Artículo original
Evaluación de diferentes tipos de controles de roya (Hemileia vastatrix Berk. & Broome) y pestalotiopsis (Pestalotia sp.), en el cultivo de la fruta milagrosa (Synsepalum dulcificum ADC)
Evaluation of different types of rust controls (Hemileia vastatrix Berk. & Broome) and pestalotiopsis (Pestalotia sp.), in the cultivation of miracle fruit (Synsepalum dulcificum ADC)
Evaluación de diferentes tipos de controles de roya (Hemileia vastatrix Berk. & Broome) y pestalotiopsis (Pestalotia sp.), en el cultivo de la fruta milagrosa (Synsepalum dulcificum ADC)
Siembra, vol. 9, núm. 2, e4007, 2022
Universidad Central del Ecuador

Recepción: 02 Agosto 2022
Revisado: 14 Septiembre 2022
Corregido: 01 Noviembre 2022
Aprobación: 14 Noviembre 2022
Resumen: En el Ecuador, la tendencia de la producción de frutas no tradicionales se incrementa anualmente en un 4%. La fruta milagrosa (Synsepalum dulcificum. se ha convertido en una excelente opción al momento de incursionar en la explotación de frutas no tradicionales para edulcorantes naturales. Sin embargo, esta planta es susceptible a enfermedades como la roya (Hemileia vastatrix. y pestalotiopsis (Pestalotia sp., afectando el área foliar y los frutos, los procesos metabólicos y el desarrollo fotosintético. Por otra parte, el silicio en las plantas evita la infección de patógenos, y en este caso podría utilizarse para el control de la roya. En este estudio se evaluó el manejo de roya y pestalotiopsis en el cultivo de la fruta milagrosa. Se evaluaron los siguientes tratamientos: 1) aplicaciones de silicio al suelo, 2) aplicaciones foliares de silicio, 3) control químico, 4) control biológico, y 5) testigo sin aplicación. Las variables evaluadas fueron: a) incidencia de roya y pestalotiopsis en hojas; b) incidencia de roya y pestalotiopsis en frutos; c) calidad del fruto (porcentaje de frutos sanos y de buena calidad); y d) rendimiento del cultivo. La incidencia de roya y pestalotiopsis en hojas y frutos fue menor en el control químico, y fue el mejor tratamiento para el control de estas enfermedades, con una incidencia menor a 2%. Adicionalmente, hubo una relación directa y positiva entre el control químico y la calidad de la fruta, ya que no existieron frutos dañados en dicho tratamiento, y el rendimiento llego a 202 kg ha-1 año-1 de fruta milagrosa.
Palabras clave: frutas no tradicionales, calidad del fruto, incidencia de enfermedades, problemas fitosanitarios, rendimiento del cultivo.
Abstract: In Ecuador, production of non-traditional fruits increases annually in 4%. The miraculous fruit (Synsepalum dulcificum.has become an excellent option as a non-traditional natural sweetener. However, this plant is susceptible to diseases such as rust (Hemileia vastatrix) and pestalotiopsis (Pestalotia sp., which affect the leaf area decreasing metabolic processes and the photosynthetic development. Silicon in plants affects pathogen infection and can contribute in this crop with rust and pestalotiosis control. In this study, different treatments were evaluated for rust and pestalotiosis control: 1) soil silicon application, 2) foliar silicon application, 3) chemical control, 4) biological control and 5) the control without any treatment. Variables evaluated were: a) incidence of rust and pestalotiopsis on leaves, b) incidence of rust and pestalotiopsis on fruits; c) fruit quality (healthy and fruits with high quality); and d) yield of fruits. Incidence of rust and pestalotiopsis on leaves and fruits were lower with the chemical control, reducing the diseases incidence to less than 2%. In addition, a positive relationship was obtained between the chemical control and fruit quality, since no damage were observed were observed, and the yield reached 202 kg ha-1 year-1 of miraculous fruits.
Keywords: non-traditional fruits, fruit quality, disease incidence, phytosanitary problems, crop yield.
1. Introducción
Las frutas tropicales no tradicionales, dentro del ámbito alimenticio, se han establecido como los productos vegetales con mayor valor tanto económico como nutritivo. En el año 2017 alcanzaron ventas cercanas a los 10 millones de dólares (USD), lo que correspondió a una producción de 7 millones de toneladas de fruta exportada (Altendorf, 2017).
Según el Banco Central del Ecuador (2021), en Ecuador se estima que las exportaciones de frutas no tradicionales en la actualidad tienden a incrementarse en un promedio anual de 5 %, como se ha logrado evidenciar en los años 2019 y 2020; a la vez, se conoce que, en este último año, dichas exportaciones han generado un monto aproximado de 182,4 millones de dólares (USD). Una de las principales opciones en cuanto a la producción de frutos no tradicionales, destinados a la exportación debido a su aceptación en el área alimenticia y medicinal, es la fruta milagrosa (Synsepalum dulcificum, ADC), conocida en el siglo XVII luego de una excursión al África occidental, donde se vio que las personas que pertenecían a las tribus locales, masticaban sus frutos antes de alimentarse (Tapia Alarcón, 2014). Esta fruta tiene la facultad de generar un sabor dulce en los alimentos consumidos al activar un grupo de papilas gustativas que generan un cambio en los sabores de ácido o amargo a dulce y agradable (Misaka, 2013), como consecuencia directa de la presencia de una glicoproteína, conocida como miraculina (Duhita et al., 2011), proteína que actúa con ayuda de sus principales sustancias nutricionales, constituidas por hidratos de carbono, vitamina A, vitamina C y compuestos fenólicos concentrados, en las siguientes proporciones 22,5; 37,3; 40,1 y 625,57 g 100 g-1 de peso fresco, respectivamente (Martínez Nicolás et al., 2016).
Los compuestos fenólicos, encontrados en la fruta milagrosa (flavonoides y antocianinas), actúan como un antioxidante e influye sobre las características organolépticas, sabor y color de los alimentos. Además, se considera como un compuesto con propiedades medicinales, utilizándose como antiinflamatorio, antioxidante, hepatoprotector e incluso para combatir la diabetes tipo II, entre otros beneficios (lnglett y Chen, 2011; Chen et al., 2006lnglett y Chen, 2011; ).
Según Koizumi et al. (2011), el efecto de la fruta milagrosa puede mantenerse activo en un lapso de una hora, por lo cual se han desarrollado diversas investigaciones para identificar qué parte de la planta resulta ser más beneficiosa. Al momento de buscar intensificar su producción, He et al. (2016) mencionan que dicha fruta mantiene una relación de 1:0,32 g de fruta miraculina-1, mientras que la hoja conserva una proporción de 2:0,21 g de hoja miraculina-1, razón por la cual, en Japón, en la actualidad, se están llevando a cabo diversas investigaciones, destinadas a obtener una producción de forma industrial, con ayuda de la generación de plantas transgénicas de la fruta milagrosa (Kato et al., 2011).
Cabe considerar que el cultivo de la fruta milagrosa en Japón, Estados Unidos y países europeos, han logrado alcanzar rendimientos aproximados de 500 kilogramos hectárea-1 (kg ha-1) en cada cosecha (Todd, 2005), en Ecuador no existen datos científicamente reportados, sobre el rendimiento del cultivo en mención, sin embargo, hay empresas agroproductoras que se dedican a producir cultivos no tradicionales, como es el caso de la S. dulcificum, destinada al ámbito agroindustrial alimenticio, para elaborar pastillas masticables que actúan como un edulcorante natural y amigable para la salud (López Pasquel, 2016).
Al ser la fruta milagrosa un cultivo no tradicional, no existen estudios que caractericen detalles de su manejo, principalmente en lo referente a plagas y enfermedades que afecten al cultivo (Tchokponhoué et al., 2018). No obstante, al pertenecer a la familia de las Sapoteceae, se considera que la roya (Hemileia vastatrix Berk. & Broome) es una de las principales enfermedades, dentro de los problemas sanitarios del cultivo (Crane y Balerdi, 2006). Se conoce que esta enfermedad ocasiona problemas en las hojas y frutos, siendo uno de sus efectos principales la defoliación prematura de las mismas, lo que repercute en la disminución de sus procesos metabólicos como la capacidad de realizar una fotosíntesis, que permita generar altos rendimientos productivos (Buriticá Céspedes, 2010; Campos-Almengor et al., 2014). Asimismo, Ramírez-Rodríguez et al. (2020) mencionan que la roya puede ocasionar una disminución de hojas en la planta de hasta el 50 %, mientras que en los rendimientos ha logrado minimizar hasta el 30 % de su producción (Bonilla, 2018), tomando como referencia el cultivo de café.
Por otra parte, según Godoy Sosa (2018) la Pestalotia sp., es el agente causal de la enfermedad conocida como pestalotiopsis, la cual provoca necrosis en las hojas, específicamente en el haz de la hoja y pudrición en la zona basal, lo que puede afectar hasta un 100 % del cultivo, por lo que se ha establecido como una enfermedad devastadora (Van Hemelrijck et al., 2017).
Las antes mencionadas enfermedades, al ser causadas por hongos fitopatógenos, pueden ser controladas mediante el uso de diversos compuestos químicos, orgánicos e incluso se puede realizar controles biológicos de manera preventiva (Hernández-Martínez y Velázquez-Premio, 2016). Sin embargo, los más utilizados por los agricultores son los químicos (Romero Gurdián, 2010), debido a su fácil accesibilidad en el mercado, sin considerar que estos tienden a causar daños al medio ambiente por su toxicidad y residualidad (Gonza Carnero et al., 2013).
Asimismo, estudios realizados sobre el silicio (Si) en las plantas, han demostrado sus efectos favorables (resistencia a insectos y plagas) en cuanto a problemas fitosanitarios, principalmente en el control de la roya, ya que la presencia de este elemento químico induce resistencia en las plantas, sobre el ataque de algunas especies de insectos y patógenos, debido a su forma de actuar, generando una barrera mecánica mediante la acumulación de este (Castellanos González et al., 2015). En la presente investigación, se evaluó el manejo de roya y pestalotiopsis en el cultivo de la fruta milagrosa (Synsepalum dulcificum ADC).
2. Materiales y Métodos
El estudio se realizó en la vía Santo Domingo-Esmeraldas, km 111, coordenadas 0º11'17,79" N y 79º23'25,24" O, en la quinta Zoila Aurora, perteneciente al recinto El Limón, ubicado en la parroquia rural La Unión, del cantón Quinindé, dentro de la provincia de Esmeraldas (Figura 1) durante el período junio-noviembre del 2018 (época seca). La mencionada propiedad se encuentra a 145 metros sobre el nivel del mar (m s.n.m.), con una temperatura promedio de 25 ºC, una humedad relativa (HR) del 75 % y pH del suelo de 6,6 a 7,4 (Gobierno Autónomo Descentralizado Municipal del Cantón Esmeraldas [GADMCE], 2019).
Figure 1. Location map of miraculous fruit study.
El cultivo con el que se trabajó tuvo una edad promedio de 19 años; el área de estudio en donde se llevó a cabo la plantación presenta una topografía plana, cuyas plantas mantuvieron su distanciamiento de siembra de 1,8 m entre hileras y 1,1 m entre plantas, lo que produjo una densidad poblacional de 5.050 plantas hectárea-1; el área total de siembra fue 1.085 m., en donde se ubicaron 547 plantas destinadas al ensayo mencionado. El cultivo se llevó a cabo mediante la ejecución de labores culturales que abarcaron: poda, remoción de frutos enfermos, limpieza de corona, fertilización (cinco aplicaciones referentes a los tratamientos), control de malezas de forma manual con una frecuencia de 21 a 30 días, según el manejo de frutales recomendado por Todd (2005). Cabe considerar que el agua utilizada en el manejo del cultivo, para asegurar su calidad, fue extraída de una fuente natural, cuyo pH fue 6,98, que es considerado de óptima calidad para el uso de riego en los cultivos (Valles-Aragón et al., 2017).
Con el fin de proporcionar una fertilización y cuidado fitosanitario adecuado en toda la plantación, se realizó un análisis edáfico, tomando en consideración principalmente su contenido de silicio (Si) (laboratorio Agrarprojekt Consultancy & Laboratory Services, bajo las normas de calidad ISO 19000). Posteriormente, se elaboró un plan de fertilización (se trabajó con los requerimientos nutricionales del cultivo de café (Bedoya Cardoso y Salazar Moreno, 2014), debido a su similitud fisiológica y la falta de información por parte del cultivo de la fruta milagrosa), tomando en consideración los nutrientes presentes en la planta y en el suelo (Tabla 1), para lo cual se aplicó una mezcla de 50 kg de N=20 - P=20 - K=20 + 150 kg de nitrato de amonio por ha, mediante la dosis de 40 g planta-1 para brindar a todas las plantas las mejores condiciones agronómicas; a su vez, se analizó el contenido foliar de Si, al iniciar (11,0 mg kg-1) y finalizar el ensayo (42,8 mg kg-1 = silicio foliar y 47,6 mg kg-1 = químico, solo se tomaron en consideración los tratamientos más representativos), para comparar su estado nutricional actual o final, específicamente enfocados en la concentración de Si.
| Elemento | kg ha-1 | |||||
| Contenido del suelo | Requerimiento del cultivo (café-referencia) | Primera aplicación | Segunda aplicación | |||
| Nitrógeno (N) | 23 | 120 | 61 | 36 | ||
| Fósforo (P) | 16,4 | 30 | 10 | 3,6 | ||
| Potasio (K) | 138 | 150 | 10 | 2 | ||
| Magnesio (Mg) | 145 | 30 | ||||
| Azufre (S) | 9,4 | 20 | ||||
Table 1. Data for crop fertilization.
Para la investigación se usó un diseño de bloques completamente al azar (DBCA), conformado por cinco tratamientos: .) testigo (no se realizó ningún tipo de control fitosanitario); ii) aplicaciones de silicio edáfico 45 g planta-1 (45 % SiO. + 25 % MgO + 20 % S); iii) aplicaciones de silicio foliar 5 cc L-1 = SiO., 25,5 %, fósforo asimilable = P.O. 20%, potasio soluble en agua = K.O 8 %, calcio = CaO 1,5 %, Mg = MgO 8%, cobre= Cu 0,05 %, zinc = Zn 0,2 %; iv) control químico 1 cc L-1 (20 g L-1 de azoxistrobina + 12,5 g L-1 de difeconazole, gluconato de cobre 8 %, mancozeb 80 %), a más de incluir un adherente Agrotin® 0,5 cc L-1; v) control biológico compuesto por un coctel de microorganismos 5 cc L-1 (cepas de Trichoderma sp., Bacillus subtilis, Pseudomonas sp., Rizobium sp., bajo una concentración de 2x10. ml-1 cada uno) a más de un extracto de algas marinas de Ascophyllum nodosum 3 %, ácidos fúlvicos derivados de leonardita 10 % p/p y ácidos húmicos derivados de leonardita 5 % p/p. Cada tratamiento tuvo cuatro repeticiones, por lo que se trabajó con 20 unidades experimentales.
Para fines de evaluación se seleccionaron 40 plantas por cada tratamiento (al ser cinco tratamientos, se evaluaron un total de 200 plantas en todo el ensayo), las cuales fueron seleccionadas de manera aleatoria dentro de cada unidad experimental (Gabriel et al., 2017), y además debidamente identificadas, según su tipo de tratamiento y repetición. Posteriormente se evaluaron las siguientes variables: a) incidencia (número de hojas enfermas por total de hojas x 100) de roya y Pestalotia sp., en las hojas (100 hojas por tratamiento, pertenecientes a la parte media de la planta); b) incidencia (número de frutos enfermos por total de frutos x 100) de roya y pestalotiopsis en los frutos; c) calidad del fruto considerando los frutos sanos y enfermos, y d) rendimiento del cultivo (en las variables b, c y d, se trabajó con 100 frutos por tratamiento, seleccionados de forma aleatoria).
La incidencia de roya y pestalotiopsis se evaluó cada 15 días utilizando la escala de incidencia en hojas y frutos indicada por el Centro Internacional de Mejoramiento de Maíz y Trigo (CIMMYT, 1995). Se realizó una modificación de las escalas destinadas a calificar enfermedades foliares propuestas por el CIMMYT, donde se clasifica según el porcentaje de infección y se ubica el resultado dentro de la escala de incidencia (0-30 % = baja; 31-40 % = media baja; 41-60 % = media; 61-80 % = media alta; 81-100 % = alta). La calidad de los frutos fue evaluada con la escala de Lavilla e Ivancovich (2016), en donde se clasificó considerando la sintomatología externa presente, brindándole su valor correspondiente como: fruto sano = 0, hidrosis = 1, tumefacción y/o amarillento = 2, manchas pardas = 3, micelio que cubre hasta la cuarta parte de la mancha parda = 4, micelio que cubre más de la cuarta parte de la mancha parda = 5. Adicionalmente, se evaluó el rendimiento del cultivo, en donde se contabilizó el número de frutos por planta y se proyectó a los valores correspondiente de producción por hectárea.
3. Resultados y Discusión
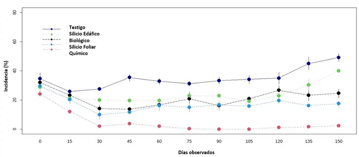
Al analizar la información de la incidencia de roya y pestalotiopsis, en las hojas de S. dulcificum, los resultados obtenidos indican que existe un avance de dicha incidencia conforme se incrementan los días de observación, como se muestra en la Figura 2. En este caso, el tratamiento considerado testigo conserva alrededor del 50 % de la incidencia de las enfermedades mencionadas. Según la valoración de García Rosales (2013), con este resultado se afirma que las hojas poseen una incidencia media, la cual puede tener un incremento progresivo, esto como consecuencia de no existir ningún tipo de acción dedicada a mitigar la presencia de dichas enfermedades. En el tratamiento a base de productos químicos, la incidencia se conserva bajo un rango de 2 % al alcanzar 150 días luego de iniciadas las aplicaciones, en este caso se estima que las hojas se mantienen sanas según los rangos de incidencia de las enfermedades fúngicas (Rivillas et al., 2017). A la vez, se puede observar que todos los tratamientos se desarrollaron de manera diferente (Figura 2), desde el inicio del ensayo, mientras que a los 30 días se hizo notable la eficacia de cada uno de los tratamientos.
Figure 2. Incidence of rust and pestalotiosis on leaves of S. dulcificum.
También se hizo notable que la aplicación de silicio foliar (Si) tiende a disminuir la incidencia de las enfermedades antes mencionadas ya que este tratamiento no permitió que las enfermedades conserven rangos mayores a 20 %, ya que el Si regula las concentraciones de manganeso y aluminio, generando un equilibrio en dichos nutrientes, a su vez incrementa la captación lumínica de la planta, lo que repercute en los rendimientos del cultivo y permite incrementar la resistencia de las plantas a las enfermedades de origen fúngicas (Villalón Mendoza et al., 2018), como consecuencia de una producción extra de toxinas, las cuales actúan como inhibidoras de diversos patógenos (Balakhnina y Borkowska, 2013).
En cuanto a la presencia de las mencionadas enfermedades en el fruto de S. dulcificum, en la Figura 3 se hace visible que el testigo avanza en grandes proporciones, ya que a partir del día 150 esta cubre más del 70 % del total de los frutos. De la misma manera que en el caso de las hojas, el tratamiento químico, desde el día 15 luego de la aplicación de los tratamientos, muestra una diferencia claramente visible, en donde se expresa una reducción de la presencia de las enfermedades. A su vez, a partir del día 60 de observación, este tratamiento se mantiene frente a un rango aproximado a 2 %, hasta el día 150 de evaluación, por ello se afirma que los frutos tienen una favorable calidad en cuanto a apariencia y condiciones sanitarias ya que su grado de severidad es reducido (Chiang et al., 2018), generando una aceptación relevante de los frutos, ya que esto depende de factores como el grado de madurez, el índice de cosechas, sus características físicas y organolépticas (Alvarado-Cepeda et al., 2020). Cabe considerar que una producción en donde se consumen los frutos, debe tener una mínima o nula presencia de enfermedades en los mismos, ya que esto le resta rentabilidad al disminuir su relevancia en cuanto a composición química y nutricional (Tolentino Masgo et al., 2021).
Figure 3. Incidence of rust and pestalotiosis on fruits of S. dulcificum.
Asimismo, en la Figura 3 se puede apreciar que los tratamientos con aplicación de silicio foliar y el tratamiento biológico son, después del tratamiento químico, los que tienen un buen control de la enfermedad manteniendo un rango de incidencia de 20 a 42 %.
Al desarrollar una comparación considerando las enfermedades de la roya y Pestalotia sp., en las hojas y frutos, como se visualiza en la Figura 4, el tratamiento químico en ambas observaciones tiende a presentar los valores de incidencia más bajos permaneciendo sobre el rango de 4,54 y 8,48 %, a la vez se puede visualizar que basados en el análisis de varianza, existe diferencia significativa (. < 0,05) en todos los tratamientos mediante una diferencia mínima de Tukey de 2,95 y 3,54 en hojas y fruto, respectivamente. Mediante la Figura 4, se ha logrado evidenciar que las hojas fueron menos afectadas por parte de los agentes patógenos, esto como consecuencia de que en ella se conserva mayor cantidad de aceites esenciales que le sirven de repelente según los estudios de Arancibia Soria y Medina Tierres (2022); ya que las plantas producen aceites en diversas proporciones, siendo la base principal las semillas, seguido de las hojas, tallos, raíces y frutos (pulpa) de forma ascendente, respectivamente (Rodríguez Álvarez et al., 2012).
Figure 4. Comparison of the incidence of rust and pestaliotiopsis on leaves and fruits of S. dulcificum (Means with the same letter are not significantly different).
Al analizar la calidad del fruto de S. dulcificum, considerando los frutos sanos y enfermos, se logró determinar que existe una relación entre los tratamientos y la calidad de los frutos, bajo un valor de p < 0,001. A su vez, en la Figura 5 se puede observar que el tratamiento químico, tiene mayor eficiencia en comparación con los demás tratamientos, ya que no se presentaron frutos dañados, por lo que se afirma, que el producto químico utilizado principalmente a base de azoxistrobina es eficaz en el control de las enfermedades evaluadas, como consecuencia directa de su acción inhibidora del proceso respiratorio en los hongos fitopatógenos (Irigoyen, 2005).
Figure 5. Fruit quality of S. dulcificum taking as a parameter the healthy and diseased fruits.
De forma contraria, en el tratamiento con empleo de silicio edáfico se presentó 5,26 % de frutos buenos (Figura 5), por lo que este tratamiento se ubicó, como el peor dentro del ensayo, aun cuando el Si es considerado uno de los nutrientes que tienen mayor influencia sobre la calidad del fruto (Hernández Valencia et al., 2022). Sin embargo, este nutriente no pudo ser evaluado dentro de su tiempo de asimilación, ya que la longevidad del rango de asimilación de un fertilizante edáfico es de 6 a 14 meses (Maigua Chanaluisa, 2020), mientras que el presente ensayo tuvo una duración de cinco meses, por tal razón no se pudo evidenciar el efecto del Si en el cultivo.
Para la variable rendimiento del fruto se encontraron diferencias significativas entre tratamientos bajo un valor de p < 0,05. En este caso el control biológico, químico, silicio foliar, testigo y silicio edáfico presentaron los siguientes valores correspondiente de 8,83; 8; 5,83; 5,08 y 1,58 al considerar la cantidad de frutos sanos por planta, en donde se obtuvo un valor de Tukey de 5,46 (Figura 6).
Figure 6. Fruit yield of S. dulcificum (Means with the same letter are not significantly different).
Al proyectar la producción antes mencionada y aproximarla al rendimiento anual, bajo una frecuencia de cinco cosechas por año, se determinaron los siguientes rendimientos; 222,96; 202,00; 147,21; 128,27 y 39,90 kg ha-1 año-1 para los tratamientos biológico, químico, silicio foliar, testigo y silicio edáfico, respectivamente. Sin embargo, nuestros resultados mantienen una alta diferencia con los obtenidos por Lara Marmolejo (2021), quien en su cultivo de cuatro años de edad y bajo óptimas condiciones nutricionales logró alcanzar una producción dentro del rango de 3.600 y 4.500 kg ha-1 año-1, la diferencia de los mencionados rendimientos tiene como influencia la edad del cultivo, puesto que en la presente investigación las plantas evaluadas tenían 19 años de vida productiva, cabe recalcar que S. dulcificum alcanza su mayor pico de producción a los dos y cuatro años luego de la siembra, estableciéndose su longevidad máxima de producción en el rango de 12 a 15 años (Cóndor Soto, 2019), es decir, el presente cultivo se mantuvo dentro del período de declive de producción, por ende, su rendimiento fue menor. Lo que es corroborado por Lim (2013), quien menciona que en las plantaciones africanas consideradas como las que abarcan las condiciones óptimas del cultivo (Republica de Benín) se han reportado rendimientos de 4 a 5 kg ha-1 año-1, cabe considerar que este rendimiento puede variar dependiendo de la edad de la planta, las características agroecológicas de la zona, fertilización, entre otros aspectos. Tomando como referencia la mencionada investigación tanto el tratamiento biológico como químico poseen competitividad productiva, lo que puede generar un beneficio económico de 68.002,8 y 61.610 dólares americanos (USD), respectivamente, al tomar como referencia el precio establecido (305 USD kg-1 de fruta fresca por Shayeb Shayeb (2021).
A su vez, se estima que las plantas tienen un mejor desarrollo bajo las siguientes condiciones agroecológicas; altitud de 20 a 200 m s. n. m., suelos con pH ácido con rango de 4,5 a 5,8 (Akoègninou et al., 2006), y una temperatura de 27 °C (Tchokponhoué et al., 2017), al comparar los factores agroecológicos antes mencionados, se puede visualizar que existió una enorme variación de las condiciones óptimas con las condiciones del cultivo estudiado, el cual fue instalado bajo una temperatura promedio de 25 °C, con un pH de 6,6 a 7,4 y una altitud de 145 m s.n.m. Por ello, se afirma que estas diferencias afectaron de forma directa al rendimiento del cultivo, ya que los factores ambientales sobre los cuales se establecen los cultivos, tienen una alta influencia sobre la producción, adaptación y rendimiento de los cultivos (González Osorio et al., 2020). A la vez, estos resultados mantienen concordancia con lo indicado por Rosas-Patiño et al. (2021), quien afirma que el pH del suelo es un factor fundamental, que se debe tomar en consideración al momento de plantar un cultivo, ya que de este depende la asimilación, concentración y disponibilidad de los nutrientes, por ende, afecta el rendimiento del cultivo.
Es importante indicar que no existe información científica reportada a escala mundial sobre datos de producción a gran escala de S. dulcificum (Achigan-Dako et al., 2015), por ende, se dificulta generar una discusión, en donde se pueda comparar los valores obtenidos en la presente investigación, como consecuencia de ser un cultivo no tradicional.
4. Conclusiones
La incidencia de roya y pestalotiopsis en las hojas fue controlada con el tratamiento químico, manteniendo la incidencia de la enfermedad por debajo del 2 %, hasta los 150 días, mientras que, en los restantes tratamientos, el control tuvo valores dentro de un rango de incidencia de 20 a 50 %.
En cuanto a la incidencia de roya y pestalotiopsis en los frutos, el tratamiento químico, mantuvo un adecuado control sobre las enfermedades con una incidencia aproximada de 2 %, a diferencia de los otros tratamientos, los mismos que presentaron valores superiores a 20 %.
Existió una relación directa entre la calidad del fruto y el tratamiento químico, ya que no se evidenciaron frutos dañados en dicho tratamiento. Los tratamientos que presentaron menor calidad en los frutos, fueron el testigo y el tratamiento a base de silicio edáfico, sin embargo, este último registró dichos resultados como consecuencia de una tardía asimilación y absorción de los nutrientes aplicados, debido a que el período de evaluación fue menor al recomendado para su aprovechamiento.
El rendimiento del cultivo fue mayor en los tratamientos de control biológico y químico con producciones de 222,96 y 202,00 kg ha-1 año-1, respectivamente, estableciéndose estos tratamientos como los más adecuados para la explotación del cultivo.
Contribuciones de los autores
Dayana Cristina Ibarra Anchundia: conceptualización, análisis formal, investigación, metodología, administración del proyecto, supervisión, validación, visualización, redacción – revisión y edición.
David Rene Tapia González: conceptualización, análisis formal, investigación, administración del proyecto, supervisión, visualización, validación, redacción – revisión y edición.
Eduardo Patricio Vaca Pazmiño: conceptualización análisis formal, investigación, metodología, supervisión, validación, visualización, redacción – revisión y edición.
Rocío Noemí Guamán Guamán: conceptualización análisis formal, investigación, administración del proyecto, recursos, supervisión, validación, visualización, redacción – revisión y edición.
Santiago Miguel Ulloa Cortázar: conceptualización, metodología, recursos, redacción – revisión y edición.
Ángel Fabián Villavicencio Abril: conceptualización, visualización, redacción – borrador original, redacción – revisión y edición.
Referencias
Achigan-Dako, E., Tchokponhoué, D., N’Danikou, S., Gebauer, J., y Vodouhè, R. (2015). Current knowledge and breeding perspectives for the miracle plant Synsepalum dulcificum (Schum. et Thonn.) Daniell. Genetic Resources and Crop Evolution, 62(3), 465-476. https://doi.org/10.1007/s10722-015-0225-7
Akoègninou, A., Van der Burg, W., y Van der Maesen, L. (eds.). (2006). Flore Analytique du Bénin. Backhuys Publishers. https://edepot.wur.nl/281595
Altendorf, S. (2017). Perspectivas mundiales de las principales frutas tropicales. Perspectivas, retos y oportunidades a corto plazo en un mercado pujante. FAO. https://www.fao.org/fileadmin/templates/est/COMM_MARKETS_MONITORING/Tropical_Fruits/Documents/Tropical_Fruits_Spanish2017.pdf
Alvarado-Cepeda, Y. A., Mendoza-Villarreal, R., Sandoval-Rangel, A., Vega-Chávez, J. L., y Franco-Gaytán, I. (2020). Calidad fisicoquímica y sensorial de frutos de fresas obtenidos en dos sistemas de cultivo. RIIIT. Revista internacional de investigación e innovación tecnológica, 8(43), 18-29. https://riiit.com.mx/apps/site/ojs/index.php/riiit/article/view/102
Arancibia Soria, M. Y., y Medina Tierres, C. A. (2022). Actividad repelente e insecticida de aceites esenciales de plantas medicinales. Universidad Técnica de Ambato. https://repositorio.uta.edu.ec/jspui/handle/123456789/34986
Balakhnina, I., y Borkowska, A. (2013). Effects of silicon on plant resistance to environmental stresses: review. International Agrophysics, 27(2), 225-232. https://doi.org/10.2478/v10247-012-0089-4
Banco Central del Ecuador. (2021). Evolución de la balanza comercial enero-diciembre 2020. https://contenido.bce.fin.ec/documentos/Estadisticas/SectorExterno/BalanzaPagos/balanzaComercial/ebc202102.pdf
Bedoya Cardoso, M., y Salazar Moreno, R. (2014). Optimización del uso de fertilizantes para el cultivo de café. Revista Mexicana de Ciencias Agrícolas, 8(1), 1433-1439. https://doi.org/10.29312/remexca.v0i8.1100
Bonilla, A. (2018). Desarrollan sistema de vigilancia epidemiológica para cultivo de café. Ciencia MX. http://www.cienciamx.com/index.php/ciencia/ambiente/19135-sistema-vigilancia-epidemiologica-cafe
Buriticá Céspedes, P. (2010). La roya del cafeto en Colombia: realizaciones de impacto nacional e internacional en el siglo XX. Revista Facultad Nacional de Agronomía Medellín, 63(1), 5285-5292. https://revistas.unal.edu.co/index.php/refame/article/view/24949
Campos-Almengor, O. G., Santos Colom, D., Reyes, J. N., y Mazariegos, R. J. (2014). Nuevos análisis sobre eficiencia de fungicidas sistémicos contra la roya del cafeto Hemileiavastatrix Berk & Br. Revista El Cafetal, (38), 13-14. https://www.anacafe.org/uploads/file/82c153cec3d44cf3a24103b4f0f7c2b4/El-Cafetal-11.pdf
Castellanos González, L., de Mello Prado, R., y Silva Campos, C. N. (2015). El silicio en la resistencia de los cultivos a las plagas agrícolas. Cultivos Tropicales, 36(1), 18-26. https://doi.org/10.1234/ct.v36i1%20Esp.1112
Centro International de Mejoramiento de Maíz y Trigo [CIMMYT]. (1995). Manejo de los ensayos e informe de datos para el Programa de Ensayos Internacionales de Maíz del CIMMYT. CIMMYT. http://hdl.handle.net/10883/764
Chen, C. C., Liu, I. M., y Cheng, J. T. (2006). Improvement of insulin resistance by miracle fruit (Synsepalum dulcificum) in fructose-rich chow-fed rats. Phytotherapy Research, 20(11), 987-992. https://doi.org/10.1002/PTR.1919
Chiang, A., Schnettler, B., Mora, M., y Aguilera, M. (2018). Perceived quality of and satisfaction from sweet cherries (Prunus avium L.) in China: Confirming relationships through structural equations. Ciencia e Investigación Agraria, 45(3), 210-219. https://dx.doi.org/10.7764/rcia.v45i3.1930
Cóndor Soto, Y. F. (2019). Caracterización de compuestos bioactivos, físicos y químicos del fruto milagroso (Synsepalum dulcificum) para aplicaciones agroindustriales. Universidad de las Américas. http://dspace.udla.edu.ec/handle/33000/11808
Crane, J. H., y Balerdi, C. F. (2006). El Chicosapote o Níspero en Florida: HS1035/HS279, 3/1994. EDIS, 2006(6). https://doi.org/10.32473/edis-hs279-2005
Duhita, N., HiwasaTanase. K., Yoshida, S., y Ezura. H. (2011). A simple method for purifying undenatured miraculin from transgenic tomato fruit. Plant Biotechnology, 28(3), 281286. https://doi.org/10.5511/plantbiotechnology.11.0207a
Gabriel, J., Ortuño, N., Vera, M., Castro, C., Narváez, W., y Manobanda, M. (2017). Manual para evaluación de daños de enfermedades en cultivos agrícolas. Grupo COMPAS, Universidad Estatal del Sur de Manabí. http://repositorio.unesum.edu.ec/handle/53000/2093
García Rosales, D. A. (2013). Incidencia y severidad de la roya del café (Hemileia vastatrix) y evaluación de alternativas químicas para su control. Universidad Rafael Landívar. http://biblio3.url.edu.gt/Tesario/2013/06/17/Garcia-Deyvid.pdf
Gobierno Autónomo Descentralizado Municipal del Cantón Esmeraldas [GADMCE]. (2019). Plan de desarrollo y ordenamiento territorial del cantón esmeraldas 2014-2019. GADMCE. https://www.esmeraldas.gob.ec/images/LOTAIP/2019/PDOT%20GADMCE%202014-2019%20APROBADO%20CONCEJO%201.pdf
Godoy Sosa, M. F. (2018). Resistencia sistémica inducida para el control de Pestalotia sp. y Colletotrichum sp. en fresa (Fragaria x ananassa Duch.) por medio de tres agentes de control biológico. Escuela Agrícola Panamericana, Zamorano. http://hdl.handle.net/11036/6423
Gonza Carnero, K., López Medina, E., Zavaleta Salvatierra, C., de La Cruz Castillo, J., y Mendoza, W. (2013). Efecto biofungicida de Trichoderma harzianum y de extractos de Eucalyptus globulus, Rosmarinus officinalis y Ricinus communis sobre Rhizoctonia solani. Revista REBIOLEST, 1(1), 43-48. https://revistas.unitru.edu.pe/index.php/ECCBB/article/view/180
González Osorio, B. B., Barragán Monrroy, R., Simba Ochoa, L., y Rivero Herrada, M. (2020). Influencia de las variables climáticas en el rendimiento de cultivos transitorios en la provincia Los Ríos, Ecuador. Centro Agrícola, 47(4), 54-64. http://scielo.sld.cu/scielo.php?script=sci_arttext&pid=S0253-57852020000400054
He, Z., Tan, J. S., Abbasiliasi, S., Lai, O. M., Tam, Y. J., y Arif, A. B. (2016). Phytochemicals, nutri tionals and antioxidant properties of miracle fruit Synsepalum dulcificum. Industrial Crops and Products, 86(1), 8794. https://doi.org/10.1016/j.indcrop.2016.03.032
Hernández Valencia, R. D., Juárez Maldonado, A., Pérez Hernández, A., Lozano Cavazos, C. J., Zermeño González, A., y González Fuentes, J. A.. (2022). Influencia de fertilizantes orgánicos y del silicio sobre la fisiología, el rendimiento y la calidad nutracéutica del cultivo de fresa. Nova scientia, 14(28), 00001. https://doi.org/10.21640/ns.v14i28.3032
Hernández-Martínez, G., y Velázquez-Premio, T. (2016). Análisis integral sobre la roya del café y su control. Revista Escuela de Administración de Negocios, 1(1), 92-99. http://rinderesu.com/index.php/rinderesu/article/view/9
Inglett, G. E., y Chen, D. (2011). Contents of phenolics and flavonoids and antioxidant activities in skin, pulp, and seeds of miracle fruit. Journal of food science, 76(3), C479-C482. https://doi.org/10.1111/j.1750-3841.2011.02106.x
Irigoyen, N. J. (2005). Guía técnica del cultivo del níspero. IICA, Representación El Salvador. http://repositorio.iica.int/handle/11324/7373
Kato, K., Maruyama, S., Hirai, T., Hiwasa-Tanase, K., Mizoguchi, T., Goto, E., y Ezura, H. (2011). A trial of production of the plant-derived high-value protein in a plant factory: photosynthetic photon fluxes affect the accumulation of recombinant miraculin in transgenic tomato fruits. Plant signaling & behavior, 6(8), 1172–1179. https://doi.org/10.4161/psb.6.8.16373
Koizumi,. A., Tsuchiya, A., Nakajima, K-I., Ito, K., Terada, T., Shimizu lbuka, A., Briand, L., Asakura, T., Misaka, T., y Abe, K. (2011). Human sweet taste receptor mediates acidinduced sweetness of miraculina. Proceedings of the National Academy of Sciences of the United States of America, 108(40), 1681916824. https://doi.org/10.1073/pnas.1016644108
Lara Marmolejo, C. A. (2021). Plan de negocios para la producción y comercialización de liofilizado de la fruta milagrosa (Synsepalum dulcificum) en la ciudad de Guayaquil, provincia del Guayas, Ecuador. Universidad Católica de Santiago de Guayaquil. http://repositorio.ucsg.edu.ec/handle/3317/16844
Lavilla, M., e Ivancovich, A. (2016). Propuestas de escalas para la evaluación, a campo y en laboratorio, del “tizón foliar” y la “mancha púrpura de la semilla”, causadas por Cercopora kikuchii, en soja. Instituto Nacional de Tecnología. Agropecuaria https://inta.gob.ar/sites/default/files/inta_pergamino_propuestas_de_escalas_para_la_evaluacion_a_campo_y_en_laboratorio_del_tizon_foliar_y_la_mancha_purpura_de_la_semilla_en_soja.pdf
Lim, T. (2013). Synsepalum dulcificum. En T. K. Lim (ed.), Edible Medicinal And Non-Medicinal Plants: Volume 6, Fruits (pp. 146-150). Springer. https://doi.org/10.1007/978-94-007-5628-1
López Pasquel, A. C. (2016). Plan de negocios para la producción y comercialización de tabletas masticables de Synsepalum dulcificum, la fruta milagrosa, en el Distrito Metropolitano de Quito. Universidad Internacional del Ecuador. http://repositorio.uide.edu.ec/handle/37000/1291
Maigua Chanaluisa, A. P. (2020). Evaluación de fertilizantes edáficos de eficiencia mejorada en el cultivo de Gypsophila. Universidad Central del Ecuador. http://www.dspace.uce.edu.ec/handle/25000/21461
Martínez Nicolás, C., Periago, M. J., y Navarro, I. (2016). Revelando el secreto de la fruta milagrosa. Revista Española de Nutrición Comunitaria,22(4), 20-27. https://doi.org/10.14642/RENC.2016.22.4.5154
Misaka, T. (2013). Molecular mechanisms of the action of miraculin, a taste-modifying protein. Seminars in cell & developmental biology, 24(3), 222-225. https://doi.org/10.1016/j.semcdb.2013.02.008
Ramírez-Rodríguez, R., Castañeda-Hidalgo, E., Robles, C., Santiago-Martínez, G., Pérez-León, M. y Lozano-Trejo, S. (2020). Efectividad de biofungicidas para el control de la roya en plántulas de café. Revista Mexicana de Ciencias Agrícolas, 11(6), 1403-1412. https://doi.org/10.29312/remexca.v11i6.2614
Rivillas, C. A., Hoyos, A. M., y Ramírez, I. C. (2017). Manejo de la roya: nuevo fungicida para su control en Colombia. Cenicafé, Avances Técnicos N° 480. https://www.cenicafe.org/es/index.php/nuestras_publicaciones/avances_tecnicos/avance_tecnico_0480
Rodríguez Álvarez, M., Alcaraz Meléndez, L., y Real Cosío, S. (2012). Procedimientos para el proceso de extracción de aceites en plantas aromáticas. Centro de Investigaciones Biológicas del Noroeste, S. C. http://dspace.cibnor.mx:8080/handle/123456789/1402
Romero Gurdián, A. (2010). Efecto de los sistemas agroforestales del café y del contexto del paisaje sobre la Roya (Hemileia vastatrix), broca (Hypothenemus hampei Ferrari) y los nemátodos Meloidogynespp.), con diferentes certificaciones en la provincia de Cartago, Costa Rica. CATIE - Centro Agronómico Tropical de Investigación y Enseñanza. https://repositorio.catie.ac.cr/handle/11554/4882
Rosas-Patiño, G., Puentes-Páramo, Y., y Menjivar-Flores, J. (2021). Efecto del pH sobre la concentración de nutrientes en cacao (Theobromacacao L.) en la Amazonia colombiana. Revista U.D.C.A Actualidad & Divulgación Científica, 24(1), e1643. http://doi.org/10.31910/rudca. v24.n1.2021.1643
Shayeb Shayeb, A. A. (2021). Diseño y evaluación de una planta para la producción de una formulación edulcorante con fruta milagrosa como aditivo modificador de sabor. Universidad San Francisco de Quito. http://repositorio.usfq.edu.ec/handle/23000/11174
Tapia Alarcón, V. A. (2014). Estudio investigativo sobre la fruta milagrosa (Synsepalum dulcificum) y su aplicación en la gastronomía. Universidad UTE. http://repositorio.ute.edu.ec/xmlui/handle/123456789/11921
Tchokponhoué, D. A., Achigan-Dako, E. G., N’Danikou, S. N., Houdégbé, A. C., Aboègnonhou Agossou, C. O., Assogba-Komlan, F., y Vodouhè, R. S. (2018). Regeneration ability and seedling growth in the miracle plant Synsepalum dulcificum (Schumach. & Thonn.). Fruits, 73(1), 13-21. | https://doi.org/10.17660/th2018/73.1.2
Tchokponhoué, D., N'Danikou, S., y Hale, I. (2017). Fructificación temprano en juveniles de Synsepalum dulcificum (Schumach. & Thonn.) Daniell inducida por manejo de agua y nutrientes inorgánicos. F1000Research, 6(1), 399. https://doi.org/10.12688/f1000research.11091.1
Todd, S. (2005). Manual de cultivo de especies frutales exóticas. Altrópico. https://www.terrabrasilis.org.br/ecotecadigital/pdf/manual-de-cultivo-de-especies-frutales-exoticas.pdf
Tolentino Masgo, S. L. B., Parco, M. A., Caraballo, S., Lacruz, L., Marcano, V., Ferreira, J., y Mírez, J. (2021). Análisis numérico del comportamiento del flujo en la sección de la garganta de una tobera cónica experimental. Enfoque UTE, 12(1), 12-28. https://doi.org/10.29019/enfoqueute.676
Valles-Aragón, M. C., Ojeda-Barrios, D. L., Guerrero-Prieto, V. M., Prieto-Amparan, J. A., y Sánchez-Chávez, E. (2017). Calidad del agua para riego en una zona nogalera del Estado de Chihuahua. Revista Internacional de Contaminación Ambiental, 33(1), 85-97. https://doi.org/10.20937/RICA.2017.33.01.08
Van Hemelrijck, W., Ceustermans, A., Van Campenhout, J., Lieten, P., y Bylemans, D. (2017). Crown rot in strawberry caused by Pestalotiopsis. Acta Horticulturae, (1156), 781-786. https://doi.org/10.17660/ActaHortic.2017.1156.115
Villalón Mendoza, H., Castillo-Villarreal, M., Garza-Ocañas, F., Guevara-González, J., y Sánchez-Castillo, L. (2018). Dióxido de silicio como estimulante del índice de calidad de plantas de chile piquín (Capsicum annuum L. var. glabriusculum) producidas en vivero. Revista mexicana de ciencias forestales, 9(50), 294-303. https://doi.org/10.29298/rmcf.v9i50.247
Notas de autor
rocioguamang08@hotmail.com
Información adicional
e-location: e4007