Artículo original
Efecto de paclobutrazol y Glomus intraradices en el cultivo de Lilium cv. Armandale y Tresor
Effect of paclobutrazol and Glomus intraradices on the crop of Lilium cv. Armandale and Tresor
Efecto de paclobutrazol y Glomus intraradices en el cultivo de Lilium cv. Armandale y Tresor
Siembra, vol. 9, núm. 2, e3978, 2022
Universidad Central del Ecuador

Recepción: 09 Julio 2022
Revisado: 11 Agosto 2022
Corregido: 14 Octubre 2022
Aprobación: 22 Noviembre 2022
Financiamiento
Fuente: Los recursos para esta investigación fueron proporcionados por la Facultad de Estudios Superiores Iztacala, UNAM.
Resumen: Los reguladores de crecimiento vegetal se han utilizado para mejorar el aspecto visual de las ornamentales, y la aplicación de micorrizas para facilitar la absorción de fósforo. En esta investigación, se evaluó el efecto de tres concentraciones de paclobutrazol y un inóculo con esporas de Glomus intraradices enel crecimiento, floración y distribución de biomasa de Lilium cv. Armandale y Tresor, fertirrigados con solución nutritiva completa o deficiente de fósforo. Cuarenta y cinco bulbos de cada cultivar fueron sumergidos en soluciones con 0, 50 o 200 mg L-1 depaclobutrazoly plantados en macetas con 2,5 L de tezontle, a 15 bulbos se les espolvoreó 1 g del inóculo antes de su plantación. Los resultados mostraron que Lilium ‘Armandale’ fue más alto (59,13 cm) que ‘Tresor’ (47,80 cm). En ambos cultivares, paclobutrazol redujo la altura y los tipos de riego no afectaron esta variable. El número de hojas (89), diámetro (17,90 mm) y longitud (47,49 mm) de botones florales fueron similares en ‘Armandale’ y ‘Tresor’. El número y biomasa fresca de los botones florales fueron 1,3 y 2,5 veces mayores en ‘Tresor’ cuyos tallos florales fueron visualmente más llamativos. El fertirriego con solución nutritiva deficiente de fósforo en bulbos inoculados incrementó la biomasa seca de raíces, pero no la de tallos y hojas, es decir, el efecto positivo del inóculo ocurrió en el sitio de interacción hongo-planta.
Palabras clave: Glomus intraradices, deficiencia de fósforo, dosis de paclobutrazol, inóculo endomicorrízico, micorrizas en lilis.
Abstract: Plant growth regulators have been used to improve the visual appearance of ornamentals, and the application of mycorrhizae to facilitate phosphorus absorption. In this research, the effect of three concentrations of paclobutrazol and an inoculum with spores of Glomus intraradices on the growth, flowering, and biomass distribution of Lilium 'Armandale' and 'Tresor' was evaluated, together with complete fertilization or with a deficient phosphorus nutrient solution. Forty-five bulbs of each cultivar were submerged in solutions with 0, 50 or 200 mg L-1 of paclobutrazol and planted in pots with 2.5 L of tezontle. Another treatment consisted on 15 bulbs sprinkled with 1 g of the inoculum of G. intraradices before planting. The results showed that Lilium 'Armandale' produced taller plants (59.13 cm) than 'Tresor' (47.80 cm). In both cultivars, paclobutrazol reduced plant height while irrigation did not affect this variable. The number of leaves (89), and diameter (17.90 mm) and flower of bud length (47.49 mm) were similar in both 'Armandale' and 'Tresor'. The number and fresh biomass of flower buds were 1.3 and 2.5 times higher in 'Tresor' than in 'Armandale', with flower stems visually more striking. Bulbs inoculation of G. intraradices with a phosphorus-deficient nutrient solution, increased the dry biomass of roots, but not of the stems and leaves, showing that the positive effect of G. intraradices only occurred at the fungus-plant interaction site.
Keywords: Glomus intraradices, phosphorus deficiency, paclobutrazol dose, endomycorrhizal inoculum, mycorrhizae in lilis.
1. Introducción
Lilium (Liliaceae Juss) representa un género de plantas ornamentales conocidas como lilis, Lilium longiflorum Wall. Es la especie de la cual se han obtenido híbridos interespecíficos, tipo asiáticos y orientales. Debido a la fragancia y gama de colores de sus flores, el brillo de sus hojas y el vigor de sus tallos, estos híbridos son muy apreciados por los consumidores, quienes los adquieren como flores de corte o plantas de maceta (Bahr y Compton, 2004; García Velasco y Companioni González, 2018).
La exigencia de los consumidores por ornamentales cada vez más variadas y de mayor calidad, ha conllevado a que los productores utilicen técnicas de cultivo o compuestos químicos para cumplir estos requerimientos. En este sentido, los reguladores o retardantes de crecimiento vegetal resultan una opción viable para modificar la morfología y el aspecto visual de las ornamentales (Pal, 2019; Rademacher, 2015). Por ejemplo, el ácido giberélico se utiliza para incrementar la longitud de entrenudos, el número de los botones florales y para mejorar la intensidad de color en los pétalos o acelerar la floración (Gupta y Chakrabarty, 2013). Paclobutrazol (PBZ) es un retardante del crecimiento que inhibe la biosíntesis de giberelinas al evitar la oxidación del ácido ent-kaureno en ácido ent-kaurenoico, lo que conlleva a la disminución en la altura del tallo y cambios en el follaje (Rademacher, 2015; Taiz y Zeiger, 2010). Por ejemplo, en Lilium ‘Arcachon’, la aplicación en los bulbos de 0, 50, 100 o 200 mg L-1 de PBZ redujo la altura de los tallos florales de 85,33 a 16,12 cm, mientras que el número de botones por tallo floral se mantuvo en 5,9 y su peso fresco incrementó de 49,61 a 70,92 g (Torres-Pio et al., 2021). Esta combinación confirió a los tallos florales de Lilium un aspecto llamativo y la posibilidad de que algunos productores los puedan comercializar como plantas de maceta.
Por otro lado, la aplicación excesiva de fertilizantes químicos podría incrementar los costos de producción de las ornamentales y contaminar el suelo. El fertirriego con soluciones nutritivas balanceadas es una alternativa para reducir la lixiviación de sales, ya que contienen únicamente los elementos esenciales que se requieren para el crecimiento y desarrollo de los cultivos (Cadahía López, 2005). Otra opción amigable con el ambiente y que mejora la productividad de las cosechas es la bio-fertilización con hongos del género Glomus como Glomus fasciculatum o Glomus intraradices. La simbiosis entre estos hongos con las raíces de las ornamentales forma micorrizas arbusculares con una red de micelio que incrementa hasta cuarenta veces el área de absorción, lo que favorece el flujo de agua y elementos esenciales hacia la planta (Varshney et al., 2002; Xie et al., 2020). Con esta relación mutualista, ambos participantes se benefician de manera bidireccional, la planta transfiere carbono derivado de su actividad fotosintética y adquiere tolerancia contra el estrés hídrico, salino, térmico o deficiencias nutrimentales entre otras; mientras que el hongo favorece la absorción de elementos esenciales, como fósforo, nitrógeno y zinc (Begum et al., 2019; Jones y Smith, 2004; Smith y Smith, 2011).
La eficiencia en la absorción depende de la planta hospedera, del inóculo agregado y del elemento esencial. Por ejemplo, la aplicación de G. intraradices o G. mosseae en el cultivo de Rosa hybrida cv. Grand Gala no tuvo efecto en el peso seco (54,6 g planta-1), relación raíz/vástago (0,36) o en la concentración de fósforo foliar (2,4 mg g-1) comparado con las no micorrizadas (Garmendia y Mangas, 2012). Mientras que en Dianthus cariophyllus, la asociación con G. intraradices incrementa la altura de la planta, la concentración de elementos esenciales en las hojas y mejora la calidad del tallo floral (Navarro et al., 2012).
En Lilium, la aplicación de PBZ reduce la altura de la planta y mejora la apariencia visual del follaje, mientras que la inoculación con hongos del género Glomus podría mejorar la absorción de fósforo o nitrógeno y mitigar la contaminación por lixiviados en el suelo. Ambos productos han sido probados, con efectos positivos, para mejorar la tolerancia al frío en plántulas de Tectona grandis L.f. (Zhou et al., 2012), pero no han sido utilizados juntos en el género Lilium. Por ello, el objetivo de esta investigación fue evaluar el efecto de tres concentraciones de paclobutrazol y 1 g de inóculo endomicorrízico con 800 esporas de G. intraradices en el crecimiento, floración y distribución de biomasa de Lilium cv. Armandale y Tresor, fertirrigados con solución nutritiva completa o deficiente de fósforo.
2. Materiales y Métodos
El cultivo de Lilium asiático cv. Armandale y Tresor se realizó de septiembre a noviembre de 2020 en un invernadero de la Facultad de Estudios Superiores Iztacala, UNAM. Los bulbos calibre 14/16 fueron adquiridos en la empresa Flores de Bulbos Importados S.A. de C.V. Villa Guerrero, Estado de México y transportados al laboratorio, donde se lavaron con agua de la llave. Cuarenta y cinco bulbos de cada cultivar fueron sumergidos por 5 h en 10 L de paclobutrazol, PBZ (2RS,3RS)-1(4-chlorophenyl-4,4-dimethyl-2(1H1,2,4-triazol-1-yl)-pentan-3-ol, (Cultar® 23,42 %, Syngenta, Switzerland) preparado con agua destilada, a las concentraciones siguientes: 0, 50 y 200 mg L-1. Transcurrido el tiempo, los bulbos fueron extraídos de la solución, treinta de ellos se plantaron en grupos de tres, en diez macetas de plástico con 2,5 L de tezontle (≤ 5 mm) llevados a 100 % de humedad aprovechable con 600 mL de agua de la llave. A los 15 bulbos restantes se les espolvoreó en su base, 1 g de inóculo endomicorrízico con 800 esporas de G. intraradices (Myke. Pro-Hortalizas, 2022) antes de plantarse en cinco macetas más, de manera similar que los anteriores. Las unidades experimentales (maceta con 2,5 L de tezontle y tres bulbos de Lilium ‘Armandale’ o ‘Tresor’) se distribuyeron al azar en el interior del invernadero. Durante el cultivo, la intensidad luminosa promedio fue de 800 mmoles m-2 .-1 y la temperatura diurna fluctuó de 24 a 38 ºC. En las unidades experimentales, la humedad del sustrato se monitoreó con un tensiómetro Irrometer. Co, USA y se mantuvo entre 80 y 100 % con tres tipos de riego: a) Solución nutritiva Steiner completa (SNC), pH 6,0 y conductividad eléctrica, 2 dS m-1, b) solución nutritiva deficiente de fósforo (SN-P), pH 6,0; CE 2 dS m-1, y c) solución nutritiva deficiente de fósforo más 1 g de inóculo con G. intraradices (SN-P+GI) aplicado a los bulbos antes de la plantación. Para lavar el sustrato y evitar el exceso de sales, una vez por semana se regó con agua acidulada, pH 6,0. Diariamente se monitorearon las plantas para prevenir plagas o enfermedades.
Durante la fase vegetativa se evaluó:
En la fase de floración, 80 días después de la plantación (ddp) se evaluó:
Los resultados fueron procesados con estadística descriptiva y análisis de varianza de uno (altura de los tallos florales) o tres factores (factor 1, cultivares de Lilium; factor 2, dosis de paclobutrazol; factor 3, tipos de riego) con diseño experimental completamente al azar y pruebas de comparación de medias (Tukey, . ≤ 0,05) con Excel y el software SAS v. 9.0. para Windows.
3. Resultados y Discusión
3.1. Altura de los tallos florales
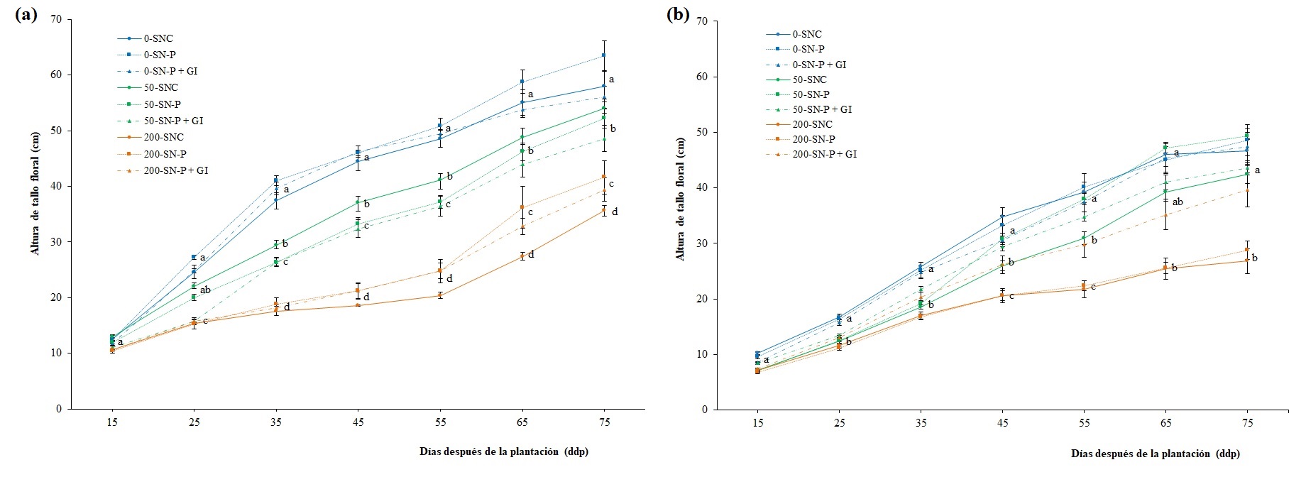
A partir del día 15 después de la plantación (ddp), los tallos florales de Lilium ‘Armandale’ fueron más altos que los de ‘Tresor’. Sin importar los tipos de riego, a los 75 ddp la atura promedio de Lilium ‘Armandale’ con 0 mg L-1 de PBZ fue de 59,1 cm y disminuyó a 51,6 o 38,9 cm por la aplicación de 50 o 200 mg L-1 del retardante. Mientras que los tallos florales de ‘Tresor’ tratados con 0 o 50 mg L-1 tuvieron similar altura (46,28 cm), pero con 200 mg L-1 de PBZ y fertirriego con solución nutritiva completa o deficiente de fósforo, la altura fue de 27,8 cm. El fertirriego con solución nutritiva deficiente de fósforo más 1 g de inóculo con G. intraradices promovió la altura de Lilium ‘Tresor’, en ‘Armandale’ los tipos de riego no tuvieron efecto en esta variable (Figura 1a y 1b).

Figure 1. Height of Lilium ‘Armandale’ (a) and ‘Tresor’ (b) cultivated with three concentrations of PBZ and three types of irrigation. SNC, complete nutrient solution; SN-P, no phosphorus; SN-P+GI, no phosphorus plus 1 g of inoculum with G. intraradices. Different letters at each evaluation time indicate significant differences (Tukey, p ≤ 0,05; n = 15).
La aplicación de PBZ inhibe la longitud de los entrenudos, por ejemplo, en Lilium ‘Ercolano’ la altura de los tallos florales disminuye de 64,4 a 44,4 cm y en ‘Royal Respect’ de 51,1 a 26,6 cm por sumergir los bulbos entre 15 y 20 min en 50 mg L-1 de paclobutrazol (Francescangeli et al., 2007). De manera similar, bulbos de Lilium ‘Arcachon’ sumergidos por 24 horas en 25 mg L-1 de PBZ provocan que, la altura de los tallos florales disminuya 75,4 % y que al aumentar la concentración a 50, 100 o 200 mg L-1 la disminución sea de 81,1 % comparado con los no tratados con PBZ cuya altura fue de 85,3 cm (Torres-Pio et al., 2021). Al parecer, la reducción en longitud de los tallos florales está relacionada con las características endógenas de cada cultivar. En esta investigación, con concentraciones de 50 o 200 mg L-1, la disminución en altura de Lilium ‘Armandale’ fue más acentuada que la de ‘Tresor’.
Con respecto a los tipos de riego, la solución nutritiva sin fósforo más 1 g de inóculo endomicorrízico (SN-P+GI) promovió la altura de los tallos florales de Lilium ‘Tresor’ tratados con 200 mg L-1 de PBZ. En ‘Armandale’ no tuvo ningún efecto, de manera similar a lo reportado por Varshney et al. (2002) y Rubí Arriaga et al. (2009), quienes asperjaron 100 g de inóculo con esporas de G. fasciculatum en bulbos de Lilium ‘Orange Pixie’ sin observar modificación alguna en la altura de la planta.
3.2. Número de hojas, diámetro, longitud y biomasa fresca de botones florales
El número de hojas (89), diámetro (17,90 mm) y longitud (47,49 mm) de los botones florales fueron similares en Lilium ‘Armandale’ y ‘Tresor’. Sin embargo, el número y biomasa fresca de los botones florales fue 1,3 y 2,5 veces mayor en ‘Tresor’ que en ‘Armandale’ que tuvo 3,1 botones florales con biomasa fresca de 8,83 g cada uno, es decir, este cultivar tuvo menor número de botones florales con menor biomasa fresca y visualmente más pequeños que ‘Tresor’. Con respecto a paclobutrazol, la aplicación de 50 o 200 mg L-1 provocó disminución en el número de hojas (de 107,4 a 85,9 o 73,6), incremento en el número de botones por tallo floral (de 2,72 a 3,68 o 4,21) y no tuvo efecto en su diámetro (17,91 mm), longitud (47,46 mm) o biomasa fresca (15,51 g). La aplicación de paclobutrazol disminuye el número de hojas, pero incrementa el número de botones florales sin modificar su diámetro, longitud o biomasa fresca, lo que confiere a los tallos florales de Lilium ‘Armandale’ o ‘Tresor’ un aspecto llamativo con posibilidad para ser comercializados como plantas de maceta. Resultados similares fueron reportados por Torres-Pio et al. (2021) en Lilium ‘Arcachon’.
Los tallos florales fertirrigados con solución nutritiva completa (SNC) o deficiente de fósforo (SN-P) tuvieron similar número de hojas (92,84) y botones florales (3,67), mientras que con solución deficiente de fósforo más 1 g de inóculo endomicorrízo (SN-P+GI) estos órganos disminuyeron a 81,28 y 3,27, respectivamente. El diámetro (17,91 mm), longitud (47,49 mm) o biomasa fresca (15,51 g) de los botones florales no fueron afectados por los tipos de riego (Tabla 1).
| Factores | Número de hojas | Botones florales | |||
| Número | Diámetro (mm) | Longitud (mm) | BF (g) | ||
| Lilium cv. | |||||
| ‘Armandale’ | 88,63 az | 3,12 b | 17,57 a | 48,68 a | 8,83 b |
| ‘Tresor’ | 89,33 a | 3,95 a | 18,24 a | 46,30 a | 22,20 a |
| DHS | 7,02 | 0,30 | 2,49 | 6,75 | 3,44 |
| PBZ (mg L-1) | |||||
| 0 | 107,44 a | 2,72 c | 18,88 a | 51,03 a | 13,32 a |
| 50 | 85,89 b | 3,68 b | 18,52 a | 46,68 a | 17,61 a |
| 200 | 73,61 c | 4,21 a | 16,33 a | 44,67 a | 15,60 a |
| DHS | 10.37 | 0,44 | 3,67 | 9,94 | 5,08 |
| Tipos de riego | |||||
| SNC | 91,61 ab | 3,50 ab | 16,83 a | 43,44 a | 14,90 a |
| SN-P | 94,06 a | 3,84 a | 19,48 a | 50,25 a | 14,24 a |
| SN-P+GI | 81,28 b | 3,27 b | 17,42 a | 48,78 a | 17,39 a |
| DHS | 10,37 | 0,44 | 3,66 | 9,94 | 5,08 |
| Interacciones | |||||
| (*p ≤ 0,05) à | cv.-PBZ* | PBZ-TR* | cv.-TR PBZ-TR* | PBZ-TR* | |
Table 1. Leaves and flower buds of Lilium 'Armandale' or 'Tresor' cultivated with three concentrations of paclobutrazol and three types of irrigation.
z Medias con letras iguales, en cada columna por factor, no son significativas (Tukey, p ≤ 0,05; n = 15). BF, biomasa fresca; DHS, diferencia honesta significativa; SNC, solución nutritiva completa; SN-P, sin fósforo; SN-P+GI, sin fósforo más 1 g de inóculo con G. intraradices.Las interacciones cultivares*dosis de PBZ (cv.-PBZ) y cultivares*tipos de riego (cv.-TR) fueron significativas para el número de hojas y longitud de botones florales. El análisis de las combinaciones mostró que Lilium ‘Tresor’ + 0 PBZ y ‘Armandale’ + 50 PBZ fueron las que mayor número de hojas produjeron: 114,7 y 10,2. El número de hojas disminuye conforme lo hace la altura de los tallos florales, por ejemplo, en Lilium ‘Arcachon’ cultivado con 0, 25, 50, 100 y 200 mg L-1de PBZ la altura fue de 85,3, 21,0, 15,5, 17,7 y 15,2 cm con 79,7, 46,0, 33,3, 35,5 y 29,3 hojas, respectivamente (Torres-Pio et al., 2021). Con respecto a los tipos de riego, los tallos de Lilium ‘Tresor’ fertirrigados con SN-P+GI fueron los que presentaron los botones florales más largos (53,41 mm), lo cual sugiere que para este cultivar, la aplicación de 1 g de inóculo endomicorrízico con 800 esporas de G. intraradices podría ser buena opción para mejorar el aspecto de los botones florales cuando en el riego hay deficiencia de fósforo. Xie et al. (2020) y Engel et al. (2016) mencionan que las micorrizas arbusculares pueden mejorar la absorción de fósforo o incrementar el número de flores en Calendula officinalis o Geranium. De manera similar que en Lilium ‘Tresor’, en Lilium ‘Orange Pixie’ la aplicación de 100 g de inóculo endomicorrízico con esporas de G. fasciculatum aumentó la longitud de los botones florales de 6,35 a 7,28 mm (Rubí Arriaga et al., 2009).
La interacción dosis de PBZ* tipos de riego (PBZ-TR) resultó significativa para el diámetro, longitud y biomasa fresca de los botones florales. Para esta última, las combinaciones PBZ (50 o 200 mg L-1) con SN-P+GI fueron las que mostraron los botones florales con mayor biomasa fresca (26,40 g) lo cual favoreció el efecto positivo de G. intraradices en la floración de Lilium. De manera similar, Cruz-Ruiz et al. (2021) mencionan que en gladiola ‘Borrega roja’, la aplicación de 5 g (73 esporas) de G. fasciculatum mejora la floración al incrementar de 10 a 13 el número de botones florales.
3.3. Aspecto visual de los tallos florales
Los productores de ornamentales con frecuencia utilizan reguladores de crecimiento para mejorar la apariencia visual de sus cosechas (Pal, 2019). El uso de paclobutrazol acorta la longitud de los tallos florales porque inhibe la síntesis de ácido giberélico, pero no afecta el número o tamaño de los botones florales lo cual los hace muy llamativos para los consumidores (Torres-Pio et al., 2021). En este trabajo, la aplicación de 50 o 200 mg L-1 de PBZ redujo la altura de los tallos florales de Lilium ‘Armandale’ o ‘Tresor’, mientras que el fertirriego con solución nutritiva sin fósforo, pero con G. intraradices en los bulbos incrementó visiblemente el diámetro de apertura floral en Lilium ‘Tresor’, lo que mejoró su aspecto visual comparado con ‘Armandale’ (Figura 2).

Figure 2. Visual aspect of Lilium 'Armandale' (A) and 'Tresor' (T) cultivated with three concentrations of paclobutrazol (PBZ) and three types of irrigation. SNC, complete nutrient solution; SN-P, no phosphorus; SN-P+GI, no phosphorus plus 1 g of inoculum with G. intraradices.
La aplicación de inóculos con hongos micorrízicos puede ser una opción para mejorar la apariencia visual de las ornamentales. Al respecto, Rubí Arriaga et al. (2012) mencionan que la inoculación de G. fasciculatum durante la plantación de Lilium ‘Showwinner’ incrementa el ancho de los pétalos, el diámetro y biomasa fresca de los botones florales, lo que de manera general mejora el aspecto visual de los tallos florales. Con respecto a G. intraradices, el efecto en Lilium puede depender de las características del cultivar, ya que en este experimento mejoró visiblemente la apariencia de Lilium ‘Tresor’ pero no la de ‘Armandale’.
3.4. Distribución de biomasa seca de raíces, bulbos, tallos, hojas y botones florales
La biomasa seca de raíces (0,60 g en promedio), bulbos (1,56 g) y hojas (1,74 g) fue similar en Lilium ‘Armandale’ y ‘Tresor’, mientras que la de tallos y botones florales fue 1,2 y 2,4 veces mayor en ‘Tresor’ que en ‘Armandale’. Por la aplicación de 50 o 200 mg L-1 de PBZ, la biomasa seca de raíces disminuyó 35,5 % con respecto al control (0,79 g), la de tallos (3,03, 2,20 y 1,56 g) y hojas (2,40, 1,65 y 1,16 g) lo hizo conforme se incrementó la concentracion del retardante (0, 50 y 200 mg L-1). La biomasa seca de los bulbos (1,56 g) y los botones florales (1,49 g) no fue afectada por las dosis de PBZ aplicadas. Los tipos de riego no afectaron la biomasa seca de bulbos (1,56 g) o botones florales (1,49 g), mientras que la de tallos y hojas disminuyó 13 % con SN-P+GI. Los tallos florales fertirrigados con SNC o SN-P+GI tuvieron similar biomasa seca de raíces (0,68 g), la cual fue significativamente mayor que la de los fertirrigados con SN-P (0,46 g). Esto sugiere que, la aplicación de 1 g de inóculo endomicorrízico con 800 esporas de G. intraradices amortiguó los efectos de la deficiencia de fósforo en la solución nutritiva (Tabla 2).
| Factores | Biomasa seca (g) | ||||
| Raíces | Bulbos | Tallo | Hojas | Botones florales | |
| LiliumCV. | |||||
| ‘Armandale’ | 0,68 az | 1,70 a | 2,03 b | 1,84 a | 0,87 b |
| ‘Tresor’ | 0,52 a | 1,42 a | 2,50 a | 1,64 a | 2,10 a |
| DHS | 0,16 | 0,43 | 0,24 | 0,28 | 0,21 |
| PBZ (mg L-1) | |||||
| 0 | 0,79 a | 1,59 a | 3,03 a | 2,40 a | 1,35 a |
| 50 | 0,52 b | 1,63 a | 2,20 b | 1,65 b | 1,65 a |
| 200 | 0,50 b | 1,47 a | 1,56 c | 1,16 c | 1,46 a |
| DHS | 0,23 | 0,64 | 0,36 | 0,41 | 0,32 |
| Tipos de riego | |||||
| SNC | 0,79 a | 1,70 a | 2,42 a | 2,01 a | 1,45 a |
| SN-P | 0,46 b | 1,67 a | 2,31 ab | 1,62 ab | 1,41 a |
| SN-P+GI | 0,57 ab | 1,32 a | 2,06 b | 1,58 b | 1,60 a |
| DHS | 0,23 | 0,64 | 0,36 | 0,41 | 0,32 |
| Interacciones | |||||
| (*p ≤ 0.05) à | PBZ-TR* | CV-TR PBZ-TR* | CV-PBZ TR-PBZ* | ||
Table 2. Distribution of dry biomass in Lilium 'Armandale' and 'Tresor' cultivated with three concentrations of paclobutrazol and three types of irrigation.
z Medias con letras iguales, en cada columna por factor, no son significativas (Tukey, p ≤ 0,05; n = 15). DHS, diferencia honesta significativa; SNC, solución nutritiva completa; SN-P, sin fósforo; SN-P+GI, sin fósforo más 1 g de inóculo con G. intraradices.Las interacciones cultivares*dosis de PBZ (cv.-PBZ) y cultivares*tipos de riego (cv.-TR) fueron significativas para biomasa seca de botones florales y tallos respectivamente. Para ambas interacciones, Lilium ‘Tresor’ tuvo los botones florales (2,10 g) y tallos (2,50 g) con mayor biomasa seca comparado con los de ‘Armandale’ (0,87 y 2,03 g, respectivamente). Esto corrobora que las diferencias en biomasa seca se deben al efecto de cultivar y no a la aplicación de PBZ o tipos de riego.
Con respecto a la interacción dosis de PBZ*tipos de riego (PBZ-TR), los tallos florales con 0 mg L-1 de PBZ y SNC tuvieron la mayor biomasa seca de raíces (1,38 g), comparado con las combinaciones de los otros tratamientos cuyas raíces secas pesaron en promedio 0,51 g.
Con la interacción significativa cultivares*dosis de PBZ*tipos de riego (cv.-PBZ-TR) se corroboró que la biomasa seca de raíces fue mayor en los tallos florales de Lilium ‘Armandale’ fertirrigados con solución nutritiva completa, mientras que la de los botones florales lo fue en Lilium ‘Tresor’ con cualquier concentración de PBZ y solución nutritiva deficente de fósforo más 1 g de inóculo endomicorrízico con 800 esporas de G. intraradices.
En Lilium ‘Arcachon’ la aplicación de 25, 50, 100 y 200 mg L-1 de PBZ incrementa, de manera directa, la biomasa fresca de los botones florales (Torres-Pio et al., 2021), misma que podría manterse con su biomasa seca. En Lilium ‘Orange Pixie’ se observó respuesta similar con la aplicación de 100 g de inóculo endomicorrízico conteniendo esporas de G. fasciculatum, es decir, la biomasa seca de los botones florales aumentó de 7,71 a 11,29 g (Rubí Arriaga et al., 2009).
4. Conclusiones
Los tallos de Lilium ‘Armandale’ tienen mayor altura y menor biomasa que los de ‘Tresor’. La aplicación de 50 o 200 mg L-1 de paclobutrazol en los bulbos de Lilium ‘Armandale’ o ‘Tresor’ disminuye la altura de los tallos florales y la biomasa seca de raíces, tallos y hojas, pero incrementa el número de botones florales y los hace más llamativos como plantas de maceta.
En Lilium ‘Armandale’ o ‘Tresor’ los tipos de riego no tuvieron efecto en la altura de la planta y el diámetro de los botones florales. Sin embargo, el fertirriego con solución nutritiva deficiente de fósforo adicionada con 1 g del inóculo endomicorrízico (Myke. Pro-hortalizas) incrementa la biomasa fresca y mantiene la longitud de los botones florales de Lilium ´Tresor’. En Lilium ‘Armandale’, la longitud de los botones florales se incrementa sin importar el tipo de riego, pero son mas delgados y tienen menor biomasa que los de ‘Tresor’.
En Lilium ´Tresor’, la aplicación de 1 g del inóculo endomicorrízico con 800 esporas de G. intraradices en los bulbos, abate los efectos de la deficiencia de fósforo en la solución nutritiva y mejora el aspecto visual de los tallos florales haciéndolos más llamativos que los de Lilium ‘Armandale’. El fertirriego con solución nutritiva deficiente de fósforo adicionada con 1 g de inóculo endomicorrízico favoreció el incremento de biomasa seca de raíces, pero no la de tallos y hojas, es decir, el efecto positivo del inóculo es localizado en el sitio de interacción hongo-planta.
Contribuciones de los autores
Lizeth Gabriela Rios-Florida: Conceptualización, investigación, metodología, redacción - borrador original.
Gumercindo Honorato De La Cruz-Guzmán: Conceptualización, investigación, análisis formal, administración del proyecto, redacción -revisión y edición.
Alberto Arriaga-Frías: Validación, supervisión, validación, redacción -revisión y edición.
Manuel Mandujano-Piña: Validación, redacción - revisión y edición.
Agradecimientos
Los recursos para esta investigación fueron proporcionados por la Facultad de Estudios Superiores Iztacala, UNAM.
Referencias
Bahr, L. R., y Compton, M. E. (2004). Competence for in vitro bulblet regeneration among eight Lilium genotypes. HortScience, 39(1), 127-129. https://doi.org/10.21273/HORTSCI.39.1.127
Begum, N., Qin, C., Ahanger, M. A., Raza, S., Khan, M. I., Ashraf, M., Ahmed, N., y Zhang, L. (2019). Role of arbuscular mycorrhizal fungi in plant growth regulation: implications in abiotic stress tolerance. Frontiers in Plant Science, 10, 1068. https://doi.org/10.3389/fpls.2019.01068
Cadahía López, C. (2005). Fertirrigación: cultivos hortícolas, frutales y ornamentales (3. ed.). Ediciones Mundi-Prensa.
Cruz-Ruiz, E., Cruz-Ruiz, A., Serrato-Cuevas, R., y Rubí-Arriaga, M. (2021). Respuesta de la gladiola a la aplicación de biofertilizantes y abono orgánico. Revista internacional de contaminación ambiental, 37, 345-355. https://doi.org/10.20937/RICA.53719
Engel, R., Szabo, K., Abranko, L., Rendes, K., Fuzy, A., y Takacs, T. (2016). Effect of arbuscular mycorrhizal fungi on the growth and polyphenol profile of marjoram, lemon balm, and marigold. Journal of Agricultural and Food Chemistry, 64(19), 3733-3742. https://doi.org/10.1021/acs.jafc.6b00408
Francescangeli, N., Marinangeli, P., y Curvetto, N. (2007). Short communication. Paclobutrazol for height control of two Lilium L.A. hybrids grown in pots. Spanish Journal of Agricultural Research, 5(3), 425-430. http://dx.doi.org/10.5424/sjar/2007053-266
García Velasco, R., y Companioni González, B. (2018). Lilium: situación actual en México. Revista TECSISTECATL, (23). https://www.eumed.net/rev/tecsistecatl/n23/lilium.html
Garmendia, I., y Mangas, V. J. (2012). Application of arbuscular mycorrhizal fungi on the production of cut flower roses under commercial-like conditions. Spanish Journal of Agricultural Research, 10(1), 166-174. http://dx.doi.org/10.5424/sjar/2012101-156-11
Gupta, R., y Chakrabarty, S. K. (2013). Gibberellic acid in plant. Still: a mystery unresolved. Plant Signaling & Behavior, 8(9), e25504. https://doi.org/10.4161/psb.25504
Jones, M. D., y Smith, S. E. (2004). Exploring functional definitions of mycorrhizas: are mycorrhizas always mutualisms?. Canadian Journal of Botany, 82(8), 1089-1109. https://doi.org/10.1139/b04-110
Myke® Pro-Hortalizas. (2022). Inoculante micorrízico. http://www.mykepro.com/mykepro-product-mycorrhizae/myke-pro-greenhouse-wp.aspx
Navarro, A., Elia, A., Conversa, G., Campi, P., y Maetrorilli, M. (2012). Potted mycorrhizal carnation plants and saline stress: growth, quality and nutritional plant responses. Scientia Horticulturae, 140, 131-139. https://doi.org/10.1016/j.scienta.2012.03.016
Pal, S. L. (2019). Role of plant growth regulators in floriculture: an overview. Journal of Pharmacognosy and Phytochemistry, 8(3), 789-796. https://www.phytojournal.com/archives?year=2019&vol=8&issue=3&ArticleId=8189
Rademacher, W. (2015). Plant growth regulators: Backgrounds and uses in plant production. Journal of Plant Growth Regulation, 34(4), 845-872. https://doi.org/10.1007/s00344-015-9541-6
Rubí Arriaga, M., González Huerta, A., Olalde Portugal, V., Reyes Reyes, B. G., Castillo González, A. M., Pérez López, D. de J., y Aguilera Gómez, L. I. (2012). Contribución de fósforo al mejoramiento de calidad en Lilium y la relación con Glomus fasciculatum y Bacillussubtilis. Revista Mexicana de Ciencias Agrícolas, 3(1), 125-139. https://doi.org/10.29312/remexca.v3i1.1486
Rubí Arriaga, M., Olalde Portugal, V., Reyes Reyes, B. G., González Huerta, A., y Aguilera Gómez, L. I. (2009). Influencia de Glomus fasciculatum en el crecimiento y desarrollo de Lilium sp. cv. Orange Pixie. Agricultura técnica en México, 35(2),201-210. https://www.redalyc.org/articulo.oa?id=60812688007
Smith, S. E., y Smith, F. A. (2011). Roles of arbuscular mycorrhizas in plant nutrition and growth: New paradigms from cellular to ecosystem scales. Annual Review of Plant Biology, 62, 227-250. https://doi.org/10.1146/annurev-arplant-042110-103846
Syngenta. Cultar ® 25SC. (2022). Paclobutrazol, regulador de crecimiento. https://www.syngenta.com.mx/product/crop-protection/regulador-de-crecimiento/cultarr-25-sc
Taiz, L., y Zeiger, E. (2010). Plant physiology (5th ed.). Sinauer Associates Inc. Publishers.
Torres-Pio, K., De La Cruz-Guzmán, G. H., Arévalo-Galarza, M. L., Aguilar-Rodríguez, S., Grego-Valencia, D., Arriaga-Frías, A., y Mandujano-Piña, M. (2021). Morphological and anatomical changes in Lilium cv. Arcachon in response to plant growth regulators. Horticulture, Environment and Biotechnology, 62, 325-335. https://doi.org/10.1007/s13580-020-00319-6
Varshney, A., Sharma, M. P., Adholeya, A., Dhawan, V., y Srivastava, P. S. (2002). Enhanced growth of micropropagated bulblets of Lilium sp. inoculated with arbuscular mycorrhizal fungi at different P fertility levels in an alfisol. The journal of horticultural science and biotechnology, 77(3), 258-263. https://doi.org/10.1080/14620316.2002.11511489
Xie, M. -M, Wang, Y., Li, Q. S., Kuča, K., y Wu, Q. -S. (2020). A friendly-environmental strategy: application of arbuscular mycorrhizal fungi to ornamental plants for plant growth and garden landscape. Notulae Botanicae Horti Agrobotanici Cluj-Napoca, 48(3), 1100-1115. https://doi.org/10.15835/nbha48312055
Zhou, Z., Ma, H., Liang, K., Huang, G., y Pinyopusarerk, K. (2012). Improved tolerance of teak (Tectona grandis L.f.) seedlings to low-temperature stress by the combined effect of arbuscular mycorrhiza and paclobutrazol. Journal of Plant Growth Regulation, 31, 427-435. https://doi.org/10.1007/s00344-011-9252-6
Notas de autor
moashi@unam.mx
Información adicional
e-location: e3978