Artículo Original
Plan piloto para el mejoramiento de la calidad nutricional y conteo de células somáticas de leche bovina, producida por pequeños productores de la provincia de Pichincha-Ecuador, aplicando un programa de capacitación
Pilot plan to improve the nutritional quality and somatic cell count of bovine milk produced by small producers in the Province of Pichincha-Ecuador, applying a training program
Plan piloto para el mejoramiento de la calidad nutricional y conteo de células somáticas de leche bovina, producida por pequeños productores de la provincia de Pichincha-Ecuador, aplicando un programa de capacitación
Siembra, vol. 11, núm. 1, e4493, 2024
Universidad Central del Ecuador

Recepción: 04 Abril 2023
Revisado: 13 Noviembre 2023
Aprobación: 01 Marzo 2024
Resumen: La producción láctea en Ecuador es una fuente de ingresos económicos para muchos pequeños y medianos productores; sin embargo, la falta de asesoría técnica conlleva a que tengan problemas en la calidad de la leche y se vea afectado su volumen de producción, por lo que la presente investigación tuvo como finalidad realizar un plan piloto para el mejoramiento de la calidad de leche producida por 57 pequeños productores de diferentes parroquias de los cantones Quito, Rumiñahui y San Miguel de los Bancos de la provincia de Pichincha, mediante un plan de capacitación en buenas prácticas de ordeño y estrategias de alimentación. Se realizaron 2 muestreos iniciales (entre octubre y noviembre de 2021), previo a la capacitación, y 2 muestreos finales (en junio de 2022) para medir el impacto de estas. Se recolectaron 1.273 muestras, donde solamente el 4,02 % (52/1.273) de las mismas, cumplen con los valores referenciales de la normativa nacional, mientras que el 95,98 % (1.243/1.273) no cumple con alguno de los parámetros evaluados; sin embargo, la gran mayoría de dicha leche sí es apta para el consumo humano, pero requiere ser mejorada en su calidad nutricional. Se logró disminuir considerablemente (aunque no estadísticamente) el conteo de células somáticas, de un promedio inicial de 623.530 CS ml-1 a 365.660 CS ml-1 luego de la capacitación, siendo correlacionado con el aumento significativo del porcentaje de lactosa entre el muestreo inicial y el final; también existió diferencias significativas en el porcentaje de grasa y sólidos totales, aunque en estos dos casos disminuyeron sus valores luego de la capacitación (grasa de 2,58 % en el muestreo inicial a 2,10 % en el final y sólidos totales de 11,44 % a 11,00 %). El resto de los parámetros no mostraron diferencias significativas entre los muestreos. Se concluye que la capacitación fue beneficiosa, pues la disminución considerable del conteo de células somáticas aumentó el volumen de producción de leche de los pequeños productores y, por ende, sus ingresos económicos. Para el resto de los parámetros se recomienda reforzar las capacitaciones de nutrición, alimentación, manejo de pasturas, etc., para incrementar sus valores, así como mantener constantes programas de capacitación a los productores, apoyados desde la academia, la empresa privada y entidades públicas.
Palabras clave: leche, calidad, capacitación, Pichincha.
Abstract: Dairy production in Ecuador is a source of economic income for many small and medium producers, however the lack of technical advice leads to problems in the quality of milk, and affects their production volume. The purpose of this investigation was to conduct a pilot plan to improve the quality of milk produced by 57 small producers from different parishes of the cantons of Quito, Rumiñahui and San Miguel de los Bancos in the province of Pichincha, through a training plan in good milking practices and feeding strategies. Two initial samplings were carried out (between October and November 2021) prior to the training, and two final samplings (in June 2022) to measure the impact of the training. A total of 1.273 samples were collected, of these only 4.02 % (52/1273) (of the samples) complied with the reference values of the national regulations, while 95.98 % (1243/1273) did not comply with any of the evaluated parameters; however, the vast majority of the milk is suitable for human consumption, yet its nutritional quality needs to be improved. We were able to reduce considerably (although not statistically) the somatic cell count (SC, from an initial average of 623530 CS ml-1 to 365660 CS ml-1 after training, being correlated with the significant increase in the percentage of lactose between the initial and final sampling; there were also significant differences in the percentage of fat and total solids, although in these two cases their values decreased after training (fat from 2.58 % in the initial sampling to 2.10 % in the final sampling and total solids of 11, 44 % to 11.00 %);showed no significant differences between samples. It is concluded that the training was beneficial since the considerable decrease in .he somatic cell count increased the volume of milk production of the small producers, and therefore their economic income. For the rest of the parameters, it is recommended to reinforce training in nutrition, feeding, pasture management, etc., in order to increase their values, as well as to maintain constant training programs for producers, supported by academia, private and public entities.
Keywords: milk, quality, training, Pichincha.
1. Introducción
En el Ecuador, la producción lechera genera fuentes de empleo para alrededor de 1,3 millones de personas; la gran mayoría de beneficiarios son pequeños y medianos productores, quienes aportan con cerca del 65 % del total de la leche producida (Torres Gutiérrez, 2018), siendo el ordeño manual el más utilizado, debido al número de animales que disponen, el que presenta deficiencias higiénicas en la obtención de la leche. Asimismo, la gran mayoría de procesos de industrialización se lo realiza de manera artesanal (Centro de la Industria Láctea [CIL], 2015; Terán Flores, 2019). La producción diaria de leche, del año 2021, fue de 5,70 millones de litros, de los cuales el 74,85 % se la destina a la venta en líquido, 16,39 % es procesada en los terrenos, 6,76 % consumida por los terneros, 2 % en la alimentación al balde y otros fines (Instituto Nacional de Estadísticas y Censos [INEC], 2023).
La mayor producción se concentra en la región Sierra o interandina, especialmente en la provincia de Pichincha, la cual produce 1.085.747 litros de leche diarios, aproximadamente, lo que representa cerca del 19 % de la producción total, con un rendimiento promedio de 11,27 l vaca-1 (INEC, 2022). Si bien la producción láctea ha tenido un incremento del 18,5 % en los últimos 10 años, pero entre el año 2020 y 2021 disminuyó alrededor del 7 % debido a la pandemia de la covid-19 (Corporación Financiera Nacional [CFN], 2022; INEC, 2023).
La Norma Técnica Ecuatoriana NTE INEN 9:2012 es la encargada de establecer las características microbiológicas, organolépticas y fisicoquímicas que debe tener la leche cruda para que sea apta para el consumo humano, previo a un tratamiento ulterior, siendo los límites mínimos permitidos los siguientes: mínimo materia grasa 3 %, sólidos totales 11,2 %, sólidos no grasos 8,2 %, proteína 2,9 %, y como máximo el conteo de células somáticas puede ser de 7,0 x 10. CS ml-1, sin embargo, dentro de la producción láctea ecuatoriana existen varios inconvenientes que afectan a esta (De los Reyes González et al., 2010). La información sobre la calidad de leche ha sido relativamente escasa, aunque ha ido aumentando en los últimos años, lo que ha permitido controlar dicha calidad, asesorar a los ganaderos y elaborar bases de datos (Contero Callay et al., 2021).
2. Materiales y Métodos
2.1. Población y muestras
El estudio se realizó tomando muestras de leche cruda, de 57 pequeños productores localizados en las parroquias de Lloa, Checa, El Quinche, Yaruquí, Píntag, Nanegalito y Gualea (cantón Quito), Rumipamba y la Moca (cantón Ruminahui) y San Miguel de los Bancos (del mismo cantón) de la provincia de Pichincha. El diseño del muestreo en cuanto a la selección de los pequeños productores que formaron parte del proyecto fue por conveniencia, ya que son productores a los que las clínicas veterinarias móviles del Gobierno Autónomo Descentralizado de la provincia de Pichincha [GADPP] brindan asistencia técnica; en el caso de la selección de vacas, la misma fue realizada mediante un diseño completamente al azar.
Al final de la investigación se recolectó un total de 1.273 muestras de leche cruda (una muestra por vaca, correspondiente a un pool de leche de sus cuatro glándulas mamarias, obtenidas después del ordeño de los animales por los propios productores), en cuatro muestreos, mismos que fueron ejecutados dos antes y dps después de las capacitaciones. Se realizó en dos ocasiones, con un intervalo de 15 días entre cada muestra, para disminuir el grado de error y tener una media más real de los parámetros a analizar. El primer muestreo fue ejecutado en los meses de octubre y noviembre del 2021, dando un total de 634 muestras; con los resultados obtenidos en el laboratorio, se procedió a impartir una capacitación de buenas prácticas de ordeño [BPO] y estrategias nutricionales a los pequeños productores, realizada en el mes de abril de 2022. Posterior a esta capacitación, se recolectaron 639 muestras de leche cruda en dos ocasiones más, en los meses de junio y julio del 2022. Se procuró tomar muestras de las mismas vacas, tanto en los muestreos pre y post capacitación, siendo en todos los casos animales procedentes de los mismos productores.
2.2. Muestreo y análisis de laboratorio
Las muestras se obtuvieron directamente de las vacas al momento del ordeño, de todos sus cuartos funcionales, siguiendo las directrices indicadas en la Norma Técnica Ecuatoriana NTE INEN-ISO 707 de toma de muestras de productos lácteos y en el Instructivo INT/CL/010 para “Toma de muestras de leche cruda y suero de leche” (AGROCALIDAD, 2020). Posteriormente fueron almacenadas e identificadas en envases plásticos que contenían el conservante bronopol.
Las muestras recolectadas se identificaron con un código alfanumérico y fueron almacenadas y transportadas en refrigeración a una temperatura entre 2 y 8 °C, en un cooler que contenía geles refrigerantes. A continuación fueron analizadas (en menos de 48 horas) en el Laboratorio de Calidad de Leche del Gobierno Provincial de Pichincha que se ubica en el Centro Experimental Uyumbicho, perteneciente a la Facultad de Medicina Veterinaria y Zootecnia de la Universidad Central del Ecuador, ubicado en el cantón Mejía, al sur-oriente de Quito, con una altitud de 2.740 m s.n.m.
Se procedió al análisis de diversos parámetros nutricionales e higiénicos de la leche cruda, los cuales son: porcentaje de grasa, proteína, sólidos totales, sólidos no grasos, lactosa y el recuento de células somáticas, mediante un analizador automático, el Combifoss, equipo que incluye el Milkcoscan y Fossomatic (FOSS, Nils Foss Allé 1, DK-3400 Hilleroed - Denmark) del GADPP.
2.3. Programa de capacitación
Antes de realizar el programa de capacitación fue necesario realizar muestreos previos para conocer la realidad o estado de la calidad de leche cruda bovina producida en el sitio de estudio. Una vez con los resultados, se plantearon temas que permitieran ayudar a mejorar la calidad de leche cruda bovina producida, abordándose temas como: programas de alimentación y suplementos nutricionales enfocados a vacas lecheras, buenas prácticas ganaderas, buenas prácticas de ordeño; de la misma manera, se trataron asuntos como la importancia de la glándula mamaria para la producción láctea, anatomía, lesiones y patologías que se pueden encontrar en este órgano, y la importancia del período seco para la recuperación de la misma. El programa de capacitación se lo realizó de manera personal, es decir, por productor, puesto que, con base en los resultados, se observó que cada uno tenía un problema diferente. Se realizaron visitas de seguimiento, de forma aleatoria, para comprobar que se efectúen las recomendaciones realizadas.
2.4. Análisis estadístico
Los datos obtenidos fueron almacenados en una hoja de Microsoft Excel. Para el análisis de datos se utilizó el programa estadístico libre “R Studio” versión 1.2.5019 (RStudio Inc. Boston, MA, USA), usando una significancia de p < 0,05. Se realizó un análisis estadístico descriptivo y se utilizaron tablas de frecuencias porcentuales para el cumplimiento de la normativa.
Para los resultados cuantitativos (% de grasa, proteína, sólidos totales, sólidos no grasos, lactosa y conteo de células somáticas), se realizó un análisis de la normalidad de los datos mediante la prueba de Kolmogorov-Smirnov, observándose que todos los parámetros no siguen una distribución normal, ya que, el .-valor en todos los casos, fue p < a 0,05, por lo que se utilizó pruebas no paramétricas (prueba de Wilcoxon y Kruskal Wallis, más un análisis post-hoc utilizando la prueba de Mann-Whitney test con una corrección Bonferroni) para la comparación de medias. Estos datos fueron comparados por muestreos individuales y generales, es decir, la media de los muestreos realizados antes y después de la capacitación, así como entre parroquias y cantones.
3. Resultados
3.1. Resultados totales
En la Tabla 1 se describen los valores obtenidos de los parámetros analizados de todas las muestras, dentro de los que se detallan los valores mínimos, máximos, la media, así como el nivel de cumplimiento general y de cada parámetro, respecto a la NTE INEN 9:2012. Se determinó que solamente el 4,02 % (52/1.273) de las muestras, cumplen con los valores referenciales de la normativa nacional, mientras que el 95,98 % (1.243/1.273) no cumple en alguno de los parámetros evaluados. Sin embargo, la gran mayoría de dicha leche sí es apta para el consumo humano, pero requiere ser mejorada en su calidad nutricional.
| Parámetro | Requerimiento NTE INEN 9 | Valor Mínimo | Valor Máximo | Media | Cumple | No cumple |
| Grasa (%) | Mín. 3,2 | 0,38 | 7,89 | 2,34 | 286/1.273 | 987/1.273 |
| 22,47% | 77,53% | |||||
| Proteína cruda (%) | Mín. 2,9 | 1,43 | 6,63 | 3,45 | 1113/1.273 | 160/1.273 |
| 87,43% | 12,57% | |||||
| Sólidos totales (%) | Mín. 11,2 | 6,2 | 16,88 | 11,22 | 543/1.273 | 730/1.273 |
| 42,66% | 57,34% | |||||
| Sólidos no grasos (%) | Mín. 8,2 | 4,35 | 11,22 | 8,86 | 1145/1.273 | 128/1.273 |
| 89,95% | 10,05% | |||||
| Lactosa (%) | 4,8 - 5,5 | 0,1 | 5,47 | 4,66 | 494/1.273 | 779/1.273 |
| 38,81% | 61,19% | |||||
| Células somáticas (CS/ml) | Máx. 700.000 | 4.000 | 13.555.000 | 494.090 | 1.083/1.273 | 190/1.273 |
| 85,07% | 14,93% | |||||
| TOTAL | 52/1.273 | 1.243/1.273 | ||||
| 4,02% | 95,98% | |||||
Table 1. Minimum, maximum, average values and their compliance with NTE INEN 9: total results.
Respecto al porcentaje de grasa, es el parámetro que menor cumplimiento evidencia, pues se encontró que el 77,53 % (987/1.273) de las muestras está por debajo del mínimo estipulado por la legislación local (de 3 %), y solamente el 22,47 % (2.86/1.273) está por encima del mismo. La media del estudio fue de 2,34 % (inferior al mínimo requerido), con un valor mínimo de 0,38 % y un máximo 7,89 %. El segundo parámetro que más se incumple es el porcentaje de lactosa, pues el 61,19 % (779/1.273) de las muestran están por debajo de lo que establece la normativa internacional (la NTE INEN 9:2012 no indica valores de referencia de lactosa), por lo que solamente el 38,81 % (494/1.273) cumple el mínimo requerido de 4,8 %; se determinó un promedio de 4,66 %, con un rango entre 0,10 % y 5,47 %. Asimismo, con base en los dos parámetros anteriores, el porcentaje de sólidos totales muestra que el 57,34 % (730/1.273) no cumple con el valor de referencia (mínimo 11,2%) mientras que el 42,66 % (543/1.273) sí lo hace; el valor mínimo encontrado fue de 6,20 %, el máximo de 16,88 % y una media de 11,22 % (Tabla 1). Respecto al porcentaje de proteína, el 12,57 % (160/1.273) de las muestras no cumplen con el mínimo de 2,9 % establecido por la normativa ecuatoriana, mientras que el 87,43 % (1.113/1.273) sí cumple; asimismo, se encontró una media de 3,45 %, con valores mínimos y máximos de 1,43 % y 6,63 %, respectivamente. En el caso de los sólidos no grasos el 10,05 % (128/1.273) de la leche analizada no cumple con el valor mínimo referencial (8,2 %), mientras que el 89,95 % (1.145/1.273) tienen valores por encima del mismo, encontrándose un valor mínimo de 4,35 %, máximo de 11,22 %, con un promedio de 8,86 % (Tabla 1).
En el caso del recuento de células somáticas, la NTE INEN 9:2012 es bastante permisible con el valor máximo, pues acepta hasta 700.000 CS ml-1, mientras que la normativa internacional señala que valores por debajo de 200.000 CS ml-1 son un indicador de sanidad de la glándula mamaria, aceptándose, por ende, un máximo entre 200.000 y 400.000 CS ml-1. Al comparar los resultados con base en la norma ecuatoriana, se encontró que el 14,93 % (190/1.273) no cumple con legislación ecuatoriana, pues presenta conteos superiores al máximo permitido, mientras que el restante 85,07 % (1.083/1.273), presenta valores inferiores al mismo, con una media de 494.090 CS ml-1 y un rango entre 4.000 y 13.555.000 CS ml-1 (Tabla 1). Al comparar con la normativa internacional, se encontró que el 55,77 % (710/1.273) de las muestras tienen valores menores a las 200.000 CS ml-1, el 18,22 % (232/1.273) entre 200.001 CS ml-1 y 400.000 CS ml-1, y el 26,00 % (331/1.273) más de 400.000 CS ml-1.
3.2. Resultados muestreo inicial: pre-capacitación
En la Tabla 2 se describen los valores obtenidos de los parámetros analizados de todas las muestras, dentro de los que se detallan los valores mínimos, máximos, la media, así como el nivel de cumplimiento general y de cada parámetro, respecto a la NTE INEN 9:2012 en el muestreo inicial, es decir, antes de las capacitaciones. Se determinó que solamente el 4,73 % (30/634) de las muestras, cumplen con los valores referenciales de la normativa nacional, mientras que el 95,27% (604/634) no cumple con alguno de los parámetros evaluados. Nuevamente es necesario indicar que la gran mayoría de dicha leche es apta para el consumo humano, pero requiere ser mejorada en su calidad nutricional.
| Parámetro | Requerimiento NTE INEN 9 | Valor Mínimo | Valor Máximo | Media | Cumple | No cumple |
| Grasa (%) | Mín. 3,2 | 0,38% | 7,89 | 2,58% | 176/634 | 458/634 |
| 27,76% | 72,24% | |||||
| Proteína cruda (%) | Mín. 2,9 | 2,19 | 6,63 | 3,46 | 545/634 | 89/634 |
| 85,96% | 14,04% | |||||
| Sólidos totales (%) | Mín. 11,2 | 7,5 | 16,88 | 11,44 | 307/634 | 327/634 |
| 48,42% | 51,58% | |||||
| Sólidos no grasos (%) | Mín. 8,2 | 6,36 | 11,22 | 8,86 | 565/634 | 69/634 |
| 89,12% | 10,88% | |||||
| Lactosa (%) | 4,8 - 5,5 | 2,31 | 5,34 | 4,62 | 235/634 | 399/634 |
| 37,07% | 62,93% | |||||
| Células somáticas (CS/ml) | Máx. 700.000 | 4.000 | 13.555.000 | 623.530 | 515/634 | 119/634 |
| 81,23% | 18,77% | |||||
| TOTAL | 30/634 | 604/634 | ||||
| 4,73% | 95,27% | |||||
Table 2. Minimum, maximum, average values and their compliance withNTE INEN 9: pre-training sampling.
Respecto al porcentaje de grasa, es el parámetro que menor cumplimiento tiene, pues se encontró que el 72,24 % (458/634) de las muestras está por debajo del mínimo estipulado por la legislación local (de 3 %), y solamente el 27,76 % (176/634) está por encima del mismo. La media del estudio fue de 2,58 % (inferior al mínimo requerido), con un valor mínimo de 0,38 % y un máximo 7,89 %. El segundo parámetro que más incumple es el porcentaje de lactosa, pues el 62,93 % (399/634) de las muestran están por debajo de lo que establece la normativa internacional (el NTE INEN 9:2012 no indica valores de referencia de lactosa), por lo que solamente el 37,07 % (235/634) cumple el mínimo requerido de 4,8 %; se determinó un promedio de 4,62 %, con un rango entre 2,31 % y 5,34 %. Asimismo, en base a los 2 parámetros anteriores, en el porcentaje de sólidos totales el 51,58 % (327/634) no cumple con el valor de referencia (mínimo 11,2 %) mientras que el 48,42 % (307/634) sí lo hace; el valor mínimo encontrado fue de 7,50 %, el máximo de 16,88 % y una media de 11,44 % (Tabla 2).
Respecto al porcentaje de proteína, el 14,04 % (89/634) de las muestras no cumplen con el mínimo de 2,9 % establecido por la normativa ecuatoriana, mientras que el 85,96 % (545/634) sí cumple; asimismo, se encontró una media de 3,46 %, con valores mínimos y máximos de 2,19 % y 6,63 %, respectivamente. En el caso de los sólidos no grasos el 10,88 % (69/634) de la leche analizada no cumple con el valor mínimo referencial (8,2 %), mientras que el 89,12 % (565/634) tienen valores por encima de este, encontrándose un valor mínimo de 6,36 %, máximo de 11,22 %, con un promedio de 8,86 % (Tabla 2).
En el caso del recuento de células somáticas, al comparar los resultados con base en la norma ecuatoriana, se encontró que el 18,77 % (119/634) no cumple con legislación ecuatoriana, pues presenta conteos superiores al máximo permitido, mientras que el restante 81,23 % (515/634), presenta valores inferiores a este, con una media de 623.530 CS ml-1 y un rango entre 4.000 y 13.555.000 CS ml-1 (Tabla 2). Al comparar con la normativa internacional, se encontró que el 54,73 % (347/634) de las muestras tienen valores menores a las 200.000 CS ml-1, el 14,67 % (93/634) entre 200.001 CS ml-1 y 400.000 CS ml-1, y el 88,17 % (559/634) más de 400.000 CS ml-1.
3.3. Resultados muestreo final: poscapacitación
En la Tabla 3, se describen los valores obtenidos de los parámetros analizados de todas las muestras, dentro de los que se detallan los valores mínimos, máximos, la media, así como el nivel de cumplimiento general y de cada parámetro, respecto a la NTE INEN 9:2012 en el muestreo poscapacitación. Se determinó que solamente el 3,44 % (22/639) de las muestras, cumplen con los valores referenciales de la normativa nacional, mientras que el 96,56 % (617/639) no cumple con alguno de los parámetros evaluados. Sin embargo, la gran mayoría de dicha leche sí es apta para el consumo humano, pero requiere ser mejorada en su calidad nutricional.
| Parámetro | Requerimiento NTE INEN 9 | Valor Mínimo | Valor Máximo | Media | Cumple | No cumple |
| Grasa (%) | Mín. 3,2 | 0,41% | 7,22 | 2,10% | 110/639 | 529/639 |
| 17,21% | 82,79% | |||||
| Proteína cruda (%) | Mín. 2,9 | 1,43 | 5,36 | 3,44 | 568/639 | 71/639 |
| 88,89% | 11,11% | |||||
| Sólidos totales (%) | Mín. 11,2 | 6,2 | 15,5 | 11 | 236/639 | 403/639 |
| 36,93% | 63,07% | |||||
| Sólidos no grasos (%) | Mín. 8,2 | 4,35 | 10,58 | 8,86 | 580/639 | 59//639 |
| 90,77% | 9,23% | |||||
| Lactosa (%) | 4,8 - 5,5 | 0,1 | 5,47 | 4,69 | 380/639 | 380/639 |
| 40,53% | 59,47% | |||||
| Células somáticas (CS/ml) | Máx. 700.000 | 4.910 | 9.372.000 | 365.660 | 568/639 | 71/639 |
| 88,89% | 11,11% | |||||
| TOTAL | 22/639 | 617/639 | ||||
| 3,44% | 96,56% | |||||
Table 3. Minimum, maximum, average values and their compliance with NTE INEN 9: post-training sampling.
Respecto al porcentaje de grasa, que es el parámetro que menor cumplimiento tiene, se encontró que el 82,79 % (529/639) de las muestras está por debajo del mínimo estipulado por la legislación local (de 3 %), y solamente el 17,21 % (110/639) está por encima de este. La media del estudio fue de 2,10 % (inferior al mínimo requerido e inferior al muestreo inicial), con un valor mínimo de 0,41 % y un máximo 7,22 %. El segundo parámetro que más incumple es el porcentaje de lactosa, pues el 59,47 % (380/639) de las muestran están por debajo de lo que establece la normativa internacional (el NTE INEN 9:2012 no indica valores de referencia de lactosa), por lo que solamente el 40,53% (380/639) cumple el mínimo requerido de 4,8 %; se determinó un promedio de 4,69 %, con un rango entre 0,10 % y 5,47 %. Asimismo, con base en los 2 parámetros anteriores, el porcentaje de sólidos totales el 63,07 % (403/639) no cumple con el valor de referencia (mínimo 11,2 %) mientras que el 36,93 % (236/639) sí lo hace; el valor mínimo encontrado fue de 6,20 %, el máximo de 15,50 % y una media de 11,00 % (Tabla 3). Respecto al porcentaje de proteína, el 11,11 % (71/639) de las muestras no cumplen con el mínimo de 2,9 % establecido por la normativa ecuatoriana, mientras que el 88,89 % (568/639) sí cumple; asimismo, se encontró una media de 3,44 %, con valores mínimos y máximos de 1,43 % y 5,36 %, respectivamente. En el caso de los sólidos no grasos el 9,23 % (59//639) de la leche analizada no cumple con el valor mínimo referencial (8,2 %), mientras que el 90,77 % (580/639) tienen valores por encima de este, encontrándose un valor mínimo de 4,35 %, máximo de 10,58 %, con un promedio de 8,86 % (Tabla 3).
En el caso del recuento de células somáticas, al comparar los resultados con base en la norma ecuatoriana, se encontró que el 11,11 % (71/639) no cumple con la legislación, pues presenta conteos superiores al máximo permitido, mientras que el restante 88,89 % (568/639), presenta valores inferiores a este, con una media de 365.660 CS ml-1 y un rango entre 4.910 y 9.372.000 CS ml-1 (Tabla 3). Al comparar con la normativa internacional, se encontró que el 56,96 % (364/639) de las muestras tienen valores menores a las 200.000 CS ml-1, el 21,75 % (139/639) entre 200.001 CS ml-1 y 400.000 CS ml-1 y el 21,28 % (136/639) más de 400.000 CS ml-1.
3.4. Comparación entre los resultados pre y poscapacitación entre muestreos, parroquias y cantones
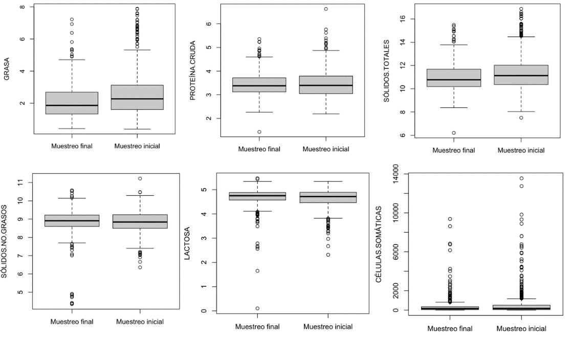
En la Tabla 4 se detalla el análisis estadístico entre los parámetros de leche cruda bovina obtenidos en los muestreos realizados antes y después de la capacitación de los pequeños productores de Pichincha, indicando los valores promedios entre cada uno, así como la comparación de medias entre los muestreos, las parroquias y los cantones estudiados. Asimismo, en la Figura 1, se detallan los diagramas de cajas (bloxplot) de los parámetros analizados, comparando entre los muestreos iniciales y los finales.
| Parámetro | Promedio muestreo inicial | Promedio muestreo final | P valor muestreos | P valor parroquias | P valor cantones |
| Grasa (%) | 2,58 | 2,10 | 6.833e-11* | 2.827e-12* | 0,02229* |
| Proteína cruda (%) | 3,46 | 3,44 | 0.6682 | 1.558e-06* | 0,03575* |
| Sólidos totales (%) | 11,44 | 11,00 | 1.797e-06* | 2.151e-08* | 0,0007183* |
| Sólidos no grasos (%) | 8,86 | 8,86 | 0.1102 | 3.403e-07* | 0,001391* |
| Lactosa (%) | 4,62 | 4,69 | 0.007088* | 0.1963 | 0,07152 |
| Células somáticas (CS/ml) | 623.530 | 365.660 | 0.0653 | 2.2e-16* | 0,01196* |
Table 4. Statistical comparison of raw bovine milk parameters by sampling, parishes and cantons.
* Diferencias significativas entre las medias (p < 0,05). / Significant differences between means (p < 0.05).

Figure 1. Boxplot of the parameters evaluated between the initial and final sampling.
Al analizar los parámetros evaluados, se puede apreciar que el porcentaje de grasa, sólidos totales y lactosa, fueron los que presentaron diferencias significativas entre el muestro inicial y el final, con la particularidad de que, en el caso de la grasa y sólidos totales, los valores disminuyeron en el segundo muestreo, es decir, la calidad composicional se redujo tras el programa de capacitación. En relación con la lactosa, el porcentaje de la misma aumenta poscapacitación, lo cual se debe a la gran disminución del porcentaje de células somáticas luego de la capacitación en higiene del ordeño, que si bien estadísticamente no es significativo, pero numéricamente es muy considerable, pues poscapacitación se redujo en cerca del 45 %, en comparación con los valores iniciales, siendo esta disminución muy relevante desde el punto de vista fisiológico, y por lo tanto de producción de leche, pues se aumenta la misma considerablemente. El resto de los parámetros no mostraron diferencias significativas entre los muestreos (Tabla 4 y Figura 1).
Al revisar la comparación de los parámetros entre las parroquias estudiadas (Tabla 4), se observa que solamente en el caso de la lactosa, no existen diferencias significativas entre las parroquias muestreadas; en el resto de los parámetros sí existe esta diferenciación. Por ejemplo, el porcentaje de grasa difiere principalmente entre las parroquias de El Quinche con Gualea, Lloa, Nanegalito y Píntag; asimismo, entre Gualea con Lloa, San Miguel de los Bancos, Nanegalito, Rumipamba y Yaruquí; finalmente, entre Píntag y San Miguel de los Bancos y Yaruquí. En el caso de la proteína, existen diferencias entre los valores encontrados entre Nanegalito con El Quinche, Píntag y Yaruquí; también entre Yaruquí con Lloa y San Miguel de los Bancos; finalmente, entre Lloa y El Quinche. El porcentaje de sólidos totales es diferente entre Gualea con El Quinche, Lloa, San Miguel de los Bancos y Nanegalito; también entre Píntag con El Quinche, San Miguel de los Bancos y Nanegalito; finalmente, entre San Miguel de los Bancos y Lloa. Respecto a los sólidos no grasos, existen marcadas diferencias entre las parroquias de San Miguel de los Bancos con Checa, El Quinche, Píntag y Yaruquí; también, entre Yaruquí con Lloa y Nanegalito; asimismo, entre Lloa con El Quinche y Yaruquí; y finalmente, entre El Quinche y Nanegalito. Por último, el conteo de células somáticas varía entre las parroquias de Yaruquí con Lloa, San Miguel de los Bancos, Nanegalito, Píntag y Rumipamba; también entre El Quinche con Lloa, San Miguel de los Bancos, Nanegalito, Píntag y Rumipamba; finalmente, entre Checa con San Miguel de los Bancos, Nanegalito y Píntag.
Al comparar los parámetros entre los cantones muestreados, nuevamente solo el porcentaje de lactosa, no presenta diferencias significativas, mientras que en los demás parámetros sí existe esta diferenciación (Tabla 4), siendo en todos los casos entre los cantones Quito y San Miguel de los Bancos.
4. Discusión
En Ecuador se han realizado varios estudios, que han buscado determinar la calidad de la leche cruda, tomando como base la NTE INEN 9:2012; dichos estudios han reportado resultados variables, teniendo una heterogeneidad superior al 90 %, es decir, dependiendo la investigación, los resultados son muy diversos en diferentes parámetros de la leche (Puga-Torres et al., 2022); asimismo, existen muy pocas investigaciones que han analizado el efecto de capacitaciones previas.
En lo concerniente al recuento de células somáticas, los valores medios de ambos muestreos (623.530 y 365.660 CS ml-1), así como el promedio final (494.090 CS ml-1) estuvieron por debajo del máximo permitido por la normativa ecuatoriana (700.000 CS ml-1), con un cumplimiento de la misma superior al 85 %, lo cual es bastante similar a lo reportado por (Mera Ruíz, 2013), quien encontró una media de 494.300 CS ml-1 y un cumplimiento de 87,04 %, así como, en un estudio realizado en varias provincias, en la cual, la media fue de 447.000 CS ml-1 (Contero Callay et al., 2021). Sin embargo, los resultados obtenidos son superiores a los reportados en el estudio realizado en el cantón Rumiñahui (Pichincha), donde se obtuvo un promedio de 254.000 CS ml-1 y un cumplimiento de 95,62 %, lo que puede deberse a mejores controles higiénicos en el momento del ordeño (Montes Guaycha, 2021). Conteos menores de células somáticas son sinónimos de un buen estado sanitario de la glándula mamaria, lo que se traduce en una mejor rentabilidad económica (Valdivia Ávila et al., 2021); por lo que la normativa internacional recomienda valores mucho más bajos de células somáticas, procurando que sean menores de 200.000 CS ml-1, para que la glándula mamaria tenga la capacidad funcional total para la síntesis de lactosa y, por ende, de volumen de leche (Alhussien y Dang, 2018).
La disminución de la cantidad de células somáticas de la leche post ordeño, se debió a que dentro de la capacitación, se puso especial énfasis en las buenas prácticas de ordeño, específicamente en la higiene del personal ordeñador, de los utensilios y del animal, recomendando realizar un continuo lavado de las manos y brazos del ordeñador, lavado correcto de los pezones de las vacas, seguido de secado con toalla individual y de papel descartable, y finalmente un sellado post ordeño obligatorio; estas recomendaciones fueron sugeridas y monitoreadas, ya que las malas prácticas de ordeño, afectan la higiene y salud de la ubre, siendo una de las principales causas del aumento de las células somáticas en la leche (Hernández Reyes & Bedolla Cedeño, 2008), como parte de la respuesta inmunitaria, producto de amenazas de microorganismos, principalmente patógenos, a la glándula mamaria de las vacas lecheras. Esto, a su vez, permitió el aumento del volumen de leche, pues cuando existe un proceso infeccioso, el aumento de células somáticas ocasiona una disminución en la síntesis de lactosa, por un daño a los lactocitos, con lo cual el ingreso de agua se ve afectado, disminuyendo el volumen de leche (Alhussien y Dang, 2018; Pegolo et al., 2021; Reyes et al., 2017).
Al revisar los valores del porcentaje de lactosa, se obtuvo un promedio final de 4,66 %, encontrándose un cumplimento de tan solo el 38,81 %, respecto al mínimo de 4,8 % establecido en la normativa internacional, lo cual es muy similar al trabajo realizado en Rumiñahui (Pichincha) donde reporta una media de 4,79 % y un cumplimiento de 38,10 % (Montes Guaycha, 2021). La lactosa es el componente que determina el volumen de leche, por lo que su aumento está ligado a mayor producción láctea, donde su concentración puede estar influenciada por la densidad calórica de la dieta, pero el principal factor que podría justificar los resultados debajo de lo recomendado es la presencia de mastitis subclínica, que causa inflamación, disfunción en la permeabilidad entre sangre y glándula mamaria y altera el balance osmótico, lo que conlleva a una menor producción de lactosa en el lactocito y, por ende, la disminución en el volumen de leche (Costa et al., 2019).
Respecto al porcentaje de grasa, que en nuestra investigación tuvo un incumplimiento del 77,53 % de todas las muestras analizadas, es similar al realizado por Mera Ruíz (2013), que en 409 muestras de Machachi (provincia de Pichincha), encontraron que el 84,84 % de estas tuvieron valores inferiores a la legislación local; asimismo, en Rumiñahui-Pichincha se determinó que el 69,40 % (n=160) de las muestras analizadas, incumplían la NTE INEN 9:2012 (Montes Guaycha, 2021). Muy por el contrario, otros estudios presentaron un alto cumplimiento del porcentaje de grasa, por ejemplo, en la provincia del Carchi, solo el 7,47 % de las muestras (n = 616) presentaron valores inferiores al 3 % (De la Cruz et al., 2018), mientras que en Manabí, en los cantones Pedernales y El Carmen, se obtuvieron valores entre 2,67 % y 6,71 % de grasa, donde las muestras con niveles bajos de grasa fueron muy pocas (Vallejo Torres et al., 2018). En una investigación en haciendas ganaderas de la provincia de Pichincha se determinó que el valor de grasa promedio fue de 3,92 %, lo que demuestra que en grandes productores, se destina mayor cantidad de recursos para mejoramiento de potreros, suplementos alimenticios, etc., lo cual favorece una mejoría en cuanto a este parámetro (Espinosa Benítez, 2017). En un estudio retrospectivo de gran alcance, donde se analizó información de 99.271 muestras de leche cruda, provenientes de 12 provincias de Ecuador, se encontró un alto cumplimiento del parámetro, incluso llegando a un promedio de 3,80 % de grasa (Contero Callay et al., 2021).
La grasa constituye el parámetro que presenta mayor variabilidad en la leche, siendo dependiente de diversos factores, entre los que destacan el nutricional, genético y/o fisiológico (Ambuludi et al., 2017), lo cual puede explicar los valores encontrados en esta investigación, debido a un muy pobre manejo zoosanitario, especialmente desde el punto de vista nutricional, ya que la grasa está directamente relacionada con esta característica (De la Cruz et al., 2018). La disminución del porcentaje de grasa indica que la capacitación nutricional no tuvo un efecto positivo en las vacas investigadas, siendo una de las principales razones el hecho de que pertenecen a pequeños productores de pocos recursos económicos, que imposibilita a los mismos, por ejemplo, adquirir alimento balanceado, proporcionar a sus animales sales minerales o suplementos alimenticios, inclusive con problemas en la siembra y mantenimiento de potreros de calidad; esto fue evidenciado durante los programas de capacitación, en donde se visualiza que la suplementación alimenticia no es una práctica rutinaria en los productores, a más que en Ecuador, cuando existe sequía o no se ha dado una correcta fertilización, los pastos (en tallo y hojas) se lignifican, disminuyendo la digestibilidad de los mismos, y ocasionando disminución de la cantidad de grasa en leche, debido a que las bacterias ruminales no tiene la capacidad de digerir la celulosa y hemicelulosa, a más de que los pastos de buena calidad incrementan el porcentaje de ácidos grasos lácteos (Vargas Romero, 2016). Asimismo, razas como la Holstein presentan menores valores de grasa en comparación con la raza Jersey (Acosta-Acosta et al., 2020), en este estudio, la mayoría de vacas fueron mestizas con características raciales de Holstein, aunque en el norocidente de Pichincha, también se encuentran mezclas con razas cebuinas. Finalmente, puede deberse al síndrome de depresión de grasa láctea, el cual se caracteriza porque la leche presenta cantidades bastante bajas de grasa, siendo ocasionado por bajos niveles de fibra de la dieta y una gran cantidad de ácidos grasos insaturados, lo que termina afectando el pH ruminal, con un incremento y acumulación de ácido láctico, lo que termina afectando la síntesis de ácidos grasos volátiles (propiónico, acético y butírico), junto con una excesiva secreción de insulina, reduciendo los precursores de la formación de grasa láctea (Koch y Lascano, 2018; Siurana et al., 2023).
Respecto al porcentaje de sólidos totales, el valor promedio final (11,22 %) fue ligeramente superior al mínimo aceptable de la norma ecuatoriana (11,20 %), pero con un bajo cumplimiento de todas las muestras, de tan solo 42,66 %. Estos valores son superiores a los reportados por Montes Guaycha (2021) y por Mera Ruíz (2013), donde el promedio fue de 11,12 % y 10,41 % y un cumplimiento de 36,90 % y 21,76 %, respectivamente. Asimismo, los resultados obtenidos son inferiores a lo reportado por Contero Callay et al. (2021), quienes reportaron una media de 12,36 %. Es importante mencionar que los sólidos totales corresponden a la suma de grasa, proteína, lactosa y minerales presentes en la leche y por ende, un aumento o disminución importante en uno de esos componentes impacta directamente sobre el valor total de sólidos totales, que es uno de los factores más determinantes de la calidad de la leche y el rendimiento para la elaboración de derivados (Guevara-Freire et al., 2019). Uno de los escenarios que genera disminución de los sólidos totales es el incremento del volumen de leche pues la cantidad producida es mayor y, por ende, la concentración de nutrientes es menor (Acosta-Acosta et al., 2020).
Respecto a la disminución de los valores de sólidos totales, al igual que lo explicado en el parámetro de grasa, varían dependiendo de la dieta administrada a los animales, así como su edad y el momento de la lactancia; siendo también inversamente proporcional al volumen de leche. Por lo tanto, una de las razones posibles, de la reducción de los porcentajes de componentes nutricionales en la leche post capacitación, se puede deber, principalmente, a que al aumentar el volumen de leche (por la reducción de los valores de células somáticas), se afectó en especial el porcentaje de grasa y, por ende, el de sólidos totales, ya que los mismos son inversamente proporcionales al volumen de leche (Costa et al., 2019; Foroutan et al., 2019).
Respecto al porcentaje promedio de proteína en este trabajo (3,45 %) y el cumplimiento de la normativa (87,43 %) es similar a lo reportado por Mera Ruíz (2013) y Montes Guaycha (2021), quienes reportaron cumplimientos de 90,22 % y 77,50 %, respectivamente, mientras que (Contero Callay et al., 2021) encontraron un promedio de 3,12 %, en todos los casos, presentando los promedios por encima del mínimo requerido por la legislación local (2,9 %). De manera general, relativamente, buen porcentaje de proteína se debe a que generalmente alcanza niveles adecuados incluso con dietas basadas mayoritaria o únicamente en mezclas de forrajes de tipo gramínea y leguminosa (Magan et al., 2021); sin embargo, es importante señalar que este parámetro también puede estar influenciado por la etapa de lactación o la genética de las vacas (Calvache García y Navas Panadero, 2012).
Es necesario indicar que investigaciones realizadas en países como Estados Unidos, donde los programas de capacitación a productores han sido exitosos, suelen abarcar entrenamientos continuos durante unos cuatro meses, junto con refuerzos periódicos, pues esa metodología permite una mejor implementación de buenas prácticas en los ganaderos (Rodrigues y Ruegg, 2005). Pese a la duración relativamente corta de la capacitación efectuada en nuestra investigación, es relevante que los conteos de células somáticas mejoraron, lo que indirectamente permite un aumento en la producción de lactosa y, por ende, en el volumen de leche (Costa et al., 2019)
5. Conclusiones
El presente estudio aporta importantes resultados obtenidos a partir de un plan piloto de mejoramiento de la calidad de leche de pequeños productores de la provincia de Pichincha, la mayor productora de leche de Ecuador. Se evidenció que existe un alto porcentaje de muestras que no cumplen con las consideraciones estipuladas en la legislación ecuatoriana de leche cruda, sin embargo, la gran mayoría se consideran aptas para el consumo humano. Al final de la investigación se evidenció que la capacitación en buenas prácticas de ordeño fue beneficiosa, pues los productores siguieron a cabalidad las recomendaciones indicadas, lo que conllevó a una disminución numérica considerable (aunque no estadísticamente) del conteo de células somáticas, lo que se traduce en aumento del volumen de producción de leche de los pequeños productores y, por ende, de sus ingresos económicos. Sin embargo, en el presente caso las capacitaciones sobre estrategias nutricionales, debido a sus limitantes económicas y el manejo de pastizales, no resultaron ser beneficiosas para los productores, pues del porcentaje de grasa y sólidos totales, existió una disminución estadísticamente significativa de sus valores luego de la capacitación, mientras que para el resto de los parámetros no existió ninguna diferencia. Se recomienda reforzar las capacitaciones de nutrición, alimentación, manejo de pasturas, etc., para incrementar sus valores; así como una asesoría constante en programas de capacitación a los productores, apoyada desde la academia, la empresa privada y pública, para aumentar la calidad de la leche en todos los aspectos.
Contribuciones de los autores
Byron Puga-Torres: conceptualización, investigación, metodología, recursos, redacción – borrador original, redacción – revisión y edición.
Dennisse Carolina Meneses Cunama: investigación validación, redacción – revisión y edición.
James Orlando Meneses Pineda: investigación validación, redacción – revisión y edición.
María Carolina Montenegro Almeida: investigación validación, redacción – revisión y edición.
Ismael Demóstenes Morales Pérez: validación, redacción – revisión y edición.
César Raúl Guanoluisa Vargas: redacción – revisión y edición.
Tania Villarreal: curación de datos, análisis formal, redacción – revisión y edición.
Implicaciones éticas
Los autores declaran que no existen implicaciones éticas, pues la investigación no involucró a seres humanos, ni se manipularon especímenes animales. La obtención de las muestras de leche fue realizada por los propietarios durante el proceso regular de ordeño manual.
Conflicto de interés
Los autores declaran que no existen conflictos de interés financieros o no financieros que podrían haber influido en el trabajo presentado en este artículo.
Agradecimientos
Agradecimiento a los pequeños productores de la provincia de Pichincha por su colaboración con el estudio.
Referencias
Acosta-Acosta, Y., La O-Michel, Á. L., y La O-Cantalapiedra, L. A. (2020). La composición de la leche, su variación según raza y la lactancia. Hombre, Ciencia y Tecnología, 24(1), 93-98. http://portal.amelica.org/ameli/journal/441/4411976012/index.html
AGROCALIDAD. (2020). Instructivo INT/CL/010 para “Toma de muestras de leche cruda y suero de leche”. Rev. 7. https://www.agrocalidad.gob.ec/wp-content/uploads/2020/05/calech3.pdf
Alhussien, M. N., y Dang, A. K. (2018). Milk somatic cells, factors influencing their release, future prospects, and practical utility in dairy animals: An overview. Veterinary World, 11(5), 562-577. https://doi.org/10.14202/vetworld.2018.562-577
Ambuludi, J., Jumbo, N., Fernández, P., y Vargas, J. (2017). Control de calidad de leche cruda en la parroquia Zumbi, provincia de Zamora Chinchipe. Revista del Colegio de Médicos Veterinarios del Estado Lara, 13(1), 31-38. https://revistacmvl.jimdofree.com/suscripci%C3%B3n/volumen-13-1/
Calvache García, I., y Navas Panadero, A. (2012). Factores que influyen en la composición nutricional de la leche. Revista Ciencia Animal, 1(5), 73-85. https://ciencia.lasalle.edu.co/ca/vol1/iss5/7/#:~:text=Resumen,de%20lactancia%20y%20la%20gen%C3%A9tica.
Centro de la Industria Láctea [CIL]. (2015). La Leche del Ecuador: Historia de la lechería ecuatoriana. CIL. http://www.pichincha.gob.ec/phocadownload/publicaciones/la_leche_del_ecuador.pdf
Contero Callay, R. E., Requelme, N., Cachipuendo, C., y Acurio, D. (2021). Calidad de la leche cruda y sistema de pago por calidad en el Ecuador. La Granja, 33(1), 31-43. https://doi.org/10.17163/lgr.n33.2021.03
Corporación Financiera Nacional [CFN]. (2022). Ficha sectorial: leche y sus derivados. Producción de leche cruda de vaca; elaboración de productos lácteos. CFN. https://www.cfn.fin.ec/wp-content/uploads/downloads/biblioteca/2022/fichas-sectoriales-2-trimestre/Ficha-Sectorial-Leche-y-derivados.pdf
Costa, A., Lopez-Villalobos, N., Sneddon, N. W., Shalloo, L., Franzoi, M., De Marchi, M., y Penasa, M. (2019). Invited review: Milk lactose—Current status and future challenges in dairy cattle. Journal of Dairy Science, 102(7), 5883-5898. https://doi.org/10.3168/jds.2018-15955
De la Cruz, E. G., Simbaña Díaz, P., y Bonifaz, N. (2018). Gestión de calidad de leche de pequeños y medianos ganaderos de centros de acopio y queserías artesanales, para la mejora continua. caso de estudio: Carchi, Ecuador. La Granja, 27(1), 124-136. https://doi.org/10.17163/lgr.n27.2018.10
De los Reyes González, G., Molina Sánchez, B., y Coca Vásquez, R. (2010). Calidad de leche cruda. En Primer Foro sobre Ganadería Lechera de la Zona Alta de Veracruz 2010. https://www.uv.mx/apps/agronomia/foro_lechero/Bienvenida_files/CALIDADDELALECHECRUDA.pdf
Espinosa Benítez, J. L. (2017). Evaluación mediante citometría de flujo de la calidad de leche de los bovinos (Bos taurus) de las provincias de Pichincha y Cotopaxi en las muestras tomadas por Pasteurizadora Quito en el periodo noviembre 2016- enero 2017. Universidad de Guayaquil. http://repositorio.ug.edu.ec/handle/redug/24825
Foroutan, A., Guo, A. C., Vazquez-Fresno, R., Lipfert, M., Zhang, L., Zheng, J., Badran, H., Budinski, Z., Mandal, R., Ametaj, B. N., y Wishart, D. S. (2019). Chemical composition of commercial cow’s milk. Journal of Agricultural and Food Chemistry, 67(17), 4897-4914. https://doi.org/10.1021/acs.jafc.9b00204
Guevara-Freire, D., Montero-Recalde, M., Valle, L., y Avilés-Esquivel, D. (2019). Calidad de leche acopiada de pequeñas ganaderías de Cotopaxi, Ecuador. Revista de Investigaciones Veterinarias del Perú, 30(1), 247-255. https://doi.org/10.15381/rivep.v30i1.15679
Hernández Reyes, J. M., y Bedolla Cedeño, J. L. C. (2008). Importancia del conteo de células somáticas en la calidad de la leche. Revista Electrónica de Veterinaria, 9(9), 1-34. https://www.redalyc.org/articulo.oa?id=63617329004
Instituto Nacional de Estadísticas y Censos [INEC]. (2022). Encuesta de Superficie y Producción Agropecuaria Continua 2021. https://www.ecuadorencifras.gob.ec/encuesta-superficie-produccion-agropecuaria-continua-2021/
Instituto Nacional de Estadísticas y Censos [INEC]. (2023). Encuesta de Superficie y Producción Agropecuaria Continua 2022. https://www.ecuadorencifras.gob.ec/documentos/web-inec/Estadisticas_agropecuarias/espac/espac_2022/PPT_%20ESPAC_%202022_04.pdf
Koch, L. E., y Lascano, G. J. (2018). Milk fat depression: Etiology, theories, and soluble carbohydrate interactions. Journal of Animal Research and Nutrition, 3(2), 2. https://doi.org/10.21767/2572-5459.100046
Magan, J. B., O′Callaghan, T. F., Kelly, A. L., y McCarthy, N. A. (2021). Compositional and functional properties of milk and dairy products derived from cows fed pasture or concentrate‐based diets. Comprehensive Reviews in Food Science and Food Safety, 20(3), 2769-2800. https://doi.org/10.1111/1541-4337.12751
Mera Ruíz, P. A. (2013). Evaluación de la calidad de la leche mediante citometría de flujo, proveniente de bovinos de la parroquia Machachi, provincia de Pichincha. Universidad de las Fuerzas Armadas - ESPE. http://repositorio.espe.edu.ec/handle/21000/7465
Montes Guaycha, M. A. (2021). Determinación de la calidad de la leche cruda producida por pequeños ganaderos del Cantón Rumiñahui, provincia de Pichincha por medio de análisis automáticos. Universidad Central del Ecuador. http://www.dspace.uce.edu.ec/handle/25000/25415
Norma Técnica Ecuatoriana NTE INEN 9:2012. Leche cruda. Requisitos. Quinta revisión. https://www.gob.ec/sites/default/files/regulations/2018-10/Documento_BL%20NTE%20INEN%209%20Leche%20cruda%20Requisitos.pdf
Norma Técnica Ecuatoriana NTE INEN-ISO 707. (2014). Leche y productos lácteos. Directrices para la toma de muestras (ISO 707:2008, IDT).
Pegolo, S., Mota, L. F. M., Bisutti, V., Martinez-Castillero, M., Giannuzzi, D., Gallo, L., Schiavon, S., Tagliapietra, F., Revello Chion, A., Trevisi, E., Negrini, R., Ajmone Marsan, P., y Cecchinato, A. (2021). Genetic parameters of differential somatic cell count, milk composition, and cheese-making traits measured and predicted using spectral data in Holstein cows. Journal of Dairy Science, 104(10), 10934-10949. https://doi.org/10.3168/jds.2021-20395
Puga-Torres, B., Aragón Vásquez, E., Ron, L., Álvarez, V., Bonilla, S., Guzmán, A., Lara, D., y De la Torre, D. (2022). Milk quality parameters of raw milk in Ecuador between 2010 and 2020: A systematic literature review and meta-analysis. Foods, 11(21), 3351. https://doi.org/10.3390/foods11213351
Reyes, J., Sanchez, J., Stryhn, H., Ortiz, T., Olivera, M., y Keefe, G. P. (2017). Influence of milking method, disinfection and herd management practices on bulk tank milk somatic cell counts in tropical dairy herds in Colombia. The Veterinary Journal, 220, 34-39. https://doi.org/10.1016/j.tvjl.2016.12.011
Rodrigues, A. C. O., y Ruegg, P. L. (2005). Actions and outcomes of Wisconsin dairy farms completing milk quality teams. Journal of Dairy Science, 88(7), 2672-2680. https://doi.org/10.3168/jds.S0022-0302(05)72944-1
Siurana, A., Cánovas, A., Casellas, J., y Calsamiglia, S. (2023). Transcriptome profile in dairy cows resistant or sensitive to milk fat depression. Animals, 13(7), 1199. https://doi.org/10.3390/ani13071199
Terán Flores, J. M. (2019). Análisis del mercado de la leche en Ecuador: Factores determinantes y desafíos. Universitat Politècnica de València. http://hdl.handle.net/10251/124490
Torres Gutiérrez, X. E. (2018). Estudio de la producción de la industria láctea del cantón Cayambe en el período 2009-2015. Universidad Andina Simón Bolívar. http://hdl.handle.net/10644/6052
Valdivia Ávila, A., Rubio Fontanills, Y., y Beruvides Rodríguez, A. (2021). Calidad higiénico-sanitaria de la leche, una prioridad para los productores. Revista de Producción Animal, 33(2), 1-13. http://scielo.sld.cu/scielo.php?script=sci_arttext&pid=S2224-79202021000200001
Vallejo Torres, C. A., Díaz Ocampo, R. G., Morales Rodríguez, W. J., Godoy Espinoza, V. H., Calderon Vega, N. E., y Cegido Cabrera, J. C. (2018). Calidad físico-química e higiénico sanitaria de la leche en sistemas de producción doble propósito, Manabí-Ecuador. Revista de Investigación Talentos, 5(1), 35-44. https://talentos.ueb.edu.ec/index.php/talentos/article/view/28
Vargas Romero, J. M. (2016). Calidad de los forrajes para rumiantes. Sitio Argentino de Producción Animal. https://www.produccion-animal.com.ar/produccion_y_manejo_pasturas/pastoreo%20sistemas/211-Calidad.pdf
Notas de autor
bpuga@uce.edu.ec
Información adicional
e-location: e4493