Dossier: Gestión del Agua y del Riego
Determinación de la brecha hídrica en la distribución de caudales a partir de la cuantificación de la demanda hídrica por uso de suelo. Estudio de caso del canal de riego Tumbaco, Pichincha, Ecuador
Determination of difference in flow distribution in the quantification of the hydric demand for land use. Case study Tumbaco’s irrigation channel, Pichincha, Ecuador
Determinación de la brecha hídrica en la distribución de caudales a partir de la cuantificación de la demanda hídrica por uso de suelo. Estudio de caso del canal de riego Tumbaco, Pichincha, Ecuador
Siembra, vol. 11, núm. 1, e6264, 2024
Universidad Central del Ecuador

Recepción: 08 Febrero 2024
Revisado: 19 Marzo 2024
Corregido: 15 Abril 2024
Recibido del documento revisado: 30 Abril 2024
Aprobación: 15 Mayo 2024
Resumen: En Ecuador, la administración, operación y mantenimiento de sistemas de riego se encuentra gestionada por juntas de usuarios, las cuales distribuyen el recurso hídrico enfrentando diferentes problemáticas relacionadas con el desconocimiento de la demanda hídrica de los cultivos y condiciones propias del sistema, lo cual crea una brecha entre la oferta y la demanda. Esta investigación propone el desarrollo de una metodología de cálculo del requerimiento hídrico en el canal de riego Tumbaco, con la finalidad de optimizar este recurso, mediante la incorporación de variables de superficie de tierra cultivable, tipo de cultivo, factores edáficos y climáticos para cuantificar adecuadamente los caudales que deben ser entregados en los diferentes sectores de influencia directa del canal. La metodología propuesta es adaptable a diversos territorios y han sido consideradas diferentes estrategias de aplicación de agua, de acuerdo con la realidad de cada sistema. Entre los principales resultados se obtuvo que la irrigación de los ramales que conforman el sistema se encuentra sobreestimada; en el caso del ramal Alangasí-La Merced se establece un requerimiento de 28,80 l s ha-1. Al compararlo con el caudal entregado por la junta de riego, se observa que se distribuye un 247,22 % más de lo necesario, el ramal Chichipata 241,66 l s ha-1 con + 44,83 %, ramal Churoloma 132,79 l s ha-1 + 35,55 %, ramal El Pueblo 97,3 l s ha-1 + 54,16 %, Ilaló 220,83 l s ha-1 + 44,91 %, La Viña 68,34 l s ha-1 + 119,49 % y San Blas 20,13 l s ha-1 + 496,12 %. La metodología desarrollada se puede aplicar para gestionar programas de manejo sustentable de agua a gran escala y como modelo de gestión del recurso hídrico, así como servir de línea base para establecer modelos econométricos en la recaudación de tarifas de cobro por consumo de agua de riego.
Palabras clave: riego, uso de suelo, requerimiento hídrico, optimización de agua, evapotranspiración.
Abstract: In Ecuador, the administration, operation, and maintenance of irrigation systems are the responsibility of water irrigation boards. These organizations distribute water resources facing different problems related to unknown water demands of crops and other specific system parameters, which creates an imbalance between offer and demand. This research proposes the development of a methodology to estimate water requirements in the Tumbaco irrigation canal, to optimize the use of this resource. The methodology incorporates variables such as cultivable land area, crop type, edaphic(land) factors, and climate conditions, to accurately quantify flow rates that should be delivered to the sectors directly influenced by the canal. The proposed methodology is adaptable to various territories, and different water application strategies have been considered according to each system’s reality. Among the main results, it was found that the current irrigation of the branches that make up the canal is higher than the actual demand. For the Alangasí-La Merced branch, a requirement of 28.80 l s ha-1 was established, which compared to the flow delivered by the irrigation board, it was observed that 247.22% more water is distributed than necessary. Similar overestimation results were found in all other branches analyzed: Chichipata 241.66 l s ha-1 (+44.83%), Churoloma branch 132.79 l s ha-1 (+35.55%), El Pueblo branch 97.3 l s ha-1 (+54.16%), Ilaló branch 220.83 l s ha-1(+44.91%), La Viña 68.34 l s ha-1 (+119.49%), and San Blas 20.13 l s ha-1 (+496.12%). The developed methodology can be applied to manage large-scale sustainable water management programs and as a water resource management model. It can also serve as a baseline for establishing econometric models in the collection of irrigation water consumption fees.
Keywords: irrigation, land use, optimization of water, hydric demand, evapotranspiration.
1. Introducción
El cambio climático y las actividades humanas han contribuido a la escasez de agua dulce en el mundo (Huang et al., 2021). La irrigación ha sido una de las actividades productivas de mayor consumo ya que absorbe más del 70 % de las extracciones mundiales de agua dulce (FAO, 2020), lo cual causa presión sobre los recursos hídricos (Wang et al., 2016).
América Latina no es la excepción, pues en la región también existe presión sobre los recursos hídricos, ya que la agricultura de regadío creció de 8 millones a 52 millones de hectáreas en 2016, lo que implica una continua extracción de agua en la región (Villalobos et al., 2017).
El riego en Ecuador implica un consumo elevado en el volumen de agua ya que el Estado autoriza, en flujo constante diario, un caudal de 682,50 m. s-1 para uso consuntivo de agua y el riego consume un caudal de 560,9 m. s-1, lo que representa el 82 % del caudal autorizado, por lo cual el riego se convierte en la actividad de mayor uso consuntivo (Ministerio del Ambiente, Agua y Transición Ecológica [MAATE], 2021). La distribución de agua no es óptima ya que las juntas de riego, encargadas de proporcionar el agua a sus comunidades, asignan caudales uniformes para todas las unidades productivas agrícolas [UPA] independientemente del área, tipo de cultivo o forma de riego (Instituto Interamericano de Cooperación para la Agricultura [IICA], Fundación Colegio de Postgraduados en Ciencias Agrícolas, San Luis Huexotla [Fundación COLPOS], Programa de Cambio Climático, Recursos Naturales y Gestión de Riesgos Productivos [PCRG], y Eje Transversal Innovación y Tecnología [ETIT], 2017) provocando sobreirrigación y subirrigación, sumado a la ineficiencia en el manejo del agua por parte de los agricultores debido a varios factores, entre los que destaca el tipo de conducción de agua, desde la captación hasta el inadecuado tiempo de aplicación en sistemas de riego por surco, aspersión o goteo a nivel comunitario, lo que agrava aún más el problema (Cercado Damiany, 2022).
Lo expuesto indica la relación existente entre la oferta y la demanda de agua relacionada a las diferentes actividades antrópicas en Ecuador, con énfasis en la producción agrícola, ya que al identificar posibles excesos de entrega de agua a los agricultores o déficit en la entrega de caudales a los distintos sistemas productivos puede identificarse una brecha hídrica de un área o sistema de riego que permitirá establecer estrategias de manejo adecuado de recursos hídricos (Leiva-Zelada y Zelada-Muñoz, 2024).
Se estima que existen alrededor de 4.000 usuarios de riego en la parroquia Tumbaco que consideran a la agricultura como la principal actividad económica de subsistencia (GAD Tumbaco, 2020). El desarrollo de la agricultura se ha visto favorecido ya que la zona cuenta con una amplia extensión de topografía plana con diversidad de climas y suelo, lo cual hace que los cultivos se desarrollen de manera óptima.
El sistema de riego Tumbaco no cuenta con una distribución de caudal en los diferentes ramales en función a las necesidades hídricas de los cultivos, lo que afecta directamente a las actividades agropecuarias de la zona (Ortiz et al., 2021). El presente artículo busca validar e implementar una metodología de cuantificación de requerimiento hídrico, a partir del uso de suelo en el canal de riego Tumbaco, para determinar si el caudal autorizado por parte de la Junta de Regantes de Tumbaco es óptimo en cuanto al caudal requerido calculado. Se determina sobreirrigación en los siete ramales que conforman el sistema de riego Tumbaco.
2. Materiales y Métodos
El área de estudio se ubica en Tumbaco, cantón Quito, provincia de Pichincha, coordenadas 0°12′48″S 78°24′03″O. El sistema de riego Tumbaco consta de un canal principal, con una longitud de 21,76 km, y siete ramales (Figura 1), los cuales son: ramal Alangasí-La Merced 3,83 km, ramal Ilaló 13,65 km, ramal Chichipata 8,63 km, ramal Churoloma 6,95 km, ramal El Pueblo 8,16 km, ramal La Viña 4,36 km y ramal San Blas 2,99 km (GAD Tumbaco, 2015). Se presentan diferentes sistemas de conducción: recubierto con cemento, tubería o en tierra, así como distintos tipos de sistemas de riego, como son surcos, goteo y aspersión (Ortiz et al., 2021).

Figure 1. Dynamics of water distribution in the Tumbaco irrigation system.
2.1. Uso de suelo
Se realizó una recategorización de uso de suelo obtenido del catastro elaborado en el año 2016 en cada uno de los siete ramales que forman parte del canal del riego Tumbaco (Aguirre Escobar, 2017; Andrade Betancourt, 2018; Chasiluisa Yanchatuña, 2017; Cisneros Vaca, 2018; Estévez Cadena, 2017; Maigua Barreno, 2017; Montecé Calderón, 2018; Ochoa Ortega, 2017; Tipantiza Chicaiza, 2020). La mencionada recategorización determinó que los principales cultivos que se encuentran en el área de estudio son: pasto, aguacate, maíz, hortalizas, cítricos, tomate, frutales, alfalfa, ciclo corto (fréjol, haba, papa) y bosque (coníferas, eucalipto), proceso que fue apoyado mediante la interpretación de imágenes satelitales (landsat) del año 2016.
2.2. Coeficiente de cultivo
La cuantificación de la demanda hídrica con fines de gestión de riego se realiza mediante el coeficiente de cultivo (Guerra et al., 2015); este determina la relación existente entre la evapotranspiración de cultivo y la evapotranspiración de referencia (Allen et al., 2006).
A nivel mundial se utiliza la información generada por el boletín n.o 56 de la FAO, el cual establece parámetros referenciales, pero varios estudios locales determinan diferentes rangos de datos de Kc debido a la influencia local de factores, como son la variedad de cultivares, clima, evapotranspiración de cultivo (Guerra et al., 2015), así como cambios en la vegetación y la cobertura del suelo (Allen et al., 2006). Razón por lo cual es necesario utilizar este coeficiente adaptado a la zona de estudio en caso de existir (Espinosa y Rivera, 2016).
En la Tabla 1 se observan los valores del coeficiente para cada cultivo. Para cultivos que no se encuentran dentro de los valores estimados en la mencionada publicación se procedió a realizar una búsqueda bibliográfica, como es el caso de bosque para especie conífera (Allen et al., 2006) y eucalipto (Alves et al., 2013), obteniendo un valor medio de 0,91 para bosque, esto debido a que el uso de suelos en estas categorías es mixto.
Para especies frutales se considera dos tipos: frutales de hueso y pepita con Kc de 1,15 y 1,2, respectivamente, dando un promedio de 1,18. La categoría ciclo corto engloba a los cultivos de fréjol con un Kc medio de 1,05, haba con 1,15 y papa con 1,15, obteniéndose un valor medio de Kc de 1,12.
| Tipo de cultivo | Kc inicial | Kc medio | Kc final | Autor |
| Bosque eucalipto | - | 0,91 | - | Alves et al. (2013) y Allen et al. (2006) |
| Pasto | 0,90 | 0,95 | 0,95 | Allen et al. (2006) |
| Aguacate | 0,60 | 0,85 | 0,75 | |
| Maíz | - | 1,2 | 0,60-0,35 | |
| Hortalizas | 0,70 | 1,05 | 0,95 | |
| Cítricos | 0,75 | 0,70 | 0,70 | |
| Tomate | - | 1,15 | 0,70-0,90 | |
| Frutales | - | 1,18 | - | |
| Alfalfa | 0,40 | 0,95 | 0,90 | |
| Ciclo corto | - | 1,12 | - |
Table 1. Main crops identified with Kc in the Tumbaco irrigation system.
2.3. Análisis de información climática
Las condiciones atmosféricas: radiación, temperatura, la humedad atmosférica y la velocidad del viento influyen sobre el proceso de la evapotranspiración (Allen et al., 2006). La precipitación y la temperatura influyen en cambios bruscos de la ET ya que se ha llegado a determinar una relación de datos entre sí (Kuzay et al., 2022).
Para este estudio se generaron bases de datos de las siguientes variables climatológicas: temperatura oC, precipitación mm, velocidad del viento m s-1, heliofanía en horas, evaporación mm y humedad relativa %, durante 31 años a paso diario, correspondientes al periodo 1990-2021, de la estación climatológica ordinaria de Tumbaco administrada por el INAMHI, lo que se realizó mediante la función climatol para la homogenización de las diferentes variables meteorológicas e indicadores de climatología (Adeyeri et al., 2022).
2.4. Estimación de precipitación efectiva
La precipitación efectiva [Pe], en comparación con la precipitación total [P], expresa con mayor precisión la cantidad de agua que los cultivos pueden utilizar productivamente (Tigkas et al., 2016). La precipitación efectiva está influenciada por diversos factores, como la cantidad de riego, las características del cultivo, tierra, suelo y lluvia (Ali y Mubarak, 2017). Por ello, es importante establecer un modelo óptimo para su cálculo. Para estimar la precipitación efectiva se utilizó el método recomendado por el Servicio de Conservación de Suelos del Departamento de Agricultura de los Estados Unidos [USDA-SCS], expresado en la ecuación [1] (Dastane, 1978).
[1]2.5. Estimación de evapotranspiración de referencia
Se seleccionaron cuatro métodos de cálculo de la evapotranspiración de referencia 1. Thornthwaite, 2. FAO Penman-Monteith, 3. Hargreaves-Samani, 4. Tanque evaporímetro. Los tres primeros se consideran metodologías indirectas obtenidas mediante análisis físicos, la cuarta metodología se considera un método de medición directa. La selección se realizó de acuerdo a la disponibilidad de variables climatológicas y teniendo en cuenta las metodologías de cuantificación que tienen mayor aceptación en estudios de recursos hídricos en Ecuador. Para el cálculo de la evapotranspiración de referencia, dependiendo de la metodología utilizada, se consideró información climática relacionada a temperatura oC, precipitación mm, velocidad del viento ms-1, evaporación mm y humedad relativa % del periodo 1990-2021 de la estación meteorológica La Tola, que se encuentra ubicada en el área de estudio.
2.5.1. Ecuación de Thornthwaite
Thornthwaite ha sido ampliamente utilizado en Ecuador para el cálculo de balances hídricos en la región andina en pastos (Franco Puco, 2018), en ecosistemas de páramo (Guamán Caballero y Rodas Velarde, 2022) y en microcuencas de la región amazónica (Poma y Usca, 2020).
La ecuación fundamental del modelo (ecuación [2]) se encuentra basada en función de la temperatura media mensual con un índice de corrección basado en la altitud. Se calcula el índice de calor a partir de las temperaturas medias del aire obteniendo el índice de calor anual [I], determinado como la suma de doce valores del índice de calor mensual para meses teóricos de 30 días y 12 horas diarias de sol (Thornthwaite, 1948).
[2]Donde, I = Índice de calor anual (Dlouhá et al., 2021), Tef = Temperatura efectiva (oC), a = 0,49 + 0,0179I – 0,000077I2 + 0,000000675I3.
2.5.2. Ecuación de FAO Penman-Monteith
El modelo FAO calcula la evaporación a partir de varias cantidades de entrada, como la temperatura del aire, la velocidad del viento, el almacenamiento de calor, la radiación neta (Dlouhá et al., 2021), a través de la fórmula FAO Penman-Monteith (ecuación [3]) (Allen et al., 2006). Este método es recomendado para determinar la evapotranspiración de referencia para el valle de Tumbaco (Ortiz y Chile, 2020), debido a que existe la información necesaria para el buen desempeño del modelo.
[3]Donde, ETo = Evapotranspiración potencial mm día-1, Rn = Radiación neta en la superficie del cultivo MJ m-2 día-1, G = Flujo de calor en el suelo MJ m-2 día-1, Δ = Pendiente de la curva de presión de vapor kPa°C-1, Υ = Constante psicométrica kPa°C-1, T = Temperatura media °C, U2 = Velocidad del viento medida a 2 m de altura m s-1, Es = Presión de vapor de saturación kPa, ea = Presión real de vapor kPa.
2.5.3. Ecuación de Hargreaves-Samani
La ecuación de Hargreaves-Samani (ecuación [4]) (Hargreaves y Samani, 1985) es un método confiable y ampliamente utilizado para estimar la ETo en periodos diarios (Pérez-Leira et al., 2018), ya que en la región andina se obtienen valores parecidos con el de Penman- Monteith (Espinosa et al., 2023); el método en Ecuador se utiliza como punto de partida para estudios agrícolas y forestales (Cárdenas Torres, 2021). La ecuación requiere datos de temperatura y radiación solar, por lo que es un método adecuado para lugares que carecen de información sobre la velocidad del viento y la humedad relativa (Morales-Salinas et al., 2017).
[4]Donde, ETo = Evapotranspiración potencial mm día-1, Ra = Radiación solar entrante de onda corta mm d-1, Tmax = Temperatura máxima oC, Tmin = Temperatura mínima oC, KT = 0,162 para regiones internas y 0,19 para regiones costeras.
2.5.4. Ecuación de tanque evaporímetro clase A
El tanque evaporímetro es un instrumento de cuantificación de demanda hídrica, el método es muy útil en la eficiencia de la gestión de riego ya que puede ser utilizado por cualquier productor en diferentes regiones debido a su bajo costo en el caso de tanques alternativos (Neves et al., 2022). Ha sido utilizado con éxito para estimar la evapotranspiración de referencia observando la pérdida por evaporación de una superficie de agua y aplicando coeficientes empíricos para relacionar la evaporación del tanque con ETo (ecuación [5]) (Allen et al., 2006). Para la calibración local del coeficiente del tanque adimensional Kp se utilizó el valor calibrado para Tumbaco generados en el año 2018 (Ortiz et al., 2018).
[5]Donde, ETo = Evapotranspiración de referencia mm día-1, mm mes-1, Kp = Coeficiente del tanque adimensional, ECA = Evaporación de agua del tanque mm día-1, mm mes-1.
2.6. Análisis de sensibilidad de evapotranspiración
Se emplea para estimar la relación de ajuste entre los valores calculados de evapotranspiración de referencia, obtenidos por métodos indirectos (Penman-Monteith, Thornthwaite & Hargreaves-Samani) y con la finalidad de establecer la mejor metodología que se ajuste a un método de medición directo (tanque evaporímetro), el cual fue previamente calibrado para estimar la evapotranspiración de referencia en el valle de Tumbaco (Moreno Romero, 2023; Ortiz et al., 2018), para lo cual se aplicó el modelo de regresión lineal simple (ecuación [6]), que mide la relación lineal entre dos variables.
El resultado determinará si existe correlación significativa entre variables (Boslaugh, 2008). El valor absoluto [r] establece una relación de significancia; es así como 0,1 se clasifica como baja, un valor absoluto de 0,3 se clasifica como medio y mayor a 0,5 como alta (Cohen, 1988).
[6]2.7. Balance hídrico
El balance hídrico integra variables climáticas para determinar las necesidades de riego con el fin de diseñar y planificar la disponibilidad del agua en una zona determinada (Espinosa et al., 2011). Para el cálculo se utiliza una contabilidad mensual de la precipitación y la evapotranspiración potencial, donde el objetivo es establecer la evolución del agua mensualmente, determinando si hay evapotranspiración, si se retiene en la reserva del suelo, si existe un déficit o un excedente de agua (ecuación [7]) (Thornthwaite y Mather, 1957).
[7]Donde, P = Oferta de agua por precipitación, ER = Evapotranspiración real, Alm = Almacenaje de agua en el suelo.
2.8. Cálculo de la necesidad hídrica y determinación de caudales característicos
2.8.1. Necesidad hídrica
Se obtuvo mediante la aplicación de la ecuación [8] propuesta por FAO en 1990 (Allen et al. 2006).
[8]Donde, ETc = Evapotranspiración de cultivo mm mes-1, ETo = Evapotranspiración de referencia mm mes-1, Kc = Coeficiente de cultivo. Coeficiente propio de cada cultivo adimensional.
2.8.2. Necesidad neta mensual
Se establece mediante la ecuación [9] propuesta por Brouwer et al. (1985).
[9]Donde, NNM = Necesidad neta mensual mm mes-1, ETc = Evapotranspiración de cultivo mm mes-1, Pe = Precipitación efectiva.
2.8.3. Necesidad bruta
Para el cálculo de la necesidad bruta se consideró una eficiencia de aplicación del 75 % perteneciente al riego por aspersión (Burt et al., 1997; Soil Conservation Service, 1985). Para el caso de áreas con sistemas de goteo la eficiencia considerada es del 90 % y en caso de áreas irrigada con goteo se considera el 50 % (Brouwer et al., 1985b; MINAGRI, 2015a; Soil Conservation Service, 1985), utilizando la ecuación [10]. Estas eficiencias fueron identificadas de acuerdo con los sistemas de riego presentes en el área de estudio (MAATE, 2021), además de tener relación con el estudio de eficiencia de conducción del sistema de riego Tumbaco publicado por Ortiz et al. (2021).
[10]Donde, NB = Necesidad bruta mm día-1, NND = Necesidad neta diaria mm día-1,Efa = Eficiencia de aplicación del agua de riego de acuerdo con el tipo de riego.
2.8.4. Caudal nominal por cultivo
Se procedió a cuantificar el caudal mínimo requerido en cada uno de los cultivos para todos los meses del año con la finalidad de identificar el mes con mayor demanda hídrica a partir de la ecuación [11]. Se considera que la NB se encuentra en mm día-1, por ende, 1 mm es igual a 1 l m-2 día-1 con la finalidad de convertir la NB a caudal.
[11]Donde, Qc = Caudal nominal por cultivo l s-1 ha-1, NB = Necesidad bruta mm día-1.
2.8.5. Caudal necesario para cada ramal
Una vez determinado el caudal crítico según el mes de mayor demanda por cada uno de los cultivos, se procedió a extrapolarlo por el área de este cultivo, para lo cual se aplicó la ecuación [12].
[12]Donde, Qr = Caudal por ramal l s ha-1, Qc = Caudal del cultivo presente en la zona l s ha-1, S = Superficie cultivable ha.
3. Resultados y Discusión
3.1. Uso de suelo
El desarrollo de la agricultura en la parroquia de Tumbaco se encuentra en el área de influencia directa del canal de riego ya que cuenta con diversidad de climas y tipos de suelo, lo cual favorece la implementación y diversificación de varios tipos de cultivos.
La zona potencial de riego cuenta con una amplia extensión de topografía y con una pendiente plana que ha favorecido el establecimiento de agricultura de tipo tradicional, en la cual los principales cultivos establecidos son (Tabla 1): maíz (Zea mays), tomate (Solanum lycopersicum), fréjol (Phaseolus vulgaris), papa (Solanum tuberosum), aguacate (Persea americana), chirimoya (Annona cherimola), durazno (Prunuspérsica), guaba (Inga edulis), tomate de árbol (Solanum betaceum), limón (Citrus limon), mandarina (Citrus reticulata), lechuga (Lactuca sativa), col ( Brassicaoleracea var. capitata L.), rábano (Raphanussativus), apio (Apium graveolens), bosque y presencia de pastos, lo cual es confirmado por varios estudios (Espín Mayorga, 2015; MAATE, 2021; Tipantiza Chicaiza, 2020). Los cultivos identificados generalmente se encuentran en parcelas medianas y grandes, en la tabla 2 se puede identificar la cobertura de cada ramal del canal de riego con su respectivo uso de suelo. Para simplificar la información presentada se agruparon los cultivos, como se evidencia en la Tabla 2.
| Tipo de cultivo* | AlangasíLa Merced | Chichipata | Churoloma | El Pueblo | Ilaló | La Viña | San Blas |
| Aguacate | 0,5 | 10,8 | 3,4 | 10,9 | 13,1 | 2,1 | 0,3 |
| Alfalfa | - | 1,6 | 0,6 | 0,3 | 0,9 | 0,1 | - |
| Bosque | 14,4 | 29,2 | 14,3 | 20,6 | 79,6 | 7,6 | 3,7 |
| Ciclo corto | 1,3 | 40,7 | 18,6 | 13,6 | 38,4 | 6,7 | 2,7 |
| Cítricos | 0,2 | 15,8 | 3,3 | 10,3 | 10,5 | 2,3 | 1,2 |
| Frutales | - | 23,3 | 6,4 | 4,7 | 8,4 | 4,6 | 0,7 |
| Hortalizas | 0,9 | 2,2 | 2,2 | 1,1 | 2,1 | 0,7 | |
| Maíz | 1,2 | 27,0 | 9,8 | 2,3 | 10,7 | 4,8 | 0,4 |
| Pasto | 18,3 | 143,1 | 104,5 | 61,4 | 113,8 | 55,6 | 16,6 |
| Tomate | - | 0,3 | 0,2 | - | - | - | - |
| TOTAL | 36,9 | 293,9 | 163,3 | 125,0 | 277,6 | 84,7 | 25,5 |
Table 2. Different types of crops by surface area (ha).
* Las agrupaciones de uso de suelo se establecen con base en la siguiente lista de cultivos maíz tomate fréjol papa frutales aguacate chirimoya durazno guaba tomate de árbol cítricos limón mandarina huertos de hortalizas lechuga col rábano apio etc The land use groupings are based on the following list of crops corn tomatoes beans potatoes fruit trees avocado custard apple peach guava tree tomato citrus lemon mandarin vegetable gardens lettuce cabbage radish celery etc3.2. Precipitación efectiva
En la Tabla 3 se identifica que los meses críticos de precipitaciones, son julio con 13,3 mm y agosto con 17,5 mm, mientras que los meses con mayor precipitación efectiva son marzo con 100,1 mm y abril con 93,3 mm, lo que es congruente con estudios anteriores (Calderón Baños, 2014).
| Meses | Precipitación (mm) | Precipitación efectiva (mm) |
| Enero | 69,7 | 61,9 |
| Febrero | 79,2 | 69,2 |
| Marzo | 125,1 | 100,1 |
| Abril | 114,1 | 93,3 |
| Mayo | 68,1 | 60,7 |
| Junio | 27,7 | 26,5 |
| Julio | 13,6 | 13,3 |
| Agosto | 18 | 17,5 |
| Septiembre | 46,8 | 43,3 |
| Octubre | 108,3 | 89,5 |
| Noviembre | 107,9 | 89,3 |
| Diciembre | 77,8 | 68,1 |
| Total | 856,3 | 732,6 |
Table 3. Effective rainfall for Tumbaco.
3.3. Evapotranspiración de referencia
La determinación de evapotranspiración de referencia en Ecuador se centra, principalmente, en el análisis de cuatro metodologías físicamente basadas y una metodología de medición directa. La interrogante principal de la aplicación de uno u otro método es la precisión de los resultados obtenidos (Figura 2), ya que los valores pueden cambiar de acuerdo con la cantidad de variables meteorológicas que se involucren en el cálculo. Según el método implementado, los resultados obtenidos pueden crear un diferencial positivo o negativo en la demanda de agua, discusión que es abordada por diferentes instituciones públicas. Es así como el Plan Nacional de Gestión Integrada de los Recursos Hídricos utiliza la metodología de Penman-Monteith (Changjiang Institute of Survey, Planning, Desing and Research [CISPDR], 2016) mientras el Instituto Nacional de Meteorología e Hidrología determinó que este método y el de Thornthwaite presentan la misma tendencia para las condiciones ambientales del Ecuador (Hargreaves y Samani, 1985; Ortiz et al., 2018; Snyder et al., 2005).
El método de FAO Penman-Monteith es ampliamente recomendado a nivel mundial como un método de mayor precisión, ya que en su concepción metodológica cuenta con mayor incorporación de variables climáticas en su análisis, lo cual también representa la principal limitación en la aplicación (Djaman et al., 2019; Rodrigues y Braga, 2021). Los modelos de Thornthwaite y Hargreaves-Samani no consideran variables de velocidad de viento, por lo que se medita que subestiman los resultados de ETo en los meses de julio y agosto, llegando a afectar directamente la tasa de evapotranspiración (Ortiz y Chile, 2020), este tipo de aseveraciones pueden resultar subjetivas si no se analiza la tendencia de cada uno de los resultados o la sensibilidad respecto a un método de estimación directo, como se considera al tanque tipo A.
En la Figura 2 de observa que los valores más bajos de ETo fueron obtenidos con el método de Thornthwaite con una media de 1,41, le sigue Hargreaves-Samani con 1,75, el tanque evaporímetro con un valor de 3,08 y el valor más alto corresponde a FAO Penman-Monteith con 5,43. La variación de resultados obtenidos se debe principalmente a que cada modelo considera diferentes variables climáticas para su cálculo (Espinosa y Rivera, 2016; Ortiz et al., 2018; Romero-Palomares et al., 2019; Thornthwaite, 1948).

Figure 2. Distribution of values obtained for different evapotranspiration models (Thornthwaite, Hargreaves, Penman-Monteith and Tanque A).
3.4. Análisis de sensibilidad de los modelos de evapotranspiración
Con la finalidad de establecer las variaciones en la comparación de resultados obtenidos entre los métodos de evapotranspiración propuestos en este estudio, se procedió a estimar la sensibilidad de los mismos respecto a un método de estimación directa, mediante el coeficiente de determinación, considerando que la zona de Tumbaco cuenta con una estación que provee información climática completa, la cual es administrada por el INAMHI y cuenta con un registro de información por más de 30 años.
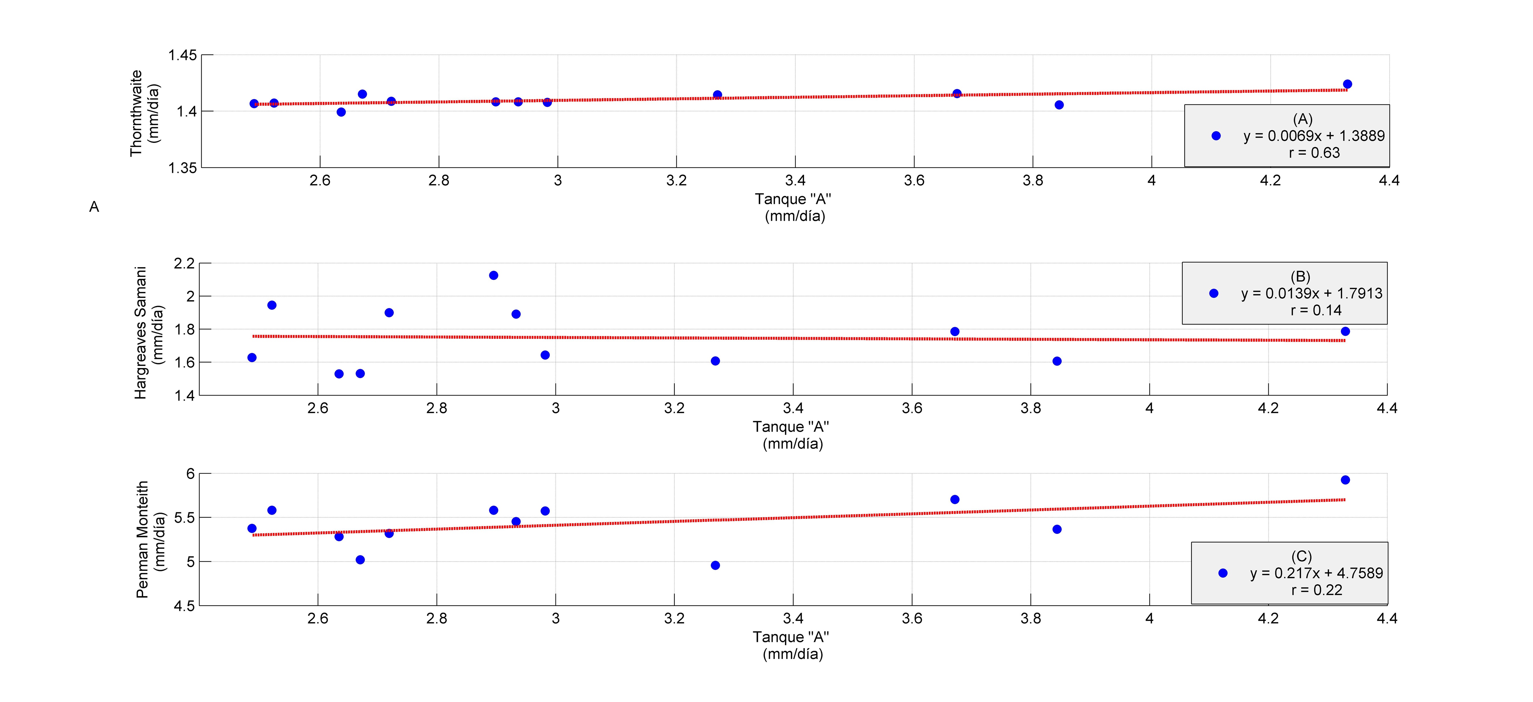
Al relacionar los resultados obtenidos mediante el tanque evaporímetro clase A con el método de Thornthwaite se observa que el valor de determinación y correlación es superior, lo cual evidencia un mejor desempeño que la metodología del procedimiento FAO Penman-Monteith y Hargreaves-Samani, lo cual se puede observar en la Figura 3.

Figure 3. Regression model for the evaporation model (Eto) (a). Tanque vs Thornthwaite; (b) Tanque vs. Hargreaves-Samani; (c) Tanque vs. Penman-Monteith. R2.
Este análisis se realizó con el objetivo de determinar una metodología apropiada de estimación cuando la cantidad de variables meteorológicas registradas son deficitarias para la adecuada implementación de un método, con lo cual se evitará incertidumbre en la obtención de resultados, este tipo de análisis se han realizado en otros países y cada metodología es adaptable a cada área de acuerdo con sus condiciones geográfica, climáticas y, en algunos casos, topográficas (Hargreaves y Samani, 1985; Ortiz et al., 2018; Snyder et al., 2005; Trezza, 2008).
3.5. Balance hídrico
La zona de Tumbaco presenta un déficit hídrico (Figura 4) durante los meses de junio hasta septiembre, obteniéndose el valor más alto en el mes de agosto con 116,2 mm. Se presenta almacenamiento de agua en el suelo en los meses de octubre y noviembre, mientras que se muestran excedentes en los meses de marzo y abril. Los excedentes se podrán expresar como escorrentía para análisis de flujos superficiales. La utilización de agua de la reserva del suelo ocurre en los meses de diciembre, enero, febrero y mayo, ya que necesita suplir el agua que se pierde por proceso de evapotranspiración, lo cual es congruente con otros modelos de manejo y dinámica de agua (Carrera-Villacrés et al., 2019).

Figure 4. Water balance from the Tumbaco area.
3.6. Brecha hídrica
Se establecen los caudales nominales en l s ha-1 a partir del mes crítico que presenta la mayor evapotranspiración diaria (agosto) para los principales cultivos presentes en cada ramal del SRT (Tabla 4).
| Cultivos | Alangasí | Chichipata | Churoloma | El Pueblo | Ilaló | La Viña | San Blas |
| Aguacate | 0,36 | 7,44 | 2,33 | 7,54 | 9,04 | 1,47 | 0,20 |
| Alfalfa | - | 1,25 | 0,50 | 0,22 | 0,67 | 0,06 | - |
| Bosque | 10,73 | 21,72 | 10,64 | 15,32 | 59,33 | 5,69 | 2,76 |
| Ciclo corto | 1,24 | 38,13 | 17,42 | 12,71 | 35,97 | 6,30 | 2,54 |
| Cítricos | 0,11 | 8,74 | 1,82 | 5,67 | 5,82 | 1,29 | 0,64 |
| Frutales | - | 23,13 | 6,35 | 4,62 | 8,37 | 4,61 | 0,67 |
| Hortalizas | 0,80 | 1,89 | 1,95 | 0,97 | 1,86 | 0,62 | - |
| Maíz | 1,24 | 27,24 | 9,09 | 2,28 | 10,81 | 4,87 | 0,37 |
| Pasto | 14,33 | 111,87 | 81,64 | 47,96 | 88,97 | 43,43 | 12,95 |
| Tomate | - | 0,26 | 0,24 | - | - | - | - |
| Total (l s ha-1) | 28,80 | 241,66 | 132,79 | 97,3 | 220,83 | 68,34 | 20,13 |
| Caudal Entregado (l s ha-1) | 100,00 | 350,00 | 180,00 | 150,00 | 320,00 | 150,00 | 120,00 |
| Brecha % | 247,22 | 44,83 | 35.55 | 54.16 | 44,19 | 119,49 | 496,12 |
Table 4. Nominal flow calculated by branches.
Comparando el caudal asignado por la junta de regantes del sistema de riego Tumbaco, se establece que para todos los ramales existe una sobreirrigación. Es así como para el ramal Alangasí-La Merced se establece un 247,22 % más de lo necesario, en el caso del ramal Chichipata un 44,83 %, Churoloma 35,55 %, El Pueblo 54,16 %, Ilaló 44,91 %, La Viña 119,49 % y San Blas 496,12 %. Lo cual es congruente con el estudio de Ortiz et al. (2021), quienes determinaron la eficiencia de distribución de agua en los siete ramales que conforman el sistema de riego Tumbaco determinando sobreirrigación en seis ramales y subirrigación en 1 ramal. El ramal Alangasí-La Merced presentó un +589,7%, Chichipata -26,4 %, Churoloma +67,7 %, El Pueblo +122 %, Ilaló +14 %, La Viña +171,5 % y San Blas con +62,1 %, lo cual puede ser corregido mediante la regulación de los caudales hacia los canales secundarios y desde los canales secundarios a la red terciaria ya que afecta a la distribución de caudales a nivel de la red de canales (Calderón Baños, 2014; MINAGRI, 2015; Ortiz et al., 2021).
Los valores presentados son diferentes ya que está condicionado por diversos factores como: cambio en el uso de suelo, número de usuarios y aumento o disminución de la superficie agrícola. Sin embargo, se distingue que hay una distribución desigual del recurso hídrico asociada a la falta de infraestructura hidráulica, así como a la modernización de infraestructura hidráulica (Espinosa y Rivera, 2016; IICA et al., 2017; Ortiz et al., 2021).
4. Conclusiones
Para el área de Tumbaco se recomienda el uso del método de estimación de evapotranspiración indirecta de Thornthwaite cuando no existe la suficiente información de otras variables climáticas ya que, como se demostró, el método de Penman-Monteith sobreestima los valores mensuales respecto al método de estimación directo como es el Tanque tipo A, lo cual es congruente con otros estudios en áreas de riego aledañas (Tacuri Lalangui, 2023; Yánez León, 2023).
El caudal autorizado por la Junta de Riego de Tumbaco no es óptimo ya que se estableció una sobreirrigación en los siete ramales que conforman el sistema de riego. Para el ramal Alangasí-La Merced se establece un 247,22 % más de lo necesario, en el caso del ramal Chichipata un 44,83 %, Churoloma 35,55 %, El Pueblo 54,16 %, Ilaló 44,91 %, La Viña 119,49 % y San Blas 496,12 %, lo cual es congruente con los resultados del análisis de eficiencia de distribución de agua obtenidos en el canal de riego en sus diferentes ramales (Ortiz et al., 2021).
La metodología desarrollada sirve como punto de partida del manejo sustentable de agua, creación de modelos de gestión de recurso hídricos para diferentes sistemas de riego a nivel nacional, además de ayudar a instituciones públicas encargadas de la distribución de agua para diferentes proyectos agrícolas, comunitarios o empresariales que permitan una adecuada distribución de agua de acuerdo con su fin específico por unidad de uso y cobertura de suelo.
Financiamiento
Este artículo forma parte del proyecto de investigación “Construcción de un modelo de simulación de sistemas agroproductivos mediante cuantificación hídrica al año 2030 en el canal de riego Cayambe-Pedro Moncayo”.
Contribuciones de los autores
Jefferson Francisco Cando Bautista: investigación, redacción – borrador original.
Jorge Andrés Espinosa Marín: conceptualización, metodología, redacción – revisión y edición.
Wellington Augusto Bastidas Guevara: supervisión.
Carlos Lenin Montúfar Delgado: recursos.
Implicaciones éticas
Los autores declaran que no existen implicaciones éticas.
Conflicto de interés
Los autores declaran que no existen conflictos de interés financieros o no financieros que podrían haber influido en el trabajo presentado en este artículo.
Agradecimientos
Un agradecimiento especial al Instituto Nacional de Meteorología e Hidrología, el que, mediante convenio interinstitucional con la Universidad Central del Ecuador, puso a disposición de esta investigación la base histórica de datos climatológicos para análisis.
Referencias
Adeyeri, O. E., Laux, P., Ishola, K. A., Zhou, W., Balogun, I. A., Adeyewa, Z. D., y Kunstmann, H. (2022). Homogenising meteorological variables: Impact on trends and associated climate indices. Journal of Hydrology, 607, 127585. https://doi.org/10.1016/j.jhydrol.2022.127585
Aguirre Escobar, C. P. (2017). Caracterización predial y de infraestructura del sistema de riego Tumbaco, ramal Chichipata, zona 3, 2016. Universidad Central del Ecuador. http://www.dspace.uce.edu.ec/handle/25000/10522
Ali, M. H., y Mubarak, S. (2017). Effective rainfall calculation methods for field crops: An overview, analysis and new formulation. Asian Research Journal of Agriculture, 7(1), 1-12. https://doi.org/10.9734/ARJA/2017/36812
Allen, R. G., Pereira, L. S., Raes, D., y Smith, M. (2006). Evapotranspiración del cultivo. Guías para la determinación de los requerimientos de agua de los cultivos. FAO. https://www.fao.org/4/x0490s/x0490s00.htm
Alves, M. E. B., Mantovani, E. C., Sediyama, G. C., y Neves, J. C. L. (2013). Estimate of the crop coefficient for Eucalyptus cultivated under irrigation during initial growth. CERNE, 19(2), 247-253. https://doi.org/10.1590/S0104-77602013000200008
Andrade Betancourt, V. S. (2018). Caracterización predial y de infraestructura del sistema de riego Tumbaco, ramal Ilaló, 2016. Universidad Central del Ecuador. http://www.dspace.uce.edu.ec/handle/25000/14055
Boslaugh, S. (2008). Pearson correlation coefficient. Encyclopedia of Epidemiology, 2, 792-794. https://doi.org/10.4135/9781412953948
Brouwer, C., Goffeau, A., y Heibloem, M. (1985). Irrigation Water Management: Training Manual No. 1 - Introduction to Irrigation. FAO. https://www.fao.org/3/r4082e/r4082e00.htm
Burt, C. M., Clemmens, A. J., Strelkoff, T. S., Solomon, K. H., Bliesner, R. D., Hardy, L. A., Howell, T., y Eisenhauer, D. E. (1997). Irrigation performance measures: Efficiency and uniformity. Journal of Irrigation and Drainage Engineering, 123(6), 423-442. https://doi.org/10.1061/(ASCE)0733-9437(1997)123:6(423)
Calderón Baños, S. P. (2014). Evaluación del recurso hídrico en la eficiencia del desarrollo de los cultivos en cinco barrios de Tumbaco, Pichincha. Universidad Central del Ecuador. http://www.dspace.uce.edu.ec/handle/25000/3242
Cárdenas Torres, M. A. (2021). Evaluación de la evapotranspiración de productos satelitales en la zona sur del Ecuador, 1990-2013. Universidad Técnica de Machala. http://repositorio.utmachala.edu.ec/handle/48000/16546
Carrera-Villacrés, D. V., Quinteros-Carabalí, J. A., Gómez, A. J., Solano, E. M., Llumiquinga, G. E., y Burgos, C. A. (2019). Dynamic model for the management of water resource and water aptitude for irrigation of the Togllahuayco gorge in the Guangopolo micro-basin. IOP Conference Series: Earth and Environmental Science, 344, 012029. https://doi.org/10.1088/1755-1315/344/1/012029
Cercado Damiany, W. A. (2022). Gestión gubernamental del uso del agua con fines de riego en Ecuador. Universidad Técnica de Babahoyo. http://dspace.utb.edu.ec/handle/49000/13361
Changjiang Institute of Survey, Planning, Desing and Research [CISPDR]. (2016). Plan nacional de la gestión integrada e integral de los recursos hídricos de las cuencas y microcuencas hidrográficas de Ecuador. CISPDR.
Chasiluisa Yanchatuña, N. G. (2017). Caracterización predial y de infraestructura del sistema de riego Tumbaco, ramal San Blas, 2016. Universidad Central del Ecuador. http://www.dspace.uce.edu.ec/handle/25000/13742
Cisneros Vaca, M. Y. (2018). Caracterización predial y de infraestructura del sistema de riego Tumbaco, ramal Chichipata, zona 2, 2016. Universidad Central del Ecuador. http://www.dspace.uce.edu.ec/handle/25000/14729
Cohen, J. (1988). Statistical Power Analysis for the Behavioral Sciences (2. ed.). Routledge. https://doi.org/10.4324/9780203771587
Dastane, N. G. (1978). Effective rainfall in irrigated agriculture. FAO. https://www.fao.org/4/x5560e/x5560e00.htm#Contents
Djaman, K., O’Neill, M., Diop, L., Bodian, A., Allen, S., Koudahe, K., y Lombard, K. (2019). Evaluation of the Penman-Monteith and other 34 reference evapotranspiration equations under limited data in a semiarid dry climate. Theoretical and Applied Climatology, 137(1), 729-743. https://doi.org/10.1007/S00704-018-2624-0
Dlouhá, D., Dubovský, V., y Pospíšil, L. (2021). Optimal Calibration of Evaporation Models against Penman–Monteith Equation. Water, 13(11), 1484. https://doi.org/10.3390/W13111484
Espín Mayorga, M. E. (2015). Evaluación de los efectos de la contaminación ambiental en la productividad de los cultivos agrícolas en los barrios La Morita, La Tola, El Arenal, La Esperanza y Collaquí ubicados en la parroquia de Tumbaco, Distrito Metropolitano de Quito. Escuela Politécnica Nacional. http://bibdigital.epn.edu.ec/handle/15000/11852
Espinosa Marín, J. A., Rivera, D., y Haro Prado, R. (2023). Generation of soil maps permeability. Case study in two cantons of Loja province, Ecuador. Siembra, 10(1), e4321. https://doi.org/10.29166/siembra.v10i1.4321
Espinosa, J., Hamil, U., Arumí, J., Rivera, D., y Stehr, A. (2011). Evaluación de la vulnerabilidad climática de la cuenca del río Limarí usando un modelo semidistribuido SWAT. Gestión Ambiental, 22, 13-30.
Espinosa, J., y Rivera, D. (2016). Variations in water resources availability at the Ecuadorian páramo due to land-use changes. Environmental Earth Sciences, 75, 1173. https://doi.org/10.1007/s12665-016-5962-1
Estévez Cadena, B. F. (2017). Caracterización predial y de infraestructura del sistema de riego Tumbaco en el ramal el pueblo, 2016. Universidad Central del Ecuador. http://www.dspace.uce.edu.ec/handle/25000/12674
FAO. 2020. El estado mundial de la agricultura y la alimentación 2020. Superar los desafíos relacionados con el agua en la agricultura. FAO. https://doi.org/10.4060/cb1447es
Franco Puco, J. F. (2018). Cálculo del balance hídrico de pastos en el cantón Latacunga, provincia de Cotopaxi, 2018. Universidad Técnica de Cotopaxi. http://repositorio.utc.edu.ec/handle/27000/8552
GAD Tumbaco. (2015). Plan de desarrollo y ordenamiento territorial. Gobierno Autónomo Descentralizado de Tumbaco. GAD Tumbaco. https://tumbaco.gob.ec/wp-content/uploads/2021/07/PDOTTUMBACO2020nov.pdf
GAD Tumbaco. (2020). Plan de desarrollo y ordenamiento territorial del Gobierno Autónomo Descentralizado de Tumbaco. GAD Tumbaco. https://tumbaco.gob.ec/wp-content/uploads/2021/07/PDOTTUMBACO2020nov.pdf
Guamán Caballero, B. I., y Rodas Velarde, D. S. (2022). Evaluación del balance hídrico en el ecosistema páramo de la cuenca alta del río Tahuando. Universidad Técnica del Norte. https://repositorio.utn.edu.ec/handle/123456789/13212
Guerra, E., Ventura, F., y Snyder, R. L. (2015). Crop coefficients: A literature review. Journal of Irrigation and Drainage Engineering, 142(3), 06015006. https://doi.org/10.1061/(ASCE)IR.1943-4774.0000983
Hargreaves, G. H., y Samani, Z. A. (1985). Reference crop evapotranspiration from temperature. Applied Engineering in Agriculture, 1(2), 96-99. https://doi.org/10.13031/2013.26773
Huang, Z., Yuan, X., y Liu, X. (2021). The key drivers for the changes in global water scarcity: Water withdrawal versus water availability. Journal of Hydrology, 601, 126658. https://doi.org/10.1016/J.JHYDROL.2021.126658
Instituto Interamericano de Cooperación para la Agricultura [IICA], Fundación Colegio de Postgraduados en Ciencias Agrícolas, San Luis Huexotla [Fundación COLPOS], Programa de Cambio Climático, Recursos Naturales y Gestión de Riesgos Productivos [PCRG], y Eje Transversal Innovación y Tecnología [ETIT]. (2017). El agua en la agricultura de las Américas. IICA. http://repositorio.iica.int/handle/11324/6148
Kuzay, M., Tuna, M., y Tombul, M. (2022). Determining the relationship of evapotranspiration with precipitation and temperature over Turkey. Journal of Agricultural Sciences, 28(3), 525-534. https://doi.org/10.15832/ANKUTBD.952845
Leiva-Zelada, G., y Zelada-Muñoz, S. (2024). Gestión integrada de cuencas hidrográficas en Chile: brechas y oportunidades en la propuesta constitucional. Sustainability, Agri, Food and Environmental Research, 12(2). https://doi.org/10.7770/safer-V13N1-art652
Maigua Barreno, C. D. (2017). Caracterización predial y de infraestructura del sistema de riego Tumbaco, ramal Churoloma, Zona 2, 2016. Universidad Central del Ecuador. http://www.dspace.uce.edu.ec/handle/25000/13058
Ministerio de Agricultura y Riego [MINAGRI]. (2015). Manual del cálculo de eficiencia para sistema de riego. MINAGRI. https://www.midagri.gob.pe/portal/download/pdf/manual-riego/manual_determinacion_eficiencia_riego.pdf
Ministerio del Ambiente, Agua y Transición Ecológica [MAATE]. (2021). Plan Nacional de Riego y Drenaje 2021-2026. Resumen Ejecutivo. MAATE. https://www.ambiente.gob.ec/wp-content/uploads/downloads/2022/12/PLAN-NACIONAL-DE-RIEGO-Y-DRENAJE-2021-2026-PARA-PUBLICAR.pdf
Montecé Calderón, V. M. (2018). Caracterización predial y de infraestructura del sistema de riego Tumbaco, ramal Chichipata, Zona 1, 2016. Universidad Central del Ecuador. http://www.dspace.uce.edu.ec/handle/25000/15041
Morales-Salinas, L., Ortega-Farías, S., Riveros-Burgos, C., Neira-Román, J., Carrasco-Benavides, M., y López-Olivari, R. (2017). Monthly calibration of Hargreaves–Samani equation using remote sensing and topoclimatology in central-southern Chile. International Journal of Remote Sensing, 38(24), 7497-7513. https://doi.org/10.1080/01431161.2017.1323287
Moreno Romero, L. A. (2023). Análisis comparativo de métodos empírico-semi-empírico para estimar la evapotranspiración en la provincia de Loja. Universidad Nacional de Loja. https://dspace.unl.edu.ec//handle/123456789/27927
Neves, E. das, Gutierres, M. I. de A., Silva, P. F. da, y Santos, T. M. (2022). Determination of hydric demand through the use of evaporimeters tanks. Research, Society and Development, 11(1), e4611124578. https://doi.org/10.33448/RSD-V11I1.24578
Ochoa Ortega, E. R. (2017). Caracterización predial y de infraestructura del sistema de riego Tumbaco, ramal Churoloma (Zona 1), 2016. Universidad Central del Ecuador. http://www.dspace.uce.edu.ec/handle/25000/13344
Ortiz Calle, R., Pazmiño Mayorga, J., y Chile Asimbaya, M. (2021). Eficiencias en el sistema de riego Tumbaco, Ecuador. Ciencia y Tecnología, 14(1), 1-10. https://doi.org/10.18779/cyt.v14i1.443
Ortiz, R., Tamayo, C., Chile, M., y Méndez, A. (2018). Coeficiente del tanque evaporímetro Clase A para estimar la evapotranspiración de referencia para el valle de Tumbaco. Siembra, 5(1), 16-25. https://doi.org/10.29166/siembra.v5i1.1424
Ortiz, R., y Chile, M. (2020). Métodos de cálculo para estimar la evapotranspiración de referencia para el Valle de Tumbaco. Siembra, 7(1), 70-79. https://doi.org/10.29166/SIEMBRA.V7I1.1450
Pérez-Leira, R., Cabrera-Estupiñán, E., Cedeño-Caicedo, G., Delgado-Anchundia, H. E., Mendoza-Briones, A. R., y Chávez-García, L. E. (2018). Irrigation regime for crops in Manabí, Ecuador: Edaphic Study. Revista Ciencias Técnicas Agropecuarias, 27(4), 5-12. http://scielo.sld.cu/scielo.php?script=sci_arttext&pid=S2071-00542018000400001&lng=es&tlng=en.
Poma, M. P., y Usca, M. R. (2020). Estimación del balance hídrico climático (BHC) de las microcuencas del cantón Joya de los Sachas, Orellana. Revista Científica FIPCAEC, 5(5), 3-26. https://doi.org/10.23857/FIPCAEC.V5I5.183
Rodrigues, G. C., y Braga, R. P. (2021). Estimation of reference evapotranspiration during the irrigation season using nine temperature-based methods in a hot-summer mediterranean climate. Agriculture, 11(2), 124. https://doi.org/10.3390/AGRICULTURE11020124
Romero-Palomares, J., Trezza, R., y Araque, Y. (2019). Métodos Penman modificado, Radiación, Blaney-Criddle y Hargreaves-Samani en relación al método FAO-Penman-Monteith, bajo condiciones del municipio Colón, estado Zulia, Venezuela. Conocimiento Libre Y Licenciamiento (CLIC), (19), 83-93. https://convite.cenditel.gob.ve/publicaciones/revistaclic/article/view/965
Snyder, R. L., Orang, M., Matyac, S., & Grismer, M. E. (2005). Simplified estimation of reference evapotranspiration from pan evaporation data in California. Journal of Irrigation and Drainage Engineering, 131(3), 249-253. https://doi.org/10.1061/(asce)0733-9437(2005)131:3(249)
Soil Conservation Service. (1985). National Engineering Handbook, Part 623. Chapter 2. Irrigation Water Requirements. United States Department of Agriculture. www.wcc.nrcs.usda.gov/ftpref/wntsc/waterMgt/irrigation/NEH15/ch2.pdf
Tacuri Lalangui, S. B. (2023). Validar e implementar una metodología de cuantificación de requerimiento hídrico a partir de uso de suelos en el canal de riego Tabacundo-Pedro Moncayo sector Malchinguí. Universidad Central del Ecuador. https://www.dspace.uce.edu.ec/handle/25000/32546
Thornthwaite, C. W. (1948). An approach toward a rational classification of climate. Geographical Review, 38(1), 55-94. https://doi.org/10.2307/210739
Thornthwaite, C. W., y Mather, J. R. (1957). Instructions and tables for computing potential evapotranspiration and the water balance. Publications in Climatology, 10(3), 185-311.
Tigkas, D., Vangelis, H., y Tsakiris, G. (2016). Introducing a Modified Reconnaissance Drought Index (RDIe) Incorporating Effective Precipitation. Procedia Engineering, 162, 332-339. https://doi.org/10.1016/J.PROENG.2016.11.072
Tipantiza Chicaiza, L. G. (2020). Determinación de la eficiencia de conducción y distribución en el ramal “Alangasí-La Merced” del sistema de riego Tumbaco. Universidad Central del Ecuador. http://www.dspace.uce.edu.ec/handle/25000/21569
Trezza, R. (2008). Estimación de evapotranspiración de referencia a nivel mensual en Venezuela. ¿Cuál método utilizar? Bioagro, 20(2), 89-95. http://www.ucla.edu.ve/bioagro/Rev20(2)/Estimaci%C3%B3n%20de%20evapotranspiraci%C3%B3n.pdf
Villalobos, V., García, M., y Ávila, F. (coords.). (2017). El agua para la agricultura de las Américas (1. ed.). IICA, Colegio de Postgraduados en Ciencias Agrícolas. https://repositorio.iica.int/bitstream/handle/11324/6148/BVE17109367e.pdf?sequence=1
Wang, X., Zhang, J., Shahid, S., Guan, E., Wu, Y., Gao, J., y He, R. (2016). Adaptation to climate change impacts on water demand. Mitigation and Adaptation Strategies for Global Change, 21(1), 81-99. https://doi.org/10.1007/S11027-014-9571-6
Yánez León, C. A. (2023). Identificación de metodología de cuantificación de requerimiento hídrico en el canal de riego Tabacundo-Pedro Moncayo, parroquia La Esperanza. Universidad Central del Ecuador. https://www.dspace.uce.edu.ec/handle/25000/32060
Notas de autor
jaespinosam1@uce.edu.ec
Información adicional
e-location: e6264