Artículo original
Detección de micotoxinas (aflatoxinas) en alimentos primarios y procesados para humanos y animales de granja, en Riobamba-Ecuador
Detection of mycotoxins (aflatoxins) in primary and processed foods for humans and farm animals, in Riobamba-Ecuador
Detección de micotoxinas (aflatoxinas) en alimentos primarios y procesados para humanos y animales de granja, en Riobamba-Ecuador
Siembra, vol. 10, núm. 1, e4126, 2023
Universidad Central del Ecuador

Recepción: 21 Octubre 2022
Revisado: 18 Noviembre 2022
Corregido: 09 Enero 2023
Aprobación: 27 Enero 2023
Resumen: Las micotoxinas son sustancias producidas por varias especies de mohos que pueden crecer sobre los alimentos en determinadas condiciones de humedad y temperatura y se constituyen en un verdadero riesgo para la salud humana y animal. El objetivo del presente estudio fue determinar la presencia de micotoxinas (aflatoxinas) en alimentos primarios y procesados para humanos y animales de granja en Riobamba, Ecuador. Se tomaron doce muestras con cuatro réplicas de alimentos primarios: arroz, pollo, leche cruda, maíz, alfalfa, trigo, y alimentos procesados: salchichas de pollo, leche pasteurizada, pan y concentrados para pollos, vacas y cerdos de los distintos mercados con mayor concentración de oferta de productos, las cuales fueron analizadas a través del método de inmunoabsorción ligado a enzimas ELISA (Veratox® for Aflatoxin Quantitative Test y Veratox® Aflatoxin M1, Neogen) con capacidad para determinar cuantitativamente aflatoxinas B1, B2, G1, G2, M1. Del total de muestras analizadas, el 98 % presentaron contaminación con aflatoxinas que, de acuerdo con el Codex alimentario ecuatoriano, se encuentran en los parámetros permitidos: menos de 10 µg kg-1, para alimentos y piensos y menos de 0,5 µg l-1 para el caso de la leche.
Palabras clave: micotoxinas, aflatoxinas, tóxicos, inmudepresión, cancerígenos.
Abstract: Mycotoxins are substances produced by several species of molds that can grow on food under certain conditions of humidity and temperature, and constitute a real risk to human and animal health. The objective of the present study was to determine the presence of Mycotoxins (Aflatoxins) in primary and processed foods for humans and farm animals in Riobamba, Ecuador. Twelve samples were taken with 4 replicates of primary foods: rice, chicken, raw milk, corn, alfalfa, and wheat; and, processed foods: chicken sausages, pasteurized milk, bread and concentrates for chickens, cows, and pigs from the different markets with the highest concentration of product offer, which were analyzed through the ELISA enzyme-linked immunosorbent method (Veratox® for Aflatoxin Quantitative Test and Veratox® Aflatoxin M1, NEOGEN) with the capacity to determine quantitatively aflatoxins B1, B2, G1, G2, M1. Of the total samples analyzed, 98 % presented contamination by aflatoxins, which according to the Ecuadorian Food Codex are within the allowed permitted parameters of less than 10 µg kg-1, for food and feed, and, less than 0.5 µg l-1 for milk.
Keywords: mycotoxins, aflatoxins, toxic, immunodepression, carcinogens.
1. Introducción
Las micotoxinas son metabolitos secundarios de algunas especies de hongos. Son resistentes a procesos tecnológicos, contaminan productos de origen animal y vegetal, muchas micotoxinas están presentes en los alimentos, lo que aumenta la exposición de humanos y animales a ellos (Kępińska-Pacelik y Biel, 2021). Las aflatoxinas forman uno de los principales grupos de micotoxinas. La aflatoxina se produce por la acción de los hongos durante la producción, cosecha, almacenamiento y procesamiento de alimentos y piensos. La toxicidad de las aflatoxinas ha sido bien establecida tanto en humanos como en animales (Bogantes-Ledezma et al., 2004). La exposición a las aflatoxinas puede causar náuseas, vómitos, dolor abdominal, convulsiones agudas y su exposición crónica también puede provocar diversas complicaciones como hepatotoxicidad, inmunotoxicidad y teratogenicidad; las aflatoxinas, principales grupos de las micotoxinas, son la causa de carcinoma hepatocelular en los países en desarrollo (Dhakal et al. 2022).
Las aflatoxinas son metabolitos secundarios altamente tóxicos derivados de los policétidos producidos por especies fúngicas como Aspergillus flavus, A. parasiticus y A. nomius (Dhakal et al. 2022). Hay más de 20 aflatoxinas conocidas, pero las cuatro principales son la aflatoxina B1 (AFB1), la aflatoxina B2 (AFB2), la aflatoxina G1 (AFG1) y la aflatoxina G2 (AFG2), que pueden envenenar el cuerpo a través de vías respiratorias, mucosas o cutáneas, lo que resulta en una sobreactivación de la respuesta inflamatoria (Payne et al., 1993). Químicamente, las aflatoxinas (AFT) son derivados de la difuranocumarina (Bennett y Klich, 2003; Romani, 2004). Las aflatoxinas se dirigen específicamente al órgano hepático (Nakai et al., 2008). La distribución de los diferentes alimentos en la ciudad de Riobamba, la venta en los mercados al aire libre, el deficiente cuidado al momento de empacar y transportar los alimentos, crea la necesidad de realizar el presente estudio para determinar la presencia de micotoxinas (aflatoxinas) en alimentos primarios y procesados para humanos y animales de granja en Riobamba-Ecuador.
2. Materiales y Métodos
2.1. Ubicación de la zona de estudio
Se realizó en la ciudad de Riobamba, la cual se encuentra ubicada en el centro geográfico del Ecuador, en la cordillera de los Andes, a 2.750 m s.n.m.
2.2. Muestreo
La recolección de las muestras se realizó en los mercados con mayor concentración de oferta de productos ubicados en la ciudad de Riobamba: La Condamine (norte), San Alfonso (centro), Mayorista (sur) y Santa Rosa (sur-occidente). Las muestras fueron alimentos primarios y procesados para consumo humano y animal: arroz, pollo, maíz (grano), trigo (grano), salchichas de pollo y concentrados. La cantidad de muestra recolectada fue de ½ libra por cada categoría; de muestras de leche pasteurizada se adquirió 1 litro de cada una de las empresas que distribuyen el producto en la ciudad; de los alimentos para animales se tomaron muestras de productos procesados y empacados por las empresas locales; balanceados nutritivos Wayne, Exibal y Pronaca, alimentos que se destinan al engorde de pollos parrilleros, para ganado lechero y para cerdos. En total se recolectaron doce muestras con cuatro réplicas cada una para comparar los resultados entre ellas, determinando un tamaño de muestra (n = 48) para el trabajo de investigación
2.3. Ejecución de pruebas
Primero se procedió a triturar 200 g de muestra, se pasó a través de un tamiz de malla 20 mesh, se las mezcló bien y se las colocó en bolsas ziploc claramente rotuladas hasta iniciar la obtención del extracto. Para el proceso de extracción se siguió el protocolo Veratox para aflatoxinas HS, se pesó 5 gramos de muestra a la que se adicionaron 25 ml de metanol al 70 %, se licuó a alta velocidad (1.500 rpm por 1 minuto), se filtró el extracto por medio del papel de filtro Whatman N° 4, y finalmente se colectaron 5 ml de líquido como muestra. Para la parte analítica se utilizó el kit “Veratox Análisis cuantitativo de aflatoxinas”, técnica aprobada por la AOAC USDA-GIPSA 2015-070 (Neogen, 2014). El kit Veratox para aflatoxinas, determina cuantitativamente aflatoxinas (B1, B2, G1, G2) a través de la lectura por el método de inmunoabsorción ligado a enzimas (ELISA), en el cual su principio básico es el uso de anticuerpos o antígenos conjugados con una enzima que, al reaccionar con el sustrato específico, producen una reacción de color que se puede cuantificar con un espectrofotómetro a una longitud de onda de 650 nm, que muestra especificidades del 100 %, valor similar en pruebas de inmunocromatografía. El inmunoensayo entrega resultados cuantitativos y está validado para los alimentos que se utilizaron en la presente investigación basada en las características de la muestra y las condiciones ambientales.
Para el análisis de leche cruda y pasteurizada se utilizó el kit Veratox para aflatoxina M1 que cuenta con 6 controles 0 ppt, 5 ppt, 15 ppt, 30 ppt, 60 ppt y 100 ppt.
2.4. Análisis estadístico
Se compararon los valores de absorbancia entre grupos frente al control, usando el test de Dunnet de la librería “DescTools” (Abdel-Wahhab et al., 2007), del programa R (Signorell et al., 2021). Adicionalmente, se determinaron las diferencias entre los productos dentro de cada grupo, mediante un test múltiple de Wilcoxon con corrección de Bonferroni. Todas las pruebas estadísticas se realizaron con el programa R (R Core Team, 2021).
3. Resultados
La concentración de aflatoxinas totales se encuentra expresada en μg de aflatoxina por cada kg de muestra analizada (ppb) en la Tabla 1.
| Grupo | Producto | Absorvancia | ppb | |||
| Valor promedio | Desviación estándar | Valor promedio | Desviación estándar | |||
| control | Alfalfa | 2.9533 | 0.0471 | 0.7500 | 0.2887 | |
| control | Arroz | 3.0000 | 0.0000 | 0.0000 | 0.0000 | |
| control | Conc_cerdos | 2.0470 | 0.1158 | 1.6250 | 0.8770 | |
| control | Conc_pollo | 2.0323 | 0.3450 | 2.3000 | 2.3051 | |
| control | Conc_vacas | 2.1623 | 0.2510 | 1.2250 | 0.9811 | |
| control | Maíz | 2.4258 | 0.1589 | 0.1250 | 0.2500 | |
| control | Pan | 3.0000 | 0.0000 | 0.0000 | 0.0000 | |
| control | Pollo | 3.0000 | 0.0000 | 0.0750 | 0.1500 | |
| control | Salchichas_pollo | 3.0000 | 0.0000 | 0.0000 | 0.0000 | |
| control | Trigo | 2.7560 | 0.1645 | 0.0000 | 0.0000 | |
| control | Control | 1.4558 | 0.6845 | 17.5000 | 20.8738 | |
| prim. animales | Alfalfa | 2.9533 | 0.0471 | 0.7500 | 0.2887 | |
| prim. animales | Maíz | 2.4258 | 0.1589 | 0.1250 | 0.2500 | |
| prim. animales | Trigo | 2.7560 | 0.1645 | 0.0000 | 0.0000 | |
| prim. humanos | Arroz | 3.0000 | 0.0000 | 0.0000 | 0.0000 | |
| prim. humanos | Pollo | 3.0000 | 0.0000 | 0.0750 | 0.1500 | |
| proc. animales | Conc_cerdos | 2.0470 | 0.1158 | 1.6250 | 0.8770 | |
| proc. animales | Conc_pollo | 2.0323 | 0.3450 | 2.3000 | 2.3051 | |
| proc. animales | Conc_vacas | 2.1623 | 0.2510 | 1.2250 | 0.9811 | |
| proc. humanos | Pan | 3.0000 | 0.0000 | 0.0000 | 0.0000 | |
| proc. humanos | Salchichas_pollo | 3.0000 | 0.0000 | 0.0000 | 0.0000 | |
Table 1. Mean values and standard deviations by product (prim. animals and prima. humans).
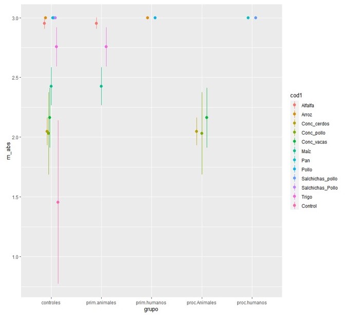
Se observó diferencia significativa de la absorbancia para medir la concentración de aflatoxinas de los alimentos primarios y procesados humanos frente al control (Tabla 2 y Figura 1). El control reveló nivel significativamente menor de absorbancia. En cuanto a los valores de ppb no se identificaron diferencias (p > 0,05). Se realizó prueba de comparación de Dunnett entre los tipos de productos por cada uno de los grupos, y no se encontraron diferencias significativas (p > 0,05).
| Grupos | Diferencias | Límite Inferior | Límite Superior | p |
| prim. animales-control | 0.2710 | -0.1432 | 0.6852 | 0.3344 |
| prim. humanos-control | 0.5593 | 0.0692 | 1.0495 | 0.0188 |
| proc. animales-control | -0.3602 | -0.7744 | 0.0541 | 0.1116 |
| proc. humanos-control | 0.5593 | 0.0692 | 1.0495 | 0.0188 |
Table 2. Dunnett's comparison test of primary and processed foods versus control.

Figure 1. Average absorbance (m_abs) for each product by group to measure the concentration of aflatoxins.
4. Discusión
En los alimentos primarios y procesados para humanos que se expenden en los mercados de la ciudad de Riobamba se detectaron concentraciones de aflatoxinas que están dentro de los niveles exigidos por las normas de referencia, es decir, el contenido de esta se encuentra por debajo de 10 ppb. Para la Unión Europea el límite permisible es de 5 a 8 ppb (μg kg-1) por cada kg de alimento y 0,05 ppb en lo que se refiere a la leche y sus derivados, estos parámetros de referencia difieren para cada país, cada uno tiene su propia normativa o reglamentación, en promedio se puede considerar este límite (Reglamento (CE) N° 1881/2006).
En las muestras de leche estudiadas se determinaron concentraciones de aflatoxinas que podrían atribuirse a diversos factores, entre ellos, sistemas de alimentación, factores propios de los animales, condiciones ambientales. Diferentes estudios demuestran que la mayor incidencia de aflatoxina M1 (AFM1) en leche y productos lácteos aparecen en animales que han consumido alimentos contaminados con AFB1, que es el metabolito hidroxilado de la aflatoxina B1 (AFB1) (Alshannaq y Yu, 2017; Sandoval Cañas, 2013), contaminaciones que se producen sobre todo en la época de verano, época del año en la que el ganado consume más alimento concentrado por la escasa producción de pasto. Estos contaminantes también suelen aparecer por la mala práctica de ordeño y mala condición de almacenamiento (Prandini et al., 2009); se excretan en la orina y la leche y se transmiten a la leche fresca y procesada, queso y yogur (Grimaud y Jhonson, 2009). Los tratamientos térmicos como la pasteurización, generalmente no disminuyen la concentración de AFM1 (Landeros et al., 2012; Murshed, 2020)
Por las características nutricionales y la larga vida útil que poseen los frutos secos, cereales, maíz, trigo, son considerados como una buena alternativa de alimentación, sin embargo, estos productos tienen una alta susceptibilidad a la contaminación por micotoxinas y se pueden convertir en una grave amenaza para la salud animal y humana (Rahimi et al., 2021).
De todas las muestras analizadas, los alimentos para los animales tanto los concentrados como la alfalfa registran una concentración aproximada de 1 μg kg-1 de aflatoxina; de acuerdo con el pronunciamiento de la autoridad europea de seguridad alimentaria [EFSA], la exposición a las aflatoxinas procedentes de cualquier fuente debe ser lo más baja posible (Alexander et al., 2009). Numerosos estudios han informado del alto potencial carcinogénico de AFM1 (Prandini et al., 2009); por lo tanto, la Asociación Internacional de Investigación del Cáncer [IARC] ha clasificado a AFB1 como carcinógeno del Grupo 1, mientras que la aflatoxina M1 [AFM1] está clasificada como carcinógeno del Grupo 2B (IARC, 1993). Es importante recalcar que la toxina es capaz de permanecer en la matriz alimenticia a pesar de que el hongo toxigénico haya desaparecido (Prandini et al., 2009).
De las 48 muestras analizadas, el 100 % de las mismas presentan contaminación por aflatoxinas y se encuentran por debajo de los 0,05 ppb en el caso de la leche y 10 ppb en el caso de los distintos alimentos y piensos, es decir, están enmarcados en lo que dispone la legislación europea en su Reglamento (EU) N° 165/2010. Y están por debajo del límite máximo permitido de aflatoxina M1 en Ecuador (media de 0,055 μg kg-1), cumpliendo con la normativa NTE INEN 9:2015. El porcentaje de cereales contaminados por micotoxinas se ha estimado aproximadamente en un 25 % en todo el mundo (Iram et al., 2016), hay informes de diferentes partes del mundo que confirman que la aflatoxicosis, como enfermedad transmitida por los alimentos, causa intoxicación, enfermedad y muerte en humanos y animales (Hamzeh Pour et al., 2019).
5. Conclusión
La detección temprana y oportuna de aflatoxinas en alimentos primarios debe garantizar productos inocuos para la alimentación humana y animal, este proceso debe seguir la reglamentación nacional vigente que mantenga los rangos permitidos de aflatoxinas, evitando el riesgo de afectación a la salud de los consumidores.
Contribuciones de los autores
Kristina Estefanía Velarde Escobar: Conceptualización, investigación, metodología, validación.
Pablo Ramón-Contento: Curación de datos, análisis formal.
Franklin Román Cárdenas: Validación, redacción – borrador original, redacción – revisión y edición,
Byron Leoncio Díaz Monroy: Conceptualización, metodología, Supervisión.
Implicaciones éticas
Los autores declaran que no existen implicaciones éticas.
Conflicto de interés
Los autores declaran que no existen conflictos de interés financieros o no financieros que podrían haber influido en el trabajo presentado en este artículo.
Referencias
Abdel-Wahhab, M. A., Omara, E. A., Abdel-Galil, M. M., Hassan, N. S., Nada, S. A., Saeed, A., y el-Sayed, M. M. (2007). Zizyphus spina-christi extract protects against aflatoxin B1-initiated hepatic carcinogenicity. African journal of traditional, complementary, and alternative medicines, 4(3), 248-256. https://journals.athmsi.org/index.php/ajtcam/article/view/216
Alexander, J., Benford, D., Cockburn, A., Cravedi, J.-P., Dogliotti, E., Domenico, A. di, Luisa Fernández-Cruz, M., Fink-Gremmels, J., Fürst, P., Galli, C., Grandjean, P., Gzyl, J., Heinemeyer, G., Johansson, N., Mutti, A., Schlatter, J., Leeuwen, R. van, Peteghem, C. van, y Verger, P. (2009). Effects on public health of an increase of the levels for aflatoxin total from 4 µg/kg to 10 µg/kg for tree nuts other than almonds, hazelnuts and pistachios - Statement of the Panel on Contaminants in the Food Chain. EFSA Journal, 7(6), 1168. https://doi.org/10.2903/J.EFSA.2009.1168
Alshannaq, A., y Yu, J. H. (2017). Occurrence, Toxicity, and Analysis of Major Mycotoxins in Food. International journal of environmental research and public health, 14(6), 632. https://doi.org/10.3390/ijerph14060632
Bennett, J. W., y Klich, M. (2003). Mycotoxins. Clinical Microbiology Reviews, 16(3), 497-516. https://doi.org/10.1128/CMR.16.3.497-516.2003
Bogantes-Ledezma, P., Bogantes-Ledezma, D., y Bogantes-Ledezma, S. (2004). Aflatoxinas. Acta Médica Costarricense, 46(4), 174-178. https://doi.org/10.51481/amc.v46i4.157
Dhakal, A., Hashmi, M. F., y Sbar, E. (2022). Aflatoxin Toxicity. En StatPearls. StatPearls Publishing.
Grimaud, T., y Jhonson, J., (2009). Microorganisms in raw Milk.
Hamzeh Pour, S., Mahmoudi, S,. Masoumi, S., Rezaie, S., Barac, A., Ranjbaran, M., Oliya, S., Mehravar, F., Sasani, E., Noorbakhsh, F., y Khodavaisy, S. (2019). Aflatoxin M1 contamination level in Iranian milk and dairy products: A systematic review and meta-analysis. World Mycotoxin Journal, 13(1), 67-82. https://doi.org/10.3920/WMJ2019.2485
International Agency for Research on Cancer [IARC]. (1993). Some Naturally Occurring Substances: Food Items and Constituents, Heterocyclic Aromatic Amines and Mycotoxins. IARC Monographs on the Evaluation of Carcinogenic Risks to Humans Volume 56. IARC. https://publications.iarc.fr/Book-And-Report-Series/Iarc-Monographs-On-The-Identification-Of-Carcinogenic-Hazards-To-Humans/Some-Naturally-Occurring-Substances-Food-Items-And-Constituents-Heterocyclic-Aromatic-Amines-And-Mycotoxins-1993
Iram, W., Anjum, T., Iqbal, M., Ghaffar, A., y Abbas, M., (2016). Structural elucidation and toxicity assessment of degraded products of aflatoxin B1and B2 by aqueous extracts of Trachyspermum ammi. Frontiers in Microbiology, 7, 346. https://doi.org/10.3389/fmicb.2016.00346
Kępińska-Pacelik, J., y Biel, W. (2021). Alimentary risk of mycotoxins for humans and animals. Toxins, 13(11), 822. https://doi.org/10.3390/toxins13110822
Landeros, P., Noa, M., López, Y., González, D. G., Noa, E., Real, M., Juárez, C., y Medina, M. S. (2012). Niveles de Aflatoxina M1 en leche cruda y pasteurizada comercializada en la zona metropolitana de Guadalajara, México. Revista de Salud Animal, 34(1), 40-45. http://revistas.censa.edu.cu/index.php/RSA/article/view/71
Murshed, S. (2020). Evaluation and Assessment of Aflatoxin M1 in Milk and Milk Products in Yemen Using High-Performance Liquid Chromatography. Journal of Food Quality, 2020, 8839060. https://doi.org/10.1155/2020/8839060
Nakai, V. K., de Oliveira Rocha, L., Gonçalez, E., Fonseca, H., Ortega, E. M. M., y Corrêa, B. (2008). Distribution of fungi and aflatoxins in a stored peanut variety. Food Chemistry, 106(1), 285-290. https://doi.org/10.1016/J.FOODCHEM.2007.05.087
Neogen. (2014). Veratox® para aflatoxina. Micotoxinas. https://www.neogen.com/es/categories/mycotoxins/veratox-aflatoxin/
NTE INEN 9:2015. Leche cruda. Requisitos. Sexta revisión. https://www.normalizacion.gob.ec/buzon/normas/nte_inen_009_6r.pdf
Payne, G. A., Nystrom, G. J., Bhatnagar, D., Cleveland, T. E., y Woloshuk, C. P. (1993). Cloning of the afl-2 gene involved in aflatoxin biosynthesis from Aspergillus flavus. Applied and environmental microbiology, 59(1), 156-162. https://doi.org/10.1128/aem.59.1.156-162.1993
Prandini, A., Tansini, G., Sigolo, S., Filippi, L., Laporta, M., y Piva, G. (2009). On the occurrence of aflatoxin M1 in milk and dairy products. Food and Chemical Toxicology, 47(5), 984-991. https://doi.org/10.1016/j.fct.2007.10.005
R Core Team. (2021). R: A language and environment for statistical computing. R Foundation for Statistical Computing, https://www.R-project.org/
Rahimi, A., Sasani, E., Rezaie, S., Soltan Dallal, M. M., Mahmoudi, S., Ahmadi, A., Ghaffari, M., Aala, F., y Khodavaisy, S. (2021). Molecular identification of aflatoxigenic Aspergillus species in dried nuts and grains collected from Tehran, Iran. Journal of Environmental Health Science and Engineering, 19(2), 1795-1799. https://doi.org/10.1007/s40201-021-00734-6
Reglamento (CE) N° 1881/2006 de la Comisión de 19 de diciembre de 2006 por el que se fija el contenido máximo de determinados contaminantes en los productos alimenticios. Versión consolidada actual: 01/07/2022. http://data.europa.eu/eli/reg/2006/1881/2022-07-01
Reglamento (EU) N° 165/2010 de la Comisión, de 26 de febrero de 2010, que modifica, en lo que respecta a las aflatoxinas, el Reglamento (CE) n o 1881/2006 por el que se fija el contenido máximo de determinados contaminantes en los productos alimenticios. https://eur-lex.europa.eu/legal-content/ES/ALL/?uri=CELEX:32010R0165
Romani, L. (2004). Immunity to fungal infections. Nature Reviews Immunology, 4, 11-24. https://doi.org/10.1038/nri1255
Sandoval Cañas, G. J. (2013). Determinación de aflatoxinas totales, por cromatografía líquida de alta resolución (HPLC), en matriz de cereales: maíz y cebada. Universidad Central del Ecuador. http://www.dspace.uce.edu.ec/handle/25000/2159
Signorell, A., et al. (2021). DescTools: Tools for descriptive statistics. R package version 0.99.44. https://cran.r-project.org/package=DescTools
Notas de autor
kristinavelarde0608@gmail.com
Información adicional
e-location: e4126