

Omisión de nutrientes y dosis de nitrógeno en la acumulación de biomasa, composición bromatológica y eficiencia de uso de nitrógeno de raigrás diploide perenne (Lolium perenne)
Nutrient omission and nitrogen rates on biomass accumulation, bromatological composition and nitrogen use efficiency of perennial diploid ryegrass (Lolium perenne)
Siembra
Universidad Central del Ecuador, Ecuador
ISSN: 1390-8928
ISSN-e: 2477-8850
Periodicidad: Semestral
vol. 4, núm. 1, 2017
Recepción: 05 Mayo 2017
Aprobación: 04 Septiembre 2017
Autor de correspondencia: fgutierrez@uce.edu.ec
Resumen: Este trabajo de investigación se dividió en dos experimentos, el primero evaluó el efecto de la omisión de nutrientes en la acumulación de biomasa y composición bromatológica de raigrás diploide perenne (Lolium perenne) y el segundo el efecto de la aplicación de dosis de N (0, 70, 140, 210, 280, 350 y 420 kg de N/ha/año) en la acumulación de biomasa, composición bromatológica y eficiencia de uso N del mismo cultivar. Los nutrientes omitidos fueron N, P, K, Mg y S. Se detectaron diferencias estadísticamente significativas (p>0.05) para la producción de biomasa (kg MS/ha/corte) y contenido de proteína (%) con la omisión del N, mientras que la omisión del P, K, Mg solamente afectó la producción de biomasa, pero no la composición bromatológica. La omisión de S no tuvo incidencia sobre la producción de biomasa o la composición bromatológica. La aplicación de N incrementó la producción de biomasa y el contenido de proteína a medida que se incrementaron las dosis. Los datos de MS en respuesta a la aplicación de dosis de N se utilizaron para calcular la EAN que en el caso de raigrás perenne fue de 14 kg de MS/kg de N utilizado. Con esta información y la utilización de parcelas de omisión de N se puede predecir la dosis de N necesaria para el siguiente ciclo del cultivo. La utilización del GreenSeeker permitió obtener datos de NDVI que confirmaron el efecto de N en la acumulación MS y EAN. Finalmente, el costo de producir localmente un kg de MS de raigrás disminuye con el incremento de las dosis de N encontrándose costos que varían entre 0.05 y 0.06 dólares/kg MS con las dosis ≥ de 140 kg de N/ha/año, en comparación con el costo del kg de concentrado que está entre 0.50 -0.55 dólares.
Palabras clave: fertilización nitrogenada, biomasa acumulada, pasturas, Ecuador.
Abstract: This research work was split into two experiments. The first evaluated the effect of nutrient omission on biomass accumulation and bromatological composition of perennial diploid ray grass (Lolium perenne) while the second assessed the effect of N rate application (0, 70, 140, 210, 280, 350 and 420 kg N/ha/year) on biomass accumulation, bromatological composition and N use efficiency of the same cultivar. Omitted nutrients were N, P, K, Mg and S. Statistically significant differences (p>0.05) were found for biomass production (kg DM/ ha/cut) and protein content (%) with N omission, while the omission of P, K and Mg only affected biomass production, but not the bromatological composition. The omission of S did not affect either biomass production or bromatological composition. Nitrogen application increased biomass production and protein content with the increment in N rates. The DM data in response to the application of N rates were utilized to calculate AEN which in the case of the studied ray grass was of 14 kg DM/kg of applied N. With this information and the implementation of N omission plots the N rate necessary for the following crop cycle can be predicted. A GreenSeeker was used as a tool to obtain NDVI data which confirmed the effect of N in the accumulation of DM and AEN. Finally, the cost to produce one kg of ray grass biomass decreases with the increment of N rates. It was demonstrated that the production costs vary from 0.05 to 0.06 dollars/kg DM with the N rates ≥ 140 kg/ha/year, in comparison with the cost of one kg of concentrate which varies from 0.50 to 0.60 dollars per unit weight.
Keywords: nitrogen fertilization, accumulated biomass, grassland, Ecuador.
1. Introducción
La ganadería es responsable de la mayor parte del uso mundial de la tierra, debido a que las áreas con pastizales y tierras dedicadas a la producción de alimentos para el ganado representan casi el 80 % del total de la tierra agrícola. Los cultivos forrajeros se siembran en un tercio de todas las tierras cultivadas, mientras que la superficie total de tierra ocupada por pastos equivale al 26 % de la superficie terrestre libre de hielo (FAO, 2015).
Los costos de alimentación de los vacunos de leche representan del 45 al 60 % del costo total de producción (Heinrichs, 2015), siendo la alimentación con pasto la más rentable. Según Rua Franco (2016), la producción con pastos usa hasta 10 veces menos concentrados que la producción estabulada, sin embargo, aunque el manejo animal con pastos produzca menos leche alcanza un margen más amplio entre egresos e ingresos. Al respecto se ha establecido a nivel mundial que las ganaderías que mayor cantidad de pasto incluyen en la alimentación son las más rentables como es el caso de las explotaciones de Nueva Zelanda y Australia (Salado, 2011).
Uno de los problemas ambientales que enfrenta la ganadería a nivel global es la producción de metano (CH4) en el proceso digestivo de los animales. Se considera que un animal adulto puede producir entre 60 y 126 kg de CH4 al año en condiciones de Argentina, mientras que en condiciones de producción en California una vaca que produce entre 8 y 10 mil litros de leche en el año podría generar entre 500 y 700 kg diarios de CH4, lo cual equivale al CO2 producido por un vehículo 4x4 recorriendo 55 kilómetros al día durante un año. La clave para reducir las emisiones de CH4 es la alimentación, un vacuno que se alimenta con pastos y forrajes emite mucho menos CH4 que uno que recibe una dieta compuesta por pastos y concentrados (Rua Franco, 2016).
La producción ganadera de Ecuador utiliza pastos y forrajes como la principal fuente de alimentación. La encuesta de superficie y producción agropecuaria del 2013 reporta que un 40 % de las tierras en el sector rural se usan para la producción de pastos (INEC, 2013), es decir, más que cualquier otro cultivo, bosque o paramo. A pesar de esta condición, los rendimientos de leche en Ecuador son bajos, en la Sierra la producción es de 6,46 litros de leche/vaca/ día, en la Costa de 3,11 y en el Oriente de 4,50. El bajo rendimiento productivo de los animales refleja la calidad y cantidad de alimento que consumen, por lo tanto, en Ecuador se deberían evaluar sistemas de producción que mejoren la alimentación de los hatos.
La presente investigación se desarrolló en el Centro Académico Experimental de la Facultad de Agronomía de la Universidad Central del Ecuador con el objetivo de evaluar los cambios en la producción de materia seca y el valor nutritivo del pasto raigrás, variedad One 50, en respuesta a la omisión de nutrientes y a la fertilización nitrogenada.
2. Materiales y métodos
Esta investigación se desarrolló en dos fases, la primera evaluó el efecto de la omisión de nutrientes y la segunda determinó la respuesta al nitrógeno (N), en ambos casos, en el rendimiento de materia seca (MS) y el valor nutritivo de raigrás.
Experimento de omisión de nutrientes consistió en comparar el comportamiento de una parcela de raigrás que recibió dosis adecuadas de todos los nutrientes con parcelas en las que se omitió la aplicación individual de cada uno de esos nutrientes, el esquema de omisión y dosis de nutrientes se presenta en la Tabla 1.
| Tratamiento | kg/ha/año | ||||
| N | P2O5 | K2O | MgO | SO4 | |
| -N | 0 | 100 | 100 | 60 | 60 |
| -P | 180 | 0 | 100 | 60 | 60 |
| -K | 180 | 100 | 0 | 60 | 60 |
| -Mg | 180 | 100 | 100 | 0 | 60 |
| -S | 180 | 100 | 100 | 60 | 0 |
| Completo | 180 | 100 | 100 | 60 | 60 |
| Como fuentes de los nutrientes se utilizaron diferentes combinaciones de urea, superfosfato triple, fosfato diamónico, muriato de potasio, langbeinita, sulfato de amonio, óxido de magnesio y óxido de magnesio. | |||||
En el experimento de N se utilizaron dosis de este nutriente (Tabla 2) y cada uno de los tratamientos recibió una cantidad complementaria de fósforo (P), potasio (K), magnesio (Mg) y azufre (S) para que estos nutrientes no limiten el rendimiento y permitan observar adecuadamente el comportamiento de N.
| N | P2O5 | K2O | MgO | SO4 |
| kg/ha/año | ||||
| 0 | 100 | 100 | 60 | 60 |
| 70 | 100 | 100 | 60 | 60 |
| 140 | 100 | 100 | 60 | 60 |
| 210 | 100 | 100 | 60 | 60 |
| 280 | 100 | 100 | 60 | 60 |
| 350 | 100 | 100 | 60 | 60 |
| 420 | 100 | 100 | 60 | 60 |
| Las fuentes de nutrientes utilizadas fueron urea, superfosfato triple, muriato de potasio y langbeinita. | ||||
Se utilizó un diseño de bloques completamente al azar en los dos experimentos, las unidades experimentales fueron parcelas de 3 x 3 m y cada uno de los tratamientos tuvo 3 repeticiones. Las parcelas se sembraron utilizando 22 g de semilla de pasto raigrás por unidad experimental y se hizo una sola aplicación de P, K, Mg y S a la siembra. Las dosis de N se fragmentaron 8 veces durante el ciclo de modo que las fracciones se aplicaron cada 30 días luego del corte de igualación.
La producción de materia verde se determinó cuando el pasto tenía 4 semanas de edad ya que en el lugar donde se desarrolló el experimento fisiológicamente el pasto llega a su punto máximo de crecimiento, este proceso se repitió por 3 veces, con la ayuda de un cuadrante de 0.3 x 0.3 m, se realizó un corte a ras de suelo en cada parcela y se pesó la biomasa acumulada, una muestra de la biomasa se secó en una estufa por 24 horas a 70 C° (Latimer, 2012), se determinó el contenido de MS y se calculó la producción total por hectárea.
La misma muestra de MS se molió en una malla 750 micras y en este material se realizaron los análisis de proteína (PB, método semimicro Kjeldahl), extracto etéreo (EE, método Soxhlet), fibra bruta (FB, método de referencia de la AOAC: 978.10) y cenizas (CE, método de referencia de la AOAC: 942.05) (Latimer, 2012).
El extracto libre de nitrógeno (ELN) se obtuvo por diferencia utilizando la siguiente ecuación:

Para evaluar el efecto del N se corrió una regresión entre las dosis de N y la producción de MS y utilizando esta información se procedió a calcular la eficiencia agronómica de N (EAN) (IPNI, 2012). La EAN es la cantidad de biomasa producida por cada kg de N aplicado de acuerdo con la siguiente fórmula:

Donde R es el rendimiento con aplicación de N, RNo es el rendimiento sin aplicación de N y D es la cantidad de N aplicada para obtener R.
Para determinar el índice de vegetación normalizado diferenciado (NDVI, por sus siglas en inglés) (TRIMBLE, 2012) se utilizó el equipo GreenSeeker que mediante un sensor óptico mide la intensidad el color verde y el tamaño de la planta (Ortiz-Monasterio & Guerra-Zitlalapa, 2015).
3. Resultados y discusión
3.1. Experimento de omisión de nutrientes
3.1.1. Efecto de la omisión de nutrientes en la producción de materia seca
El efecto de la omisión de nutrientes en la producción de MS se presenta en la Figura 1 El tratamiento que omitió la aplicación de S y el que recibió todos los nutrientes (completo) fueron estadísticamente iguales y tuvieron los mayores rendimientos promedio por corte (4536 y 4194 kg MS/ha/corte, respectivamente). Los tratamientos con rendimientos intermedios e iguales estadísticamente fueron aquellos en los cuales se omitió la aplicación de K, P y Mg (3922, 3896 y 3860 kg MS/ha/corte, respectivamente). Finalmente, el tratamiento de menor rendimiento fue aquel en el que se omitió N con 1879 kg MS/ha/corte.

Al respecto, Paladines (2004) indica que las variedades modernas de pastos se han desarrollado para responder a altos niveles de fertilización y señala las especies europeas son particularmente seleccionadas para responder a altos niveles de N. En países como Holanda y Reino Unido los niveles de N usados en la producción sobrepasan en promedio los 400 N kg/ha/ año. Este comportamiento se observa también en los datos de este experimento de omisión conducido en un suelo derivado de ceniza volcánica, típico de la producción de pastos en la Sierra centro y norte de Ecuador. Un gran porcentaje de los suelos en producción ganadera en estas áreas ha recibido cantidades apreciables de nutrientes durante varios años y el enriquecimiento del suelo con estos nutrientes, con excepción de N, se observa en los resultados de la acumulación de biomasa con la omisión de nutrientes. Debido a las radicales transformaciones de N en el suelo, este nutriente casi siempre es deficiente y su aplicación tiene alta respuesta en términos de acumulación de biomasa (Alvarez, 2012; Álvarez & Steinbach, 2010). Una forma sencilla de definir los requerimientos de N en los pastos sería la utilización de pequeñas parcelas de omisión de N en las operaciones ganaderas.
3.1.2. Efecto de la omisión de nutrientes sobre la composición bromatológica
El efecto de la omisión de nutrientes sobre la composición bromatológica del pasto raigrás a la cuarta semana después de la siembra se presenta en la Tabla 3. Se encontró que solamente varía estadísticamente el contenido de proteína con la omisión del nutriente (P < 0.05), siendo el tratamiento de -N el que acumula la menor cantidad de proteína con 9.12 %, los valores más altos los registraron la omisión de P y la omisión de K con 12.23 y 12.82 %, respectivamente y valores intermedios se presentaron en los tratamientos -Mg, -S y la fertilización completa con 10.78, 11.54 y 11.42 %, respectivamente. Esta condición ha sido ampliamente reportada en la literatura en diversos países en América Latina (Fontanetto et al., 2010; Teuber et al., 1988; Villalobos & Sánchez, 2010). Los cambios observados en el resto de parámetros de la composición bromatológica evaluados (fibra, extracto etéreo, cenizas y extracto no nitrogenado) no fueron estadísticamente diferentes.
| Tratamiento | PB* | FB | EE | Ceniza | ENN | |||||
| % | ||||||||||
| -N | 9.12 | a** | 24.34 | a | 3.14 | a | 13.94 | a | 49.47 | a |
| -P | 12.23 | b | 23.20 | a | 3.10 | a | 12.99 | a | 48.47 | a |
| -K | 12.82 | b | 24.37 | a | 2.89 | a | 13.33 | a | 46.57 | a |
| -Mg | 10.78 | ab | 24.36 | a | 3.05 | a | 13.04 | a | 48.80 | a |
| -S | 11.54 | ab | 24.73 | a | 2.79 | a | 13.18 | a | 47.76 | a |
| Completo | 11.42 | ab | 24.41 | a | 2.84 | a | 13.00 | a | 48.31 | a |
| * PB=Proteína Bruta; FB=Fibra Bruta; EE=Extracto Etéreo; ENN=Elementos no Nitrogenados ** Valores numéricos con diferente letra dentro de una columna son estadísticamente significativos según Tukey (P < 0.05). | ||||||||||
3.2. Experimento de respuesta a la aplicación de dosis de nitrógeno
3.2.1. Producción de materia seca
El efecto de la adición de dosis progresivas de N en el promedio de rendimiento de MS de cuatro cortes consecutivos de raigrás se presenta en la Figura 2. Se observa una tendencia cuadrática en la acumulación de biomasa y aun cuando la mayor respuesta se obtuvo con la dosis de 420 kg/ha/año la tendencia indicaría que en las condiciones de experimentación todavía habría respuesta a la aplicación de dosis más altas de N. Trabajos realizados por varios autores a través del tiempo han documentado el mismo comportamiento con diferentes dosis de N y rendimientos variables de raigrás (Alvarez, 2012; Fontanetto et al., 2010; Mazzanti et al., 1997; Villalobos & Sánchez, 2010). Debido a las transformaciones del N en el suelo y las consecuentes pérdidas (García, 2002; Havlin et al., 2014), la cantidad de N disponible en el suelo es relativamente pequeña lo que obliga a los productores a suplir este nutriente con regularidad a las praderas mediante fertilizaciones programadas (Fontanetto et al., 2010; Villalobos & Sánchez, 2010).

3.2.2. Composición bromatológica
Se ha demostrado que en condiciones no limitantes de humedad y de otros nutrientes, la fertilización con N aumenta la concentración de N total y de proteína bruta (PB) en la biomasa de las gramíneas (Whitehead, 1995). En este experimento se observó, al igual que el comportamiento de la MS, que el contenido de PB aumenta a medida que se incrementaron las dosis de aplicación de N al suelo (Figura 3 y Tabla 4). Sin la aplicación de N al suelo la cantidad de PB acumulada en el tejido fue solamente de 9.1 %, logrando la mayor acumulación con la dosis de 350 kg/ha año (16.6 %), cantidad que luego decrece con la siguiente dosis de N en un comportamiento cuadrático. Trabajos realizados para evaluar la respuesta del raigrás anual a la fertilización nitrogenada en Argentina encontraron que dosis de 0 y 250 kg N/ha/año tuvieron 7.81 y 21.8% de PB, respectivamente, duplicando el contenido de PB con el uso de fertilización nitrogenada. Por otro lado, Buitrón and Paladines (2000) encontraron, en trabajos conducidos también con raigrás perenne en Pintag, Pichincha, una respuesta lineal en la acumulación de MS y contenido de PB. Cuando no se aplicó N obtuvieron valores de 9,8 %, mientras que con 300 y 450 kg N/ha/año el contenido de PB fue de 15.7 % y 18.7%.

El contenido de cenizas también experimentó cambios en fusión de los niveles de N utilizados. El contenido más alto se registró con N0 con 11, 97 % y el más bajo con N210 con 11, 4 %, mientras que N70, N140, N280, N350 y N420 registraron valores intermedios 11.8, 11.8, 11.77, 11.8, y 11.53 %, respectivamente (Tabla 4).
El análisis del extracto no nitrogenado (ENN) también encontró que se produjeron cambios como efecto de los tratamientos. Los contenidos más bajos los registraron N350 y N420 con 43,77 y 46,1%, respectivamente, mientras que los más altos se alcanzaron con N0 con 50, 63%. Los valores intermedios se lograron con N70, N140, N210 y N 280 con 47.57, 46.43, 47.68 y 46.42 %, respectivamente (Tabla 4). Se ha demostrado que la fertilización nitrogenada reduce el contenido de ENN en raigrás anual y avena durante el rebrote invernal (Marino et al., 1996), información que coincide los datos obtenidos en esta investigación.
| Tratamientos | PB | FB | EE | Cenizas | ENN |
| kg N/ha/año | % | ||||
| 0 | 9.10 d | 25.03 a | 3.27 a | 11.97 a | 50.63 a |
| 70 | 12.00 c | 25.13 a | 3.40 a | 11.80 ab | 47.57 ab |
| 140 | 14.13 b | 24.47 a | 3.17 a | 11.80 ab | 46.43 ab |
| 210 | 14.20 b | 23.33 a | 3.39 a | 11.40 b | 47.68 ab |
| 280 | 14.10 b | 24.03 a | 3.48 a | 11.77 ab | 46.62 ab |
| 350 | 16.60 a | 24.30 a | 3.53 a | 11.80 ab | 44.77 b |
| 420 | 15.87 a | 23.10 a | 3.40 a | 11.53 ab | 46.10 b |
| * PB=Proteína Bruta; FB=Fibra Bruta; EE=Extracto Etéreo; ENN=Elementos no Nitrogenados ** Valores numéricos con diferente letra dentro de una columna son estadísticamente significativos según Tukey (P < 0.05). | |||||
3.2.3. Eficiencia Agronómica del Nitrógeno (EAN)
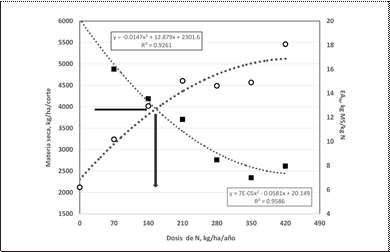
La información obtenida con las curvas de respuesta a la aplicación de N no es suficiente para lograr determinar que dosis del nutriente se debe aplicar en una condición particular de producción de raigrás debido a las características particulares del comportamiento del N en el suelo. Además, debido a las mismas razones, el análisis de N en el suelo, en la mayoría de los casos, no es una herramienta que ayude en la determinación de la cantidad de N necesaria para lograr un rendimiento determinado (Cassman et al., 2002). Es necesario buscar herramientas que permitan el diagnóstico basándose en la planta antes que en el suelo (Witt et al., 2006). Sin embargo, las curvas de N pueden utilizarse para definir la EAN, es decir la cantidad de MS que se puede lograr con cada kg de N aplicado utilizando la siguiente relación: EAN = (R+N –R-N)/dosis N. Esta información se presenta en la Tabla 5. Como era de esperarse, la EAN disminuye conforme se incrementan las dosis de N, por esta razón es posible utilizar un método gráfico para encontrar cual sería la EAN en el punto que ésta empieza a decrecer de forma manifiesta, este punto es la intercepción de la curva de N con la curva de EAN como se presenta en la Figura 4. La intercepción se produce a una EAN de alrededor de 14 kg de MS/kg de N utilizado. Trabajos similares conducidos en Ecuador con raigrás perenne documentaron valores de EAN de 13 kg MS/kg N (Paladines, 2004), de 18 a 25 en la zona del Angel, Carchi (Suquillo, 2001) y de 30 en invierno y 10 en verano en la zona de Machachi, Pichincha (Morejon, 1997). Finalmente, IPNI (2012) indica en forma más global que el rango típico de la EAN fluctúa entre 10 y 25 kg MS/kg N, en sistemas de pastos bien manejados.
| Dosis de N kg/ha/año | Rendimiento MS/ha/corte | EAN kg MS/kg N |
| 0 | 2119 | |
| 70 | 3240 | 16 |
| 140 | 4015 | 14 |
| 210 | 4604 | 12 |
| 280 | 4490 | 8 |
| 350 | 4566 | 7 |
| 420 | 5458 | 8 |

Una vez obtenida la EAN se puede fácilmente deducir la dosis de N a aplicar solamente cambiando algebraicamente los términos de la fórmula original [Dosis de N = (R+N – R-N)/EAN]. La EAN calculada en este experimento puede ser usada para determinar la dosis de N necesaria para lograr rendimientos adecuados de raigrás var One 50 en todo el dominio de recomendación (zona en la que son iguales las condiciones de clima y suelo). Para lograr esto solamente es necesario tener una o varias parcelas se omisión de N localizadas dentro del dominio de recomendación y utilizar el rendimiento de estas parcelas (R-N) para para el cálculo correspondiente. El rendimiento de raigrás con aplicación de N (R+N), necesario también para el cálculo, se puede obtener midiendo el rendimiento en una parcela vecina a la parcela de omisión de N, es decir en el campo general que recibió N. De esta forma se puede determinar la dosis de N para cada ciclo. Una vez obtenida y probada la dosis se puede mejorar la EAN (más MS por kg de N aplicado, es decir más rendimiento con la misma dosis de N) mediante manejo (mejores formas de aplicación de N, otras fuentes de N, fraccionamiento cuidadoso de la dosis, etc.). De esta forma es la planta la que finalmente determina la dosis de N necesaria para lograr la meta de rendimiento y esta estrategia es fácil de implementar y manejar por los agricultores.
3.2.4. Índice de vegetación normalizado (NDVI)
En los últimos tiempos se han desarrollado herramientas que permiten caracterizar la respuesta de los cultivos al N mediante la combinación de la medida de la intensidad el color verde y el tamaño de la planta. Uno de estos equipos es el GeenSeeker (TRIMBLE, 2012) que permite obtener el índice de vegetación diferencial normalizado (NDVI, por sus siglas en inglés) como parámetro para el diagnóstico rápido de las condiciones de estrés, especialmente las causadas por falta de N en los cultivos. El NDVI relaciona las mediciones de luz del espectro rojo e infrarrojo para identificar la vegetación verde y viva (las plantas absorben luz roja y reflejan la infrarroja cercana). De esta manera, el NDVI hace evidente el estado fisiológico de los cultivos en el campo, las plantas sanas y vigorosas absorben más luz roja y reflejan más luz infrarroja que aquellas con problemas fisiológicos como en el caso de las plantas bien nutridas con N en contraste con las plantas deficientes en ese nutriente (Arnall, 2009; Gutiérrez-Soto et al., 2011; Ortiz-Monasterio & Guerra-Zitlalapa, 2015; Ross & López de Sabando, 2016). De esta manera, se puede utilizar el NDVI para mejorar la fertilización nitrogenada mediante la determinación de la cantidad de N aplicada y la consecuente respuesta del cultivo en la producción de biomasa como se observa en el Figura 5 y en la Tabla 6 que presentan los datos obtenidos con la medición del NDVI en raigrás Var One 50 bajo diferentes dosis de N.
| Dosis de N | NDVI | Biomasa |
| kg/ha | kg MS/ ha/corte | |
| 0 | 0.72 c* | 2118 f |
| 70 | 0.76 bc | 3239 e |
| 140 | 0.80 ab | 4015 d |
| 210 | 0.84 ab | 4252 cd |
| 280 | 0.85 a | 4490 bc |
| 350 | 0.87 a | 4974 b |
| 420 | 0.88 a | 5458 a |
| * Valores numéricos con diferente letra dentro de una columna son estadísticamente significativos según Tukey (P < 0.05). | ||
En trabajos realizados para medir la respuesta al N en la producción de semilla en raigrás perenne en Nueva Zelanda (Chynoweth et al., 2010) se observó que el mejor rendimiento de biomasa de raigrás se obtuvo con las dosis entre 130 y 170 kg N/ha/año, con una producción de semilla entre 1500 y 2000 kg7ha y un NDVI de 0,8. Además, se observó que la fertilización con las dosis menores de N disminuía el NDVI y que las dosis superiores no lo aumentaban. Estos resultados son muy similares a los obtenidos en esta investigación (Tabla 6).
Por otro lado, Ferrari et al. (2011) al evaluar varios métodos de diagnóstico de fertilidad nitrogenada para el cultivo de trigo en la Región Pampeana Argentina determinaron que el NDVI puede predecir la respuesta de la producción de trigo con un 82 % de confianza, observando que los mejores niveles de N estaban entre 120 y 160 kg/ha.


3.2.5. Relación Costo Beneficio de la fertilización Nitrogenada
Para analizar los costos de producción se consideraron los costos de establecimiento, fertilización, manejo y riego del raigrás y éstos se relacionaron con la producción de la MS obtenida en cada uno de los tratamientos. Los resultados obtenidos indican que los costos más altos se logran con N0 con 0,11 dólares/kg MS, pero los costos disminuyen con la fertilización, así, N70 tiene un costo de 0,07 dólares/ kg MS y N140, N210 y N280 tienen un costo 0,06 dólares/kg MS. Los costos de N350 y N420 fueron de 0.05 dólares/kg MS. Como se puede observar en el Figura 6, después el N140 los costos no disminuyen significativamente ya que el incremento de producción también no es considerable.
Se considera que el costo del kg de MS de pasturas en Ecuador es de 0.06 de dólares y que el costo del kg de concentrado es de 0.50 a 0.555 dólares (Peña-Roa, 2016), por esta razón, es evidente la ventaja de producir leche con una mayor cantidad de pasturas en la dieta del animal para lograr que el costo de producir un litro de leche pueda estar en 0.30 y 0.35 dólares.
4. Conclusiones
La omisión de nutrientes en el raigrás perene permitió demostrar que el nutriente que más controla la acumulación de biomasa (kg/MS/ha) y el contenido de proteína bruta es el N. La omisión de P, K, Mg afectaron la acumulación de biomasa, pero no el contenido bromatológico del pasto. La omisión de S no afectó la producción de biomasa y no alteró la composición bromatológica del pasto.
La aplicación de dosis de N demostró el efecto de la aplicación de tasas crecientes de este nutriente igualmente incrementan la producción de biomasa y el contenido de proteína bruta. El EAN calculada es de 14 kg de pasto/kg de N aplicado. Esta información, junto con los datos de la parcela de omisión de N, sirven para calcular la dosis de N necesaria para el siguiente ciclo del cultivo.
Finalmente, el uso adecuado de los fertilizantes nitrogenados puede optimizar el costos de producción, se demostró que el mejor costo de producción de un kg de MS es de 0,06 y se logra utilizando la dosis de 140 kg N/ha/año, pero mayores niveles de fertilización no disminuyen el costo.
Referencias
Alvarez, R. (2012). Revisión del efecto del momento de aplicación de nitrógeno en trigo sobre el rendimiento y la proteína en grano. Paper presented at the XIX Congreso Latinoamericano y XXIII Congreso Argentino de la Ciencia del Suelo “Latinoamérica unida protegiendo sus suelos”, Mar de Plata, Argentina.
Álvarez, R., & Steinbach, H. (2010). Asociación entre el nitrógeno del suelo y el rendimiento de los cultivos. In R. Álvarez, G. Rubio, C. Álvarez, & R. Lavado (Eds.), Fertilidad de suelos caracterización y manejo en la región de Pampeana (pp. 217-229). Buenos Aires, Argentina: Facultad de Agronomía, Universidad de Buenos Aires.
Arnall, B. (2009). Manejo de los fertilizantes basado en sensores: Donde ha estado y hacia donde va. Paper presented at the XII Congreso Internacional de Ciencia Agrícolas, Mexicali, México.
Buitrón, E., & Paladines, O. (2000). Respuesta del Ryegrass perenne (Lolium perenne) a la fertilización de mantenimiento y en mezcla con trébol blanco (Trifolium repens), Pintag-Pichincha. Rumipamba, 14(1), 85-87.
Cassman, K. G., Dobermann, A., & Walters, D. T. (2002). Agroecosystems, Nitrogen-use efficiency and nitrogen management. Ambio, 31(2), 132-140.
Chynoweth, R., Rolston, M., Trethewey, J., & Mc- Cloy, B. (2010). Predicting spring nitrogen for perennial ryegrass seed crops from NDVI. Paper presented at the 7th International Herbage Seed Conference, Dallas, USA.
FAO. (2015). Producción animal. Retrieved from http://www.fao.org/animal-production/es/
Ferrari, M., Castellarín, j., Sainz, H., Vivas, H., Melchiori, R., & Gudejl, V. (2011). Evaluación de métodos de diagnóstico de fertilidad nitrogenada para el cultivo de trigo en la región Pampeana. Paper presented at the Compendio de trabajos e investigaciones, año 2011, Estación Experimental Agropecuaria Rafaela, Rafaela, Argentina.
Fontanetto, H., Keller, O., Gambaudo, S., Albrecht, J., Juana, M., Boschetto, H., & Chico, B. (2010). Fertilizacion con nitrógeno y azufre en Rye Grass. Paper presented at the Planteos ganaderos en siembra directa, Buenos Aires, Argentina.
García, F. (2002). Generalidades sobre fertilidad de suelos y nutrición de plantas. Paper presented at the Conferencia sobre fertilización balanceada y nutrición mineral de los cultivos tropicales: banano, palmito, pimienta, piña y maracuyá.
Gutiérrez-Soto, M. V., Cadet-Piedra, E., Rodríguez- Montero, W., & Araya-Alfaro, J. M. (2011). GreenSeeker™ and the diagnosis of crop health. Agronomía Mesoamericana, 22(2), 397-403.
Havlin, J., Beaton, J., Tisdale, S., & Nelson, W. (2014). Soil fertility and fertilizers. An introduction to nutrient management (Eight ed.): Pearson Prentice Hall.
Heinrichs, J. (2015). De la alimentación a la leche: Comprendiendo la Función del Rumen. Pennsylvania: PennState University.
INEC. (2013). Encuesta de superficie y producción agropecuaria contínua. Quito, Ecuador: Dirección de Estadísticas Agropecuarias y Ambientales.
IPNI. (2012). 4R de la Nutrición de Plantas. Norcross, USA: IPNI.
Latimer, G. W. (2012). Official methods of analysis of AOAC International: AOAC international.
Marino, M., Mazaati, A., & Echeverría, H. (1996). Fertilización nitrogenada de cultivos forrajeros invernales. Revista Argentina de Producción Animal, 1(16), 248-249.
Mazzanti, A., Marino, M., Lattanzi, F., Echeverria, H., & Andrade, F. (1997). Efecto de la fertilización nitrogenada sobre el crecimiento y la calidad del forraje de avena y raigrás anual en el sudeste bonaerense. Boletín Técnico. Buenos Aires, Argentina: INTA EEA.
Morejon, O. (1997). Respuesta de paturas de ray grass (lolium perenne) y trebol blanco (Trifolium repens) a la inoculación con rizobium y la fertilizacion nitrogenada. Machachi-Pintag. (Ingeniero Agrónomo), Universidad Central del Ecuador, Quito, Ecuador.
Ortiz-Monasterio, I., & Guerra-Zitlalapa, L. (2015). Uso del sensor de mano Greenseeker: sistema de diagnóstico para la fertilización de presi- ción. México City, México: CIMMYT.
Paladines, O. (2004). Principales recursos forrajeros para las tres regiones del Ecuador. Quito, Ecuador: Facultad de Ciencias Agrícolas, Universidad Central del Ecuador.
Peña-Roa, P. (2016). Lechería de altura. Infotambo Andina, 26-37.
Ross, F., & López de Sabando, M. (2016). Diagnóstico de nitrógeno en cebada y trigo: NDVI y cobertura. In H. Forján, Z. López , & J. Domingo (Eds.), Actualización técnica en cultivos de cosecha fina 2015/16 (pp. 122-145). Buenos Aires, Argentina: INTA.
Rua Franco, M. (2016). Qué huella dejar? Infotambo, 12, 40-45.
Salado, E. (2011). Confinar las vacas o intensificar los sistemas pastoriles? Rosario, Argentina: Universidad Nacional de Rosario.
Suquillo, A. (2001). Respuesta al Ryegrass a la aplicacion de nitrógeno en el El Angel- Carchi. (Ingeniero Agrónomo), Universidad Central del Ecuador, Quito, Ecuador.
Teuber, N., Rosso, L., & Winkler, C. (1988). Niveles y frecuencias de apllcaclon de nitrógeno en Ballica anual Sabalan1. Agricultura Técnica, 48(4), 370-374.
TRIMBLE. (2012). GreenSeeker Handheld Crop Sensor. USA: Trimble Navigation Limited.
Villalobos, L., & Sánchez, J. M. (2010). Evaluación agronómica y nutricional del pasto ryegrass perenne tetraploide (Lolium perenne) producido en lecherías de las zonas altas de Costa Rica. II. Valor nutricional. Agronomía Costarricense, 34(1), 43-52.
Whitehead, D. (1995). Grassland nitrogen. Oxon, United Kingdom: CAB International.
Witt, C., Pasuquin, J., & Dobermann, A. (2006). Toward a site specific nutrient management approach for maize in Asia. Better Crops, 90(2), 28-31.
Notas de autor
fgutierrez@uce.edu.ec


