
Influencia de diferentes sistemas de cultivo en la calidad del tallo y las características de macronutrientes en Solidago canadensis
Influence of different cultivation systems in stem quality and macronutrient characteristics in Solidago canadensis
Siembra
Universidad Central del Ecuador, Ecuador
ISSN: 1390-8928
ISSN-e: 2477-8850
Periodicidad: Semestral
vol. 4, núm. 1, 2017
Recepción: 09 Junio 2017
Aprobación: 30 Julio 2017
Autor de correspondencia: myumbla@uce.edu.ec
Resumen: El cultivo de solidago es una actividad relativamente nueva en Brasil, por lo que existe escasa información sobre las prácticas de manejo adecuadas para aumentar su eficiencia productiva. Aspectos como la poda, sistemas de manejo del cultivo y demanda nutricional son poco conocidos para esta especie. Los objetivos de este estudio fueron determinar cómo diferentes sistemas de manejo de cultivo pueden afectar en: (1) el rendimiento y la calidad de los tallos de solidago, (2) el peso seco total de la planta y la acumulación de macronutrientes a lo largo del ciclo del cultivo y (3) la concentración de macronutrientes en hojas durante el ciclo del cultivo. Se utilizó una solución nutritiva con macro y micronutrientes para fertirrigar el cultivo durante todo su ciclo. Se realizó un pinzamiento cinco días después del trasplante (DDT). Inicialmente, no se observaron diferencias significativas en la longitud de los tallos. Sin embargo, a los 75 y 90 DDT, las plantas con un solo tallo presentaron mayor longitud. A lo largo del ciclo de cultivo se observó un incremento de la acumulación de macronutrientes. La acumulación de nutrientes siguió el siguiente orden: K > N > Ca > Mg > S > P. Los tres sistemas de manejo de cultivo produjeron tallos de solidago con longitudes y peso fresco acordes a los estándares comerciales. Plantas cultivadas con uno, dos y tres tallos tuvieron pesos secos totales estadísticamente iguales. Las plantas de solidago deben ser conducidas con tres tallos, ya que este sistema de manejo no afecta la concentración y acumulación de macronutrientes, y permite producir un mayor número de tallos por planta sin perder calidad de tallo.
Palabras clave: pinzamiento, absorción de nutrientes, floricultura, vara de oro, Brasil.
Abstract: Goldenrod cultivation is relatively new in Brazil, so that there is lack of knowledge regarding the proper cultural practices required to increase its production efficiency. Aspects such as pruning, cultivation systems and nutrient demand are not well known for this species. The objectives of this study were to determine how different cultivation systems can affect: (1) yield and quality of goldenrod stems, (2) total plant dry weight and macronutrient accumulation throughout the lifecycle of the crop, and (3) leaf macronutrient concentration during the lifecycle. A nutrient solution containing macro and micronutrients was used to fertirrigate this floriculture crop over the entire lifecycle. Pinching was made five days after transplanting (DAT). Initially, no significant differences were observed in shoot length. However, at 75 and 90 DAT, plants with one stem were longer. Increasing macronutrient accumulation was observed during the lifecycle. Nutrient accumulation had the following order: K > N > Ca > Mg > S > P. The three cultivation systems produced goldenrod stems with lengths and fresh weight that met commercial standards. Total dry weight was statistically the same in plants grown with one, two and three stems. Goldenrod plants should be conducted with three stems since this system does not interfere with the concentration and accumulation of macronutrients, and allows producing a greater number of stems per plant without losing the stem quality.
Keywords: pinching, nutrient uptake, floriculture, goldenrod, Brazil.
1. Introduction
Goldenrod or tango (Solidago canadensis L.) is an herbaceous perennial plant from North America that belongs to the Asteraceae family. It grows from rhizomes and its stems range in height from 80 – 120 cm. This floriculture crop has yellow-green paniculiform inflorescences at the end of the stems. Because of its beauty, inflorescences are sold as cut-flowers for bouquets or floral arrangements, among other uses (Lorenzi and Moreira de Souza, 2008).
In cut-flower production, vertical growth is often undesirable because it reduces the number of branches per plant, leading to the reduction of yields and the appearance of stems with a length above the standards required by the market. In order to avoid this undesired type of stems, tip pruning is a recommended cultural practice (Brickell, 1979). In floriculture, this technique is commonly used in various species, such as chrysanthemum, lisianthus, aster, carnation and goldenrod (FLORTEC, 2002).
Tip pruning or pinching technique is used to stimulate the development of side shoots in goldenrod plants in order to obtain a greater number of stems per plant. A major problem in floriculture is the lack of research on the effects of pruning on plant growth and nutrient demand, especially macronutrients. This reality leads farmers to use inadequate cultural practices that interfere with plant production and quality.
Few studies have analyzed goldenrods response to fertilization, which reflects the need for conducting research to improve fertilizer management for this species. Thus, it is essential to have knowledge of nutrient accumulation throughout the growing season in order to define fertilization strategies for this culture. In this sense, Villas Bôas et al. (2008) state that nutrient accumulation curves for Bermuda grass are a useful parameter for fertilizer recommendation, because they indicate nutrient demands at every development stage of the culture.
The absorption of nutrients varies with the culture development stage, generally intensifying during flowering, development and growth of fruits. Climate conditions, medium conditions, nutritional and crop management are also factors influencing nutrient absorption (Rodrigues, 2002). Generally, elemental analysis of leaves is commonly used as a basis for crop fertilizer recommendations (Walsh and Beaton, 1973; Jones Jr. et al., 1996).
Plant nutritional status can be determined by direct and indirect methods. Among direct methods, leaf analysis is one of the most used techniques. According to Jones Jr et al. (1996), appropriate mean leaf concentrations for macronutrients, in g kg-1, are: 28 (N), 4.3 (P), 7.2 (Ca), 2.2 (Mg) and 3.8 (S). However, in order to use properly leaf analysis for any culture, reference values of leaf nutrient concentration must be defined for the species. These values have not yet been established for goldenrod.
Commercial cultivation of goldenrod is relatively recent in Brazil and, because of that, there is a lack of knowledge regarding appropriate cultural practices to increase the crops production efficiency. Factors as cultivation systems and mineral nutrition, which are directly related to productivity and flower quality, are not well known for this species.
With this background, this study aimed to determine how different cultivation systems can affect:(1) yield and quality of goldenrod stems, (2) total plant dry weight and macronutrient accumulation throughout the lifecycle of the crop and (3) leaf macronutrient concentrations.
2. Materials and methods
2.1. Plant materials and growth conditions
The experiment was conducted under greenhouse conditions in the Floriculture Area of the Federal University of Viçosa – Minas Gerais – Brazil (20º45’ S, 42º5’ W, altitude 651 m), in the period July-October 2007.
Seedlings obtained from 10 cm tango cuttings were transplanted to 2.5 L pots containing washed sand as substrate. In order to promote vegetative growth during the first 8 weeks, plants were maintained under long days (LD) with 16 hours of light (including 4 hours by means of artificial light). Artificial light was obtained with 100 W lamps, spaced 2 m between each and placed 1.5 m above the plants. This system was controlled by a timer that turned the lights on from 22:00 to 02:00. Afterwards, plants were cultivated with normal day light period until harvest.
Fertirrigation was made with a nutrient solution originally recommended for chrysanthemum by Barbosa (1996) and modified by Muniz (2004). It contained macronutrients (mmol L-1): 10.8 N-NO3, 3.6 N-NH4+, 1.95 P-P2O5, 8.0 K+, 1.5 Ca2+, 1.0 Mg2+, 0.5 S-SO42- and micronutrients (µmol L-1): 30.0 H3BO3, 5.0 Cu2+, 50.0 Fe2+, 40.0 Mn2+, 2.0 Zn2+, 0.1 MoO42, During the first 30 days after transplanting (DAT), plants were fertirrigated with 30 mL/pot/day and from there on with 50 mL/pot/day, based on previous experience. Daily fertirrigation was alternated with normal irrigation according to plant water demand.
2.2. Growth measurements and nutritional determination
Stems commercial characteristics (length and fresh weight) were measured at 60, 75 and 90 DAT harvest dates, since goldenrod stems can be sold in different growth stages (inflorescence aspect goes from totally green – in initial stages when flowers are closed-to golden yellow colors when all the flowers have opened).
To determine dry mass and macronutrient accumulation, plants were collected at seven harvest dates (0, 15, 30, 45, 60, 75 and 90 DAT). Once harvested, plant components (leaves, stems, roots and inflorescences) were separated in the laboratory, washed with distilled water to remove dust. Special attention was given to root cleaning in order to remove all the substrate. Afterwards, plant components were separately oven-dried at 70 ºC for 72 h.
Dry leaves, stems, roots and inflorescences were weighed separately, grounded in Wiley mill to pass a 40 mesh sieve and digested with nitric-perchloric acid. Potassium (K) was determined by flame photometry while calcium (Ca) and magnesium (Mg) by atomic-absorption spectrophotometry. In the case of phosphorus (P) and sulfur (S), they were determined by molecular-absorption spectrophotometry under 725 and 420 nm wavelengths, respectively. Sulfuric acid digestion was used to determine nitrogen (N) and its quantification was realized based on Kjeldahl method.
2.3. Experimental design and statistics
The experiment was carried out in a randomized block design, arranged in a factorial scheme 3×7, with three replications. Treatments were represented by three plant cultivation systems (one, two and three stems per plant) and seven harvest dates (0, 15, 30, 45, 60, 75 and 90 DAT). Harvest date “0” corresponded to tango seedlings obtained from softwood cuttings, 10 cm tall, taken from stock plants. Each experimental unit consisted of one pot containing three plants. Pinching of plants that grew with two and three stem treatments was made 5 DAT and it consisted of the removal of the first 2 cm from the shoot apex.
Data were subjected to analysis of variance and regression. Plant cultivation system means were compared using Newman-Keuls test, adopting 5% level of probability. Regression equations were fitted to harvest date data obtained during the entire crop lifecycle. Statistical analysis was carried out with SAEG software.
3. Results
3.1. Stem commercial characteristics
Stem lengths collected in the last three harvest dates met the standards of the flower market, classified in five categories 50, 60, 70, 80 and 90 cm (IBRAFLOR, 2000). No significant differences were observed in shoot length, at 60 DAT, among plants with one, two or three stems. However, at 75 and 90 DAT, plants with one stem presented longer shoots over than 90 cm (Table 1).
| Number of stems | Harvest dates (DAT) | ||
| 60 | 75 | 90 | |
| 1 | 88.00 a | 114.33 a | 108.33 a |
| 2 | 84.33 a | 90.16 b | 92.17 a |
| 3 | 75.66 a | 81.78 b | 71.44 b |
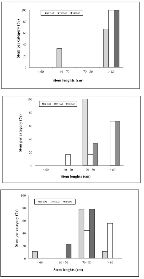
Although plants with different number of stems produced stems with lengths that fitted commercial standards, there was a pattern observed regarding these variables. Thus, plants with less number of stems produced longer stems at each harvest date (i.e., plants cultivated with one stem produced over 70 % of the stems > 80 cm length at 60, 75 and 90 DAT). However, the greatest number of stems were produced by plants cultivated with two and three stems, which were mainly distributed among the categories of 70 – 80 cm and > 80 cm (Figure 1).

Figure 1. Distribution of the stems per category (%) according to their length (cm), for plants grown with one (a), two (b) and three stems (c).
At 90 DAT, stems with 87.2, 82.0 and 73.5 g of fresh weight were harvested from plants cultivated with one, two and three stems, respectively, with no differences among the means. Similarly, no significant differences were found among the means of stem fresh weight of the three cultivation systems at 60 and 75 DAT (Table 2).
| Number of stems | Harvest dates (DAT) | ||
| 60 | 75 | 90 | |
| 1 | 33.17 a | 56.53 a | 87.19 a |
| 2 | 34.77 a | 53.17 a | 82.01 a |
| 3 | 37.10 a | 57.10 a | 73.52 a |
3.2. Total plant dry weight
Plants grown with one, two or three stems had similar total dry weights at each harvest date (Table 3).
| Number of stems | Harvest dates (DAT) | ||||||
| 0 | 15 | 30 | 45 | 60 | 75 | 90 | |
| 1 | 0.537 a | 0.532 a | 2.199 a | 7.984 a | 15.953 a | 23.331 a | 35.447 a |
| 2 | 0.451 a | 0.582 a | 1.120 a | 5.247 a | 12.518 a | 18.440 a | 32.171 a |
| 3 | 0.521 a | 0.495 a | 1.387 a | 6.393 a | 16.391 a | 21.657 a | 33.057 a |
Means followed by the same letter are not significantly different from each other (Newman Keuls test, p ≤ 0.05).
3.3. Macronutrient accumulation in leaves
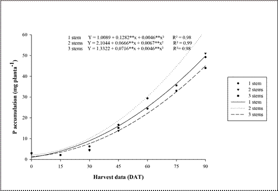
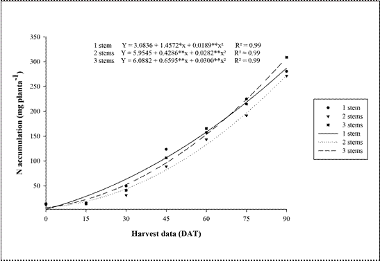
Overall, macronutrient accumulation in goldenrod plants followed this order: K > N > Ca > Mg > S > P. Final K accumulation (564 – 598 mg plant-1) was almost two times total N accumulation (272 – 309 mg plant-1) which demonstrates that goldenrod has an important K demand. All nutrients had similar accumulation rate through the species lifecycle, independently of the number of stems per plant. Thus, nutrient demand for macronutrients did not depend on the number of stems with which the plants grew (Figures 2 to 7).






3.4 Macronutrient concentration in leaves
The leaves of the three cultivation systems had the following average concentrations, in dag kg-1: N: 2.93, 3.01 and 3.00; P: 0.33, 0.35 and 0.34; K: 3.63, 3.89 and 3.93; Ca 2.93, 3.01 and 3.00; Mg: 0.40, 0.39 and 0.39; S: 0.27, 0.29 and 0.29; in plants with one, two and three stems, respectively.
There were significant differences for N concentration in leaves among the three cultivation systems only at 30 and 45 DAT, with the highest concentration in plants with two stems. Phosphorus concentration in leaves show significant differences between plants with one, two and three stems at 45 DAT, the highest value was 0.376 dag kg-1 in plants with two stems which did not differ from plants with three stems. The values of K concentration in leaves were different at 15, 30, 45 and 75 DAT, with the smallest value (3.35 dag kg-1) at 15 DAT in plants with one stem.
No significant differences were observed among the three cultivation systems for Ca concentration in leaves at 15, 30, 60, 75 and 90 DAT. However, at 45 and 60 DAT, plants grown with two stems showed higher Ca concentration, 4.21 and 3.38 dag kg-1, respectively. The Mg concentration in leaves differed for the three cultivation systems at 15, 30, 45 and 60 DAT. Finally, differences in S concentration in leaves were observed at 30, 45 and 90 DAT between plants with one, two and three stems (Table 4).
| Number of stems | Harvest dates (DAT) | ||||||
| 0 | 15 | 30 | 45 | 60 | 75 | 90 | |
| N | |||||||
| 1 | 3.173 a | 3.920 a | 3.930 b | 3.040 b | 2.380 a | 2.190 a | 1.880 a |
| 2 | 3.141 a | 3.800 a | 4.210 a | 3.380 a | 2.2750 a | 2.210 a | 2.070 a |
| 3 | 3.210 a | 4.000 a | 4.020 b | 3.245 a | 2.2050 a | 2.210 a | 2.055 a |
| P | |||||||
| 1 | 0.587 a | 0.412 a | 0.407 a | 0.312 b | 0.2265 a | 0.225 a | 0.197 a |
| 2 | 0.605 a | 0.387 a | 0.433 a | 0.376 a | 0.2349 a | 0.232 a | 0.211 a |
| 3 | 0.580 a | 0.408 a | 0.410 a | 0.342 ab | 0.2128 a | 0.220 a | 0.197 a |
| K | |||||||
| 1 | 4.620 a | 3.350 c | 3.750 b | 4.025 ab | 3.5500 a | 3.750 a | 2.375 a |
| 2 | 4.594 a | 4.000 b | 4.630 a | 4.400 a | 3.5750 a | 3.200 b | 2.800 a |
| 3 | 4.650 a | 4.450 a | 4.625 a | 3.775 b | 3.6250 a | 3.625 a | 2.725 a |
| Ca | |||||||
| 1 | 3.173 a | 3.920 a | 3.935 b | 3.040 b | 2.3800 a | 2.190 a | 1.880 a |
| 2 | 3.141 a | 3.800 a | 4.210 a | 3.380 a | 2.2750 a | 2.210 a | 2.070 a |
| 3 | 3.210 a | 4.000 a | 4.020 b | 3.245 a | 2.2050 a | 2.210 a | 2.055 a |
| Mg | |||||||
| 1 | 0.410 a | 0.415 b | 0.352 b | 0.355 a | 0.4005 a | 0.461 a | 0.420 a |
| 2 | 0.400 a | 0.445 a | 0.374 ab | 0.321 b | 0.3704 b | 0.445 a | 0.426 a |
| 3 | 0.388 a | 0.447 a | 0.385 a | 0.338 ab | 0.3534 b | 0.440 a | 0.423 a |
| S | |||||||
| 1 | 0.678 a | 0.468 c | 0.318 a | 0.208 b | 0.1044 a | 0.103 a | 0.089 b |
| 2 | 0.678 a | 0.510 b | 0.326 a | 0.242 a | 0.1112 a | 0.112 a | 0.094 ab |
| 3 | 0.678 a | 0.530 a | 0.316 a | 0.198 b | 0.1071 a | 0.110 a | 0.103 a |
Means followed by the same letter are not significantly different from each other (Newman Keuls test, P ≤ 0.05).
4. Discussion
Pinching is used in cut-flowers to increase the number of stems per plant and in pot ornamental plants to improve plants shape. This technique is used in chrysanthemum (Chrysantemum sp.), lisianthus (Eustoma grandiflorum), aster (Aster sp.), carnation (Dianthus caryophyllus) and goldenrod (Solidago canadensis), among other species (Dole and Wilkins, 2005). According to Wachowicz and Carvalho (2002), in some species, increasing the number of stems promotes competition, which may lead to smaller flower size, as well as to a reduction in stem weight, diameter and length. These characteristics are important in the commercialization of cut-flowers where bloom quality as well as numbers determine profitability. In this study, harvests at 75 and 90 DAT, in three cultivation systems (Table 2), yielded stem fresh weights well above the “super category” (35 g) according to the standard quality classification proposed by Veiling (2011)1. Nevertheless, pruning to produce more than one stem per plant led to a decrease in stem length. Despite this, all stems fitted in the most commercialized categories for this species which include stems from 50 to 90 cm (Table 1 and Figure 1). Future market research should consider the economical aspect to define if it is more interesting for farmers to produce less but longer stems (i.e., with one stem cultivation system) or more but shorter stems (i.e., with two or three stem cultivation systems).
Nutrient accumulation curves are a way to monitor horticultural crop nutrient demand throughout the entire growth cycle, which has been mentioned as a useful parameter for fertilizer recommendation (Villas Bôas et al., 2008). Therefore, these curves enable to understand with greater reliability, the plant nutritional demand at each phonological stage. The use of these curves can reduce the risk of excessive fertilizer application, and, on the other hand, improve the provision of intakes according to the optimum required by the crop.
Nutrient accumulation is related to nutrient concentration and mobility, as well as dry weight production. It follows the trend of plant growth, and gradually increases during the life cycle (Figure 1). This pattern has been reported by Muniz et al. (2013) who observed increased accumulation of micronutrients in Solidago canadensis leaves throughout the crop life cycle. In this sense, while studying N accumulation in chrysanthemum (cv. White Puma) grown hydroponically, Zerche (1997) found that dry matter production is directly related to the accumulation of N.
Increasing stems per plant from one to three had no effect on total plant dry mass and macronutrient accumulation, however stem lengths tended to be shorter when plants were grown with more than one stem. This may suggest that, higher nutrient supplies might be required in order to obtain longer stems, when goldenrod plants are cultivated with more than one stem.
An increasing N demand was observed during the goldenrod life cycle (Figure 2) since this element is required in large amounts by plants. While studding dry matter production and N uptake in tulip (Tulipa gesneriana L.), Artacho-Vargas and Pinochet-Tejos (2008) found greater N accumulation in above-ground parts of the plants from shoot emergence to leaf expansion.
The growing P, K and Mg demand (Figures 3, 4 and 6) possibly occurred, because P participates in various metabolic plant processes (Vance et al., 2003), while K and Mg activate enzymes involved in respiration and photosynthesis (Taiz and Zeiger, 2013).
The demand of Ca is related to the importance of this nutrient in cell wall synthesis, in the mitotic spindle during cell division and in the stability of plant membranes (Sanders et al., 1999). The S accumulation observed in this experiment was similar to that observed in other ornamental plants such as aster (Camargo et al., 2005), chrysanthemum (Rocha et al., 2013) and gerbera (Ludwig and Fernandes, 2008). In other words, S content increased during the growth cycle (Figure 7).
Macronutrient absorption order found in golden- rod correlates with plant nutrient uptake, especially a high demand for K. This is not surprising since it is characteristic of the Asteraceae family, as reported in aster (Camargo et al., 2004) and chrysanthemum (Barbosa et al., 1999). High K demands have also been reported in other floriculture crops such as Eustoma grandiflorum (Backes et al., 2006), Cattleya walkeriana var. coerulea and Saintpaulia ionantha (Alvarez V. et al., 2014).
Plant nutrient concentrations vary depending on species, age, plant components and nutrition during the growth cycle. Macronutrient leaf concentrations of goldenrod plants were within the ranges2 established by Marschner (1995) as commonly found in plant leaves of most crops for optimal plant growth. Most of the concentration values verified during the crop lifecycle fell within the above referred to range. However, in some harvest dates, concentrations slightly above or below the range limits were found, then again neither toxicity nor nutritional deficiency was observed (Table 4).
After the end of vegetative growth (30 – 45 DAT), there was a reduction in leaf macronutrient concentrations, except for Mg (Table 4). This may reflect that nutrients were translocated from leaves and stems to the reproductive organs (Mengel and Kirkby, 1987). Similar nutrient patterns have been described in other ornamental plants such as Gypsophila paniculata L. cv. Perfecta (Medina et al., 1999) and Lilium spp. (Ortega- Blu et al., 2006).
5. Conclusion
Regardless of whether goldenrod plants were cultivated with one, two or three stems per plant, stem lengths and fresh weights always met commercial standards. Total plant dry weight was statistically the same in plants grown with one, two and three stems. Macronutrient accumulation also presented similar values, at each harvest date, indicating that nutrient demand was not modified by the number of stems per plant.
Only in few occasions leaf nutrient concentrations were significantly different among the three cultivation systems, reflecting the need for further research on nutrient rates, as well as nutrient solution application frequency.
Pruning goldenrod plants has no negative effects on the concentrations and accumulation of macronutrients, while allowing the production of a greater number of stems per plant without compromising the stem quality.
Referencias
Alvarez, V. H. A., Santos, A. F., Dos Santos, G. L. A. A., & Da Matta, P. M., (2014). Fertilization of ornamental plants: requirement-supply method. Revista Brasileira de Ciência do Solo, 38, 532-543.
Artacho Vargas, P., & Pinochet Tejos, D. (2008). Producción de materia seca y absorción de nitrógeno del cultivo de tulipán (Tulipa gesneriana L.). Agrociencia, 42, 37–45.
Backes, F. A., Barbosa, J. G., Sediyama, M. A. N., Martinez, H. E. P., Cecon, P. R., & Barbosa, M. S. (2006). Produção de lisianthus cultivado em vasos com diferentes soluções nutritivas e formas de condução. Horticultura Brasileira, 24, 6-10.
Barbosa, J. G. (1996). Cultivo hidropônico de craisântemo “Yellow Polaris” em argila expandida, para corte de flor. (Tesis doctoral), Universidade Federal do Rio Grande do Sul, Brasil.
Brickell, C. (1979). A poda. Enciclopédia de Práticas Agrícolas. Sociedade Real de Hortofruticultura.
Dole, J. M., & Wilkins, H. F. (2005). Floriculture: Principles and Species (2nd ed.). New Jersey: Pearson Prentice Hall.
FLORTEC. (2002). Produção de Flores de Corte. Holambra.
IBRAFLOR. (2000). Padrão Ibraflor de Qualidade. Brasil: Instituto Brasileiro de Floricultura. Recuperado de : http://www.ibraflor.com/p_qualidade.php
Jones, Jr. J. B., Wolf, B., & Mills, H. A. (1996). Plant Analysis Handbook II. Athens: Micro- Macro Publishing.
Lorenzi, H., & Moreira de Souza, H. (2008). Solidago canadensis L, in: Plantas Ornamentais no Brasil (pp. 615).
Marschner, H. (1995). Mineral nutrition of higher plants (2nd ed.). San Diego: Academic Press.
Medina, G. A., Orozco de A. M, Bolivar, J. L., & Ramírez, P. J. (1999). Acumulación y concentración de nitrógeno, fósforo y potasio en Gypsophila paniculata L. cv. Perfecta. Agronomía Colombiana, 16, 46–50.
Mengel, K., & Kirkby, E. A. (1987). Principles of plant nutrition (5nd ed.). Giessen: Springer- Verlag.
Muniz, M. A. (2004). Crescimento e desenvolvimento de crisântemo em resposta a relações nitrato/amônio.(Tesis maestría), Universidade Federal de Viçosa, Brasil.
Ortega Blu, R., Correa Benguria, M., & Olate Muñoz, E. (2006). Determinación de las curvas de acumulación de nutrientes en tres cultivares de Lilium spp. para flor de corte. Agrociencia, 40, 77–88.
Rodrigues, L. R. F. (2002). Cultivo pela técnica de hidroponia, in: Técnicas de Cultivo Hidropônico e de Controle Ambiental no Manejo de Pragas, Doenças e Nutrição Vegetal em Ambiente Protegido (pp. 726). Jaboticabal, SP: Funep.
Veiling. (2011). Critérios de padrão e qualidade. Ibraflor. Recuperado de http://www.veiling. com.br/qualidade.swf?fileName=Tango%20 Corte.swf
Villas Bôas, R. L., Loma, C. P., Backes, C., Kiihl, T. A., Oliveira, M. R., & Godoy, L. J. G. (2008). Exportação de macronutrientes pela grama Bermuda em função de doses de nitrogênio. Londrina, PR: FERTIBIO.
Wachowicz, C. M., & Carvalho, R. I. N. (2002). Fisiologia Vegetal: produção e pósolheita. Curitiba: Universitária Champagnat.
Walsh, L. M., & Beaton, J. D. (1973). Soil Testing and Plant Analysis. Madison: Soil Science Society of America, Inc.
Zerche, S. (1997). Nitrogen uptake and total dry mat- ter production of Cut chrysanthemum (Dendranthema grandiflorum hybrids) in relation to shoot height and planting date. Gartenbauwissenschaft, 62, 119–127.
Notas
Notas de autor
myumbla@uce.edu.ec


