
La situación descrita es ratificada por algunos analistas de la problemática agraria en Ecuador, (Terán, 2007), (Winters, Espinosa, & Crissman, 1998), (Rosero F. Carbonell Y. y Regalado F, 2011); quienes justifican el cambio de sistemas productivos agrícolas a ganaderos, precisamente por las aparentes facilidades que ofrecen especialmente los de ganaderías de leche, que además de ser poco demandantes de mano de obra, no requieren de mayores inversiones en insumos y son sistemas que sortean más eficientemente los riesgos climáticos; pero lo más interesante parece ser la relativa estabilidad en el mercado de la leche, en cuanto a precios de venta (que son fijados por el Gobierno) y una demanda aparentemente asegurada.
3.4 Correlación entre la aptitud natural de uso del suelo, uso actual productivo del suelo, ocupación principal “agricultura”, pobreza y desnutrición de la población de las parroquias rurales de la provincia de Cotopaxi
La información descriptiva de los niveles altos de pobreza, pobreza extrema y desnutrición, así como la ocupación principal mayoritaria de la población rural de Cotopaxi en actividades agropecuarias, conjuntamente con la descripción de las características de aptitud natural de uso del suelo, mayoritaria para bosques y conservación, que contrasta con el uso actual generalizado en producción agrícola y pasturas, parecería suficiente para aceptar como verdadera la hipótesis planteada en la investigación: “La aptitud natural de uso del suelo, el uso actual productivo del suelo y la actividad productiva de la población (la agricultura), tienen influencia directa en la pobreza y desnutrición de la población de las parroquias rurales de la provincia de Cotopaxi”. Sin embargo, las correlaciones cuyos resultados se muestran a continuación constituyen prueba fehaciente de que la hipótesis planteada se cumple.
En primer lugar, se procedió a indagar la correlación entre la principal actividad productiva de la población, (la agricultura), con los niveles de pobreza por NBI y, a su vez, se indagó la correlación entre la pobreza por NBI y la desnutrición crónica de la población rural de la provincia de Cotopaxi. Los coeficientes de correlación fueron positivos y altamente significativos en ambos casos, como se muestra en la Figura 3. Esto significa que, a mayor porcentaje de personas dedicadas a la agricultura, mayores son los niveles de pobreza por NBI de la población y viceversa; también significa que, a mayor porcentaje de personas pobres, mayores son los índices de desnutrición crónica de la población y viceversa. Por lo tanto, la hipótesis planteada se cumple a cabalidad, en cuanto a que la pobreza depende o está en función de la actividad productiva principal de la población, la agricultura, y como la desnutrición está relacionada directamente con la pobreza entonces la desnutrición también depende de la actividad principal de la población, la agricultura.
Estos resultados a primera vista parecen paradójicos, especialmente la relación entre dedicación a la agricultura y desnutrición de la población. Varios autores rescatan la idea de que la agricultura familiar de subsistencia (que es el modelo generalizado entre la población rural de Cotopaxi), sirve o garantiza la seguridad alimentaria de la familia, (Rosero F. Carbonell Y. y Regalado F, 2011), (Barrera, Escudero, & Alwang, 2012), (Terán, 2007); pero, aparentemente no es así; las familias rurales que fungen de agricultores tienen como su única fuente de ingresos las cosechas de sus parcelas o los animales y productos de origen animal que crían en sus UPA, y las necesidades de bienes y servicios que requieren las familias para su vida diaria deben ser financiadas con la venta de los productos de las UPA; y como estos no son suficientes ni en cantidad ni en calidad (puesto que manejan sistemas de producción no competitivos e ineficientes), entonces para garantizar ingresos deben vender sacrificando el consumo, la consecuencia obvia es que se arma un círculo vicioso difícil de romper, entre ingresos bajos por la actividad de producción primaria deprimida y pobreza y desnutrición por la falta de productos y bienes de consumo familiar.
En tales circunstancias, parece obvio que romper el círculo vicioso mencionado, significa encontrar las causas estructurales del problema de la poca eficiencia de la actividad generadora de ingresos de las familias, la agricultura. Precisamente, este es el tema que se trata de explicar con la relación de incompatibilidad entre aptitud natural de uso del suelo con el uso actual del mismo, observada para casi la totalidad de los territorios rurales de la provincia. Esta observación tiene correspondencia con los pensamientos de varios investigadores que han llegado a las mismas conclusiones, entre ellos: (Winters, Espinosa, & Crissman, 1998), (Terán, 2007), (Shaxson, 2011) y (Barrera, Escudero, & Alwang, 2012); que han encontrado que la baja producción de la agricultura en las zonas rurales con suelos degradados ha generado el incremento de los índices de pobreza de la población, que a su vez incrementan los de desnutrición crónica.

La siguiente correlación ensayada fue entre la aptitud natural de uso para cultivos y el uso actual del suelo en cultivos agrícolas, en los años 1990, 2008 y 2014. Los coeficientes de correlación fueron positivos y altamente significativos en los tres casos; lo que significa que, a mayor área apta para cultivos, mayor es el uso actual del suelo en cultivos y viceversa. Este resultado aparentemente es contradictorio con los resultados descriptivos expuestos anteriormente, en donde se demostró que la población está transgrediendo severamente la aptitud natural de uso del suelo que es para bosques y conservación, para poner en uso agropecuario; pero, la transgresión está visible en los diagramas de dispersión para las tres correlaciones estudiadas, Figura 4. Efectivamente, de la observación de los diagramas de dispersión se encuentra que la población en prácticamente todas las parroquias estudiadas no solo que está aprovechando al máximo posible las áreas aptas para cultivos, pero está usando áreas que no son aptas para este uso. Ejemplo, la parroquia Las Pampas (número 17 en los diagramas), que tiene cero por ciento de área con aptitud natural de uso en cultivos, pero tiene puesto en cultivos 17% de su territorio en 1990, 54% en el 2008, y 12% en el 2014. También la parroquia Mulliquindil (número 21 en los diagramas), tiene menos del 20%, con aptitud para cultivos, pero tiene puesto en cultivos 90%, en el año 1990; 96%, en el año 2008 y 59%, en el año 2014. La misma realidad se observa en las parroquias cuyos territorios tienen altos porcentajes con aptitud para cultivos, pero tienen puesto en cultivos superficies muy superiores a las que realmente deberían estar con este uso. Ejemplo la parroquia Antonio José Olguín (número 4 en los diagramas), que tiene algo menos del 60% de su territorio apto para la producción de cultivos, pero tiene puesto en cultivo 92%, en el año 1990; 98%, en el año 2008 y 97%, en el año 2014, Figura 4.
En resumen, se encontró que la transgresión del uso del suelo se ha dado tanto en las parroquias con poca o ninguna aptitud de uso para cultivos, como en aquellas que si presentan porcentajes de área importantes para este uso; todas muestran la misma tendencia a transgredir la aptitud natural de uso del suelo. Aunque el fenómeno de transgresión de uso del suelo para poner en cultivos agrícolas parece haber ido en aumento desde 1990 hasta el año 2008 y luego haber decrecido hasta el 2014, (Tabla 4 y Figura 4); pero, de los recorridos observaciones y visitas realizadas en sitio, en las parroquias estudiadas, se evidenció dos tendencias: i) el cambio de sistema productivo desde cultivos agrícolas a pasturas, que se observa claramente en la Tabla 4 y, ii) el abandono sistemático de parcelas por parte de los agricultores. En ambos casos, la explicación más frecuente fue la falta de competitividad de la agricultura por las razones ya explicadas; sin embargo, no significa que los suelos abandonados han pasado a las categorías de bosque o conservación que les corresponde por naturaleza, solamente están abandonados y eventualmente podrían volver a ser cultivados en cualquier momento o circunstancia.

En el caso de la correlación entre la aptitud natural de uso y uso actual del suelo en pasturas, se encontró una situación bastante sui géneris. Los coeficientes de correlación fueron no significativos, para los años 2008 y 2014, indicando poca o ninguna relación entre estas dos variables; pero, para el año 1990 este coeficiente fue negativo y significativo (-0,362*), lo que significa que mientras más área disponible con aptitud de uso para pasturas, menos área fue utilizada en esta actividad y viceversa. Sin embargo, al observar los diagramas de dispersión de la Figura 5, se puede comprobar que las áreas aptas para pastos no estaban puestas en pastos, por lo menos en los años 1990 y 2008, pero en el año 2014, la población de la mayoría de las parroquias se cambió a la producción de pastos y ganadería, lo cual ratifica la observación anterior, en el sentido de que a partir del 2008, la población cambió de sistema productivo, pasando a pastos y ganadería desde cultivos, y pasando a pastos y ganadería desde suelos aptos para bosques y conservación; ratificando la observación de que este cambio fue motivado por la aparente mejor rentabilidad logra- da con el sistema de ganadería de leche, que es el sistema más común en la zona de estudio y en toda la sierra de Ecuador.

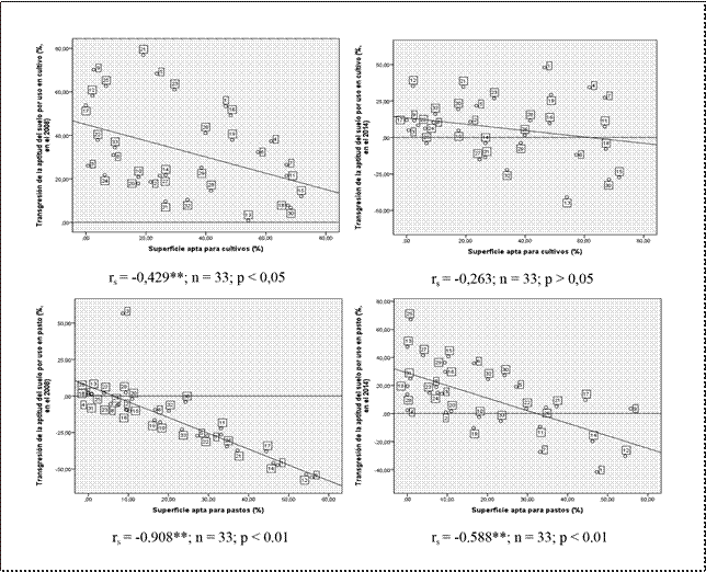
A continuación, y para consolidar la observación de la transgresión del uso del suelo en agricultura cuando su aptitud natural es la conservación y/o los bosques, se analiza los resultados de las correlaciones entre las variables: aptitud natural de uso del suelo para cultivos y aptitud natural de uso para pastos, con los porcentajes de transgresión de la aptitud de uso del suelo por estas mismas opciones productivas, para los años 2008 y 2014, en las 33 parroquias rurales estudiadas. Los porcentajes de transgresión utilizados en los análisis de correlación se calcularon por diferencia entre el porcentaje de territorio parroquial con aptitud natural de uso para cultivos o pasturas y los porcentajes de territorios con uso actual en estas mismas opciones de uso. Los resultados se muestran en los diagramas de la Figura 6.

Los coeficientes de correlación en los cuatro casos analizados fueron negativos y altamente significativos, con excepción de la correlación entre porcentaje de superficie apta para cultivos y porcentaje de trasgresión para este uso, para el año 2014, que fue no significativo. La interpretación en los tres casos donde los coeficientes de correlación fueron altamente significativos es que, a menor superficie con aptitud para cultivos o pasturas, mayor es el porcentaje de trasgresión para estos usos y viceversa, lo cual es la muestra más clara de que la población está haciendo agricultura en suelos con aptitud natural de uso para bosque o conservación. La tendencia está muy visible en los diagramas de dispersión de la Figura 6, de la cual, vale resaltar la trasgresión total observada para uso del suelo en cultivos en el 2008; pues todas las 33 parroquias estudiadas se ubican en mayor o menor grado por encima de la línea de transgresión; mientras que esta misma correlación, para el 2014, presenta que solamente las dos terceras partes (22 de las 33 parroquias estudiadas), presentan porcentajes de área que superan la línea de transgresión. En el caso de las correlaciones con pasturas, se observa el fenómeno contrario; mientras que el 2008, la gran mayoría (25 de las 33 parroquias estudiadas), presentan porcentajes de área por debajo de la línea de transgresión, en el 2014, es exactamente al revés. Estos resultados, no solamente muestran fehacientemente la transgresión en el uso del suelo, que aplica la población rural de la provincia de Cotopaxi, sino que demuestran una vez más, el cambio de actividad productiva desde producción agrícola a la producción de pastos con ganadería durante el periodo del 2008 al 2014.
En definitiva, en los territorios de las parroquias rurales estudiadas, se han generado fuertes presiones (transgresiones) por el uso del suelo. Desde el año 1990 hasta el 2008, absolutamente todas las parroquias intervinieron en sus suelos para realizar actividades agrícolas, unas vulnerando la aptitud natural de uso de los suelos en mayor grado que otras. Sin embargo, para el año 2014, la transgresión de los suelos ya no fue por el uso intensivo en agricultura, sino por el uso del suelo en pastos, pero, la misma manera se vulneró la aptitud natural de uso del recurso suelo. A esto hay que sumar el hecho de que los agricultores, apremiados por sus necesidades, se preocupan más por mejorar sus ingresos que por considerar el estado de conservación los recursos naturales o por reducir el deterioro de los suelos, sin entender que sistemáticamente están entrando en otro circulo vicioso: el deterioro de la base natural productiva genera menor ingreso por la actividad, a lo cual el agricultor responde con mayor presión sobre los mismos recursos naturales, aumentando el deterioro de los mismos y esto, a su vez, vuelve a afectar los rendimientos de los cultivos y los ingresos de los agricultores. Lamentablemente la salida de este círculo vicioso se produce con decisiones de emigración forzada y/o abandono de las parcelas por improductivas. De estos resultados, se infiere claramente que la producción primaria (practicada en suelos no aptos para esta actividad) no ha dado los ingresos económicos necesarios a la población, para poder satisfacer las necesidades básicas de las familias involucradas; todo lo contrario, aparentemente es una muestra de que, a medida que la población sigue fungiendo de agricultora, los problemas de carencias y pobreza se agudizan con el tiempo. La Figura 7, es una muestra extrema de la transgresión del uso del suelo; ésta muestra una parcela sembrada con papa, en la vertiente interna occidental de cráter del volcán Quilotoa, en un suelo con una pendiente que fácilmente supera el 50% y en una zona con aptitud eminentemente de conservación.

Como complemento a los resultados anteriores y, como la mejor demostración de que la hipótesis planteada es verdadera, se procede a analizar los resultados de las correlaciones entre el porcentaje de las superficies parroquiales con aptitud para cultivos agrícolas con la pobreza por NBI, desnutrición crónica y actividad principal (agricultura) de la población, cuyos resultados se muestran en la Figura 8. Efectivamente, los coeficientes de correlación en los tres casos fueron negativos y altamente significativos, lo que significa que, a menor aptitud natural de uso del suelo para cultivos agrícolas, mayor es la pobreza por NBI, mayor es la desnutrición crónica y mayor es la dedicación de la población involucrada a agricultura y viceversa. Los diagramas de dispersión de la Figura 8, muestran en forma fidedigna estas tendencias, para las 33 parroquias rurales estudiadas. Como una muestra o ejemplo de lo dicho, se puede mencionar a la parroquia Pinllopata, (número 25 en los diagramas), que tiene aproximadamente el 7% de su territorio con aptitud natural de uso del suelo para cultivos agrícolas, pero, tiene el 99% de su población con pobreza por NBI, el 68% con desnutrición crónica y el 91% de la población se dedica a la agricultura.

Por consiguiente, se demuestra en forma reiterada que la pobreza y desnutrición crónica de la población rural de la provincia de Cotopaxi está en función directa de la actividad agrícola, que se realiza en suelos y ambientes no aptos para esta actividad, con resultados muy poco o nada rentables. La persistencia de grandes sectores de la población haciendo estas actividades poco rentables a lo largo del tiempo es el resultado de las oportunidades nulas de ocupación rentable para la mano de obra rural disponible; es decir, el costo de oportunidad de la mano de obra en áreas rurales como la estudiada es cero o cercano a cero, (Nieto C, 2014). Pero, nuevamente, estos resultados están en concordancia con los hallazgos de (Arellano, Poats, & Proaño, 2000), (Shaxson, 2011), (Barrera, Escudero, & Alwang, 2012), (Falconí, 2013), entre otros autores; quienes afirman que existe más pobreza de la población, en zonas de mayor degradación de los recursos naturales, y además mencionan que el problema radica en que es difícil determinar métodos de producción rentables y eficientes en aquellos lugares. Sin embargo, es posible que no se trate de la dificultad de determinar modelos de producción eficientes, más de entender y aceptar que se está forzando a un grupo de la población a hacer actividades contra natura. Pretender hacer agricultura en suelos cuya aptitud no es ésta, es soslayar un problema de carácter estructural que lamentablemente las políticas estatales y de desarrollo local han pretendido resolver con soluciones triviales y de coyuntura como la asistencia técnica, la capacitación, el crédito, la compra directa de sus cosechas y hasta los subsidios en insumos; obviamente los resultados esperados no se han alcanzado.
4. Conclusiones
Los territorios con aptitud natural de uso del suelo para cultivos agrícolas alcanzan apenas del 26,18% de la provincia de Cotopaxi y, solamente el 14,78% del territorio tiene aptitud de uso para producción de pastos y ganadería; mientras que el 59% del territorio de la provincia no tiene aptitud natural para la producción primaria; sin embargo, en el año 2014, el uso actual del suelo en cultivo y pasturas fue de 38,57% y 30,93%, respectivamente, lo que explica que más del 60% de la población aparezca con actividad principal productiva, la agricultura y en algunas parroquias la ocupación de la población en agricultura supera el 90%.
Como consecuencia de que la aptitud natural de uso del suelo que es incompatible con el uso actual productivo del mismo, en actividades agropecuarias, devienen ingresos deprimidos que influyen en la pobreza y desnutrición de la población de las parroquias rurales de la provincia de Cotopaxi.
Efectivamente, la pobreza por NBI de la población rural de la provincia de Cotopaxi, en promedio se ha incrementado desde el 60,6% en 1990 hasta 90,9% en el 2010, mientras que la desnutrición crónica promedio de la población alcanzó el 64,6%, también en el 2010, situación que cierra un círculo vicioso: la pobreza y desnutrición de la población, son consecuencia de la actividad productiva poco o nada rentable, (la agricultura), la agricultura se hace en suelos no aptos para este uso, con resultados ineficientes, que agravan la pobreza y la desnutrición de la población.
Aparentemente, este círculo vicioso entre pobreza y actividad productiva ineficiente es más notorio en las parroquias cuya población es predominantemente indígena, que paradójicamente hacen agricultura en territorios cuya aptitud natural de uso es la conservación; pues son las poblaciones ubicadas en los ecosistemas de páramo, cuyas limitaciones no son solamente de aptitud de uso del suelo, sino de clima constantemente adverso para la agricultura.
Las correlaciones entre el porcentaje de las superficies parroquiales con aptitud para cultivos agrícolas, con actividad principal (agricultura), con pobreza por NBI y con desnutrición crónica de la población, fueron negativas y altamente significativas, lo que irónicamente significa que a menor aptitud natural de uso del suelo para cultivos agrícolas, mayor es la dedicación de la población a la agricultura y por tanto, mayor es la pobreza por NBI y mayor es la desnutrición crónica y viceversa.
A partir de este estudio, se confirma como cierta la hipótesis planteada: “la aptitud natural de uso del suelo, incompatible con el uso actual productivo del suelo en actividades agropecuarias, tienen influencia directa en los niveles de pobreza y desnutrición de la población de las parroquias rurales de la provincia de Cotopaxi”.
Por lo tanto, se concluye que la actividad de producción primaria en la mayoría del territorio rural de la provincia de Cotopaxi, además de no generar los ingresos suficientes para garantizar una vida digna de las familias, produce una espiral de degradación ambiental en cada ciclo agrícola, lo cual reduce la capacidad productiva de los suelos, con la consecuencia obvia del empobrecimiento sistemático de la población involucrada.
A pesar de que su actividad ocupacional principal, la agricultura, no genera los réditos necesarios, para lograr una vida digna de las familias involucradas, un gran sector de la población rural de Cotopaxi persiste en esta actividad, lo cual se puede explicar por el costo de oportunidad para la mano de obra de la población, que es cero o cercano a cero; pero también es el resultado del nivel bajo de instrucción de la población que no les permite acceder a otras oportunidades que no sean la producción primaria.
Por consiguiente, es necesario, primero aceptar y asimilar el hecho de que las actividades de producción primaria, realizadas en suelos cuya aptitud natural de uso no es la agricultura, (y que además tiene serias limitaciones climáticas), como es el caso investigado, es un problema estructural, que amerita un enfoque de solución distinto al que se ha venido aplicando con la política agraria estatal y local.
Tal vez la solución está en la búsqueda de ocupaciones rurales no agrícolas para una población que de otro modo continuará sumida en la pobreza o acrecentará la emigración rural, como se ha venido observando en forma consistente en las últimas décadas; amén del acrecentamiento del deterioro y destrucción de los recursos naturales en ecosistemas frágiles como bosques nublados y páramos, que son prestadores de servicios ambientales de interés nacional.
Referencias
Arellano, P., Poats, S., & Proaño, M. (2000). Pobreza rural y deterioro ambiental en la cuenca del río, El Ángel, Carchi Ecuador: CONDESAN.
Balzarini, M., Di Rienzo, J., Tablada, M., Gonzalez, L., Bruno, C., Córdoba, M., & Robledo, W. (2011). Estadística y Biometría: Ilustraciones del uso de InfoStat en problemas de agronomía. Córdoba, España: Brujas.
Barrera, V., Escudero, L., & Alwang, J. (2012). Integrated management of natural resources in the Ecuador Highlands. Agricultural Sciences, 3(5), 768-779.
Falconí, F. (2013). Crisis civilizatoria y alternativas de la humanidad. Simposio Coloquio Internacional Crisis civilizatoria. Quito, Ecuador.
FAO. (2014). Panorama de la Seguridad alimentaria. Quito, Ecuador: Organización de las Naciones Unidas Para la Alimentación y la Agricultura. Recuperado de: http://www.fao.org/3/a-i4018s.pdf
INEC. (2010). REDATAM. Quito, Ecuador: Instituto Nacional de Estadísticas y Censos recuperado de: http://redatam.inec.gob.ec/cgibin/RpWebEngine.exe/PortalAction?&MODE=MAIN&- BASE=CPV2010&MAIN=WebServerMain. inl
Larrea, C., Landín, R., Larrea, A., Wrborich, W., & Fraga, R. (2008). Mapas de pobreza, consumo por habitante y desigualdad social en el Ecuador: 1995 – 2006. Metodología y Resultados. Quito: Documento de Trabajo No. 13. Programas Dinámicas Territoriales Rurales.
MAGAP. (2015). Cobertura del uso actual del suelo del Ecuador Continental 1990 – 2008 -2014, escala 1:100.000. Quito, Ecuador: Ministerio de Agricultura, Ganadería y Pesca.
MAGAP., & MAE. (2015). Proyecto de generación del mapa de cobertura y uso de tierra del Ecuador Continental 2013-2014, escala 1:100.000. Quito, Ecuador: Ministerio de Agricultura, Ganadería y Pesca, Ministerio del Ambiente.
Nieto, C. (2014). Tipología de agricultores o habitantes rurales en Ecuador: Análisis basado en la realidad nacional, como aporte estratégico para el desarrollo rural. SIEMBRA,1, 44-55.
Rosero, F., Carbonell, Y., & Regalado, F. (2011). Soberanía alimentaria, modelos de desarrollo y tierras en Ecuador. Quito, Ecuador: CAFO- LIS – Grupo de apoyo.
Sánchez, J. (2015). Introduccion a la estadistica no parametrica y al analisis multivariado. Quito, Ecuador: Giro creativo.
SENPLADES. (2013). Plan Nacional del Buen Vivir 2013-2017. Quito, Ecuador: Secretaría Nacional de Planificación y Desarrollo.
Shaxson, F. (2011). Indicadores de la calidad de la tierra: ideas generadas por el trabajo en Costa Rica, norte de la India y Ecuador central. Boletín de Tierras y Agua de la FAO 5 – Indicadores de la calidad de la tierra y su uso para la agricultura sostenible y el desarrollo rural. Roma: Organización de las Naciones Unidas para la Alimentación y la Agricultura.
SIISE. (2010 a). Desnutrición crónica. Consultas temáticas – Salud - Nutrición. Quito, Ecuador: Sistema Integrado de Indicadores Sociales del Ecuador. Recuperado de:http://www.siise.gob.ec
SIISE. (2010 b). Extrema pobreza por Necesidades básicas insatisfechas (NBI) año 2001 – año 2010. Consultas temáticas – Desigualdad y Pobreza. Quito, Ecuador: Sistema Integrado de Indicadores Sociales del Ecuador. Recuperado de: http:// www.siise.gob.ec
SIISE. (2010 c). Pobreza por Necesidades básicas insatisfechas (NBI). Consultas temáticas – Desigualdad y Pobreza. Quito, Ecuador: Sistema Integrado de Indicadores Sociales del Ecuador. Recuperado de: http://www.sii-se.gob.ec
Terán, J. (2007). Cotopaxi, una provincia con una miseria no excepcional . En J. Terán, Las quimeras y sus caminos. La gobernanza del agua y sus dispositivos para la produccion de pobreza rural en los Andes ecuatorianos (pp. 193-232). Quito, Ecuador: CLACSO.
Winters, P., Espinosa, P., & Crissman, C. (1998). Manejo de los recursos en los Andes ecuatorianos. Revisión de literatura y evaluación del Proyecto Manejo del Uso Sostenible de Tierras Andinas (PROMUSTA) de CARE. Quito, Ecuador: Abya-Yala.
Notas de autor
desdeelsurco@gmail.com

