Artículo Original
Estrategias fisiológicas de aclimatación al déficit hídrico en Solanum phureja Juz. et. Buk
Physiological acclimatization strategies to water deficit in Solanum phureja Juz. et. Buk
Estrategias fisiológicas de aclimatación al déficit hídrico en Solanum phureja Juz. et. Buk
Siembra, vol. 12, núm. 2, e7980, 2025
Universidad Central del Ecuador

Recepción: 08 Marzo 2025
Revisado: 06 Junio 2025
Corregido: 03 Septiembre 2025
Aprobación: 01 Octubre 2025
Resumen: La papa es un cultivo de importancia para la seguridad alimentaria mundial. Solanum phureja es un grupo con alta diversidad de interés económico y cultural. El cambio climático ha afectado los rendimientos de papa siendo el déficit hídrico una condición determinante. El objetivo de esta investigación fue identificar estrategias fisiológicas de aclimatación de S. phureja al estrés por déficit hídrico. Se sembraron tubérculos de dos cultivares de S. phureja (Criolla Colombia y Mambera) bajo condiciones de invernadero, se sometieron a déficit hídrico sosteniendo la humedad volumétrica del suelo entre el 15 y 10% durante periodos de estrés según la etapa fenológica del cultivo. Se evaluó potencial hídrico, intercambio gaseoso, uso eficiente del agua, clorofila, acumulación de masa seca y rendimiento. Los resultados evidenciaron la disminución del potencial hídrico foliar (-1,28 Ψ), la conductancia estomática (0,047 mol m-2 s-1), tasa de fotosíntesis (µmol 3,6 mol m-2 s-1), área foliar y aumento en la concentración de clorofila (566,77 mg m-2) y uso eficiente del agua (119 µmol CO₂/mmol H₂O) en tratamientos bajo estrés hídrico. Se identificaron mayores niveles de estrés en la etapa de llenado, una alta recuperación y adaptación en estrés en tuberización y diferencias entre los cultivares ligados a su fenología, componentes de rendimiento y distribución de la materia seca. Según los resultados se evidencia cadena de respuestas fisiológicas, iniciando con la reducción del potencial hídrico e intercambio gaseoso hasta cambios en el crecimiento entre órganos. Estos resultados contribuyen a la definición de cultivares tolerantes, manejo agronómico, riegos eficientes y zonificación del cultivo.
Palabras clave: papa, déficit hídrico, fenología, adaptación.
Abstract: Potatoes are an important crop for global food security. Solanum phureja is a highly diverse group of cultivars that are economically and culturally significant. Climate change has affected potato yields, and water deficits are a determining factor. This study aimed to identify the physiological strategies of S. phureja for acclimatizing to water deficit stress. Tubers from two S. phureja cultivars (Criolla Colombia and Mambera) were planted in a greenhouse and exposed to a water deficit by maintaining soil volumetric moisture levels between 10% and 15% during periods of stress, according to the crop’s phenological stage. Water potential, gas exchange, water use efficiency, chlorophyll content, dry mass accumulation, and yield were evaluated. Results showed decreases in leaf water potential (-1.28 Ψ), stomatal conductance (0.047 mol m-2 s-1), and photosynthesis rate (µmol 3.6 mol m-2 s-1), as well as decreases in leaf area. There were also increases in chlorophyll concentration (566.77 mg m-2) and water use efficiency (119 µmol CO₂/mmol H₂O) in treatments under hydric stress. Higher levels of stress were reported during the filling stage, as well as high recovery and adaptation to stress during tuberization. Additionally, we found differences between the cultivars related to their phenology, yield, and dry matter distribution. These results highlight a chain of physiological responses beginning with a reduction in water potential and gas exchange and ending with changes in organ growth. These results contribute to identifying tolerant cultivars, improving agronomic management, optimizing irrigation, and crop zoning.
Keywords: potato, water deficit, phenology, adaptation.
1. Introducción
Según datos de la Food and Agriculture Organization of the United Nations [FAO], la producción mundial total de papa en 2023 fue de aproximadamente 383 millones de toneladas (FAO, 2025). En Colombia es uno de los sistemas productivos de clima frío más significativo, se adapta a un rango de altura entre los 2.600 y 3.000 m s.n.m., aunque hay zonas donde se siembra por encima de los 3.000 m s.n.m. (Abaunza González et al., 2022). El rendimiento nacional de papa en Colombia para el año 2023 fue de 22,8 t ha-1 en un área de 112.975 ha (Federación Colombiana de productores de papa [FEDEPAPA], 2023), y para Solanum phureja fue de 16.379 ha, con un rendimiento de 14,72 t ha-1 para el 2023 (Red de información y comunicación del sector Agropecuario Colombiano [Agronet], 2024).
Las papas criollas pertenecientes al grupo Solanum phureja presentan su principal centro de diversidad en el sur de Colombia y el norte de Ecuador. En el territorio colombiano, este cultivo se encuentra ampliamente distribuido a lo largo de las tres cordilleras andinas, desde el sur hasta el norte del país, principalmente en áreas situadas por encima de los 2.000 m s.n.m. El departamento de Nariño destaca como una de las principales zonas de producción y comercialización, donde se cultivan diversas variedades diploides, como Tornilla, Mambera y Ratona, las cuales tienen un importante valor cultural y agronómico para las comunidades locales (Ñústez López y Rodríguez Molano, 2024).
En los últimos años ha crecido el interés por fomentar el cultivo de esta especie diploide en los países andinos, debido a su aceptación entre los consumidores, por su buen sabor, calidad nutricional (incluyendo vitaminas A, B y C, niacina y tiamina), aptitud agroindustrial, menores costos y ciclos de producción (Molina Cita et al., 2015). Algunas especies silvestres de papa poseen características genéticas agronómicas deseables, como resistencia a enfermedades y a estrés abiótico, entre otras (Gómez et al., 2012).
El cultivo de la papa presenta una alta susceptibilidad frente a los efectos del cambio climático, según lo documentado por diversos autores (Marmolejo y Ruiz, 2018; Wang et al., 2021), siendo particularmente sensible a condiciones extremas como periodos de calor o frío, déficit hídrico e inundaciones (Singh et al., 2020). La aparición de fenómenos extremos inciden de forma negativa en los rendimientos y calidad del tubérculo cosechado (Sierra Herrera, 2019), de manera que los riesgos asociados son determinantes en la sostenibilidad de pequeños productores, que en su mayoría son quienes cultivan especies de Solanum phureja (Abaunza González et al., 2022). El déficit hídrico perturba las funciones fisiológicas fundamentales de la planta, como la respiración, fotosíntesis, absorción de nutrientes, transporte a través de xilema y floema, interacciones entre órganos, y rendimiento (Rudack et al., 2017).
De acuerdo con la percepción de los productores locales, durante la última década se ha evidenciado una alta exposición del cultivo de papa a eventos climáticos adversos. El 32% de los agricultores reportó afectaciones por sequías, el 30% por heladas, el 16% por lluvias intensas, el 7% por inundaciones, otro 7% por deslizamientos de tierra, el 4% por encharcamientos y un 3% por otros fenómenos climáticos (Zapata Murillo et al., 2023).
Bajo condiciones de estrés por déficit hídrico, las plantas desarrollan respuestas de aclimatación y adaptación asociadas a un conjunto de estrategias a nivel bioquímico, molecular, fisiológico y morfológico, las cuales difieren entre cultivares de una misma especie y entre especies (Graça et al., 2010). Estas estrategias minimizan los impactos negativos potenciales de condiciones extremas del clima, confiriendo resistencia o tolerancia a un determinado cultivar o especie.
La mayoría de los productores de papa en Colombia presentan bajas capacidades tecnológicas y dependen de las condiciones de clima para desarrollar sus cultivos, lo cual aumenta su vulnerabilidad a los efectos negativos del cambio climático. Aunque los agricultores no pueden cambiar ni gestionar las condiciones climáticas; algunos factores como el suelo, el agua, el tipo de cultivo y las prácticas agrícolas pueden gestionarse para reducir los efectos adversos del cambio climático (Moradi et al., 2013).
Considerando la relevancia del cultivo de la papa, en particular Solanum phureja, este estudio se llevó a cabo con el objetivo de identificar las estrategias integradas de aclimatación fisiológica presentes en dos cultivares de Solanum phureja frente al déficit hídrico en condiciones controladas.
2. Materiales y Métodos
2.1. Localización
El experimento se llevó a cabo en el 2021, en un invernadero ubicado en el Centro de investigación Obonuco de la Corporación Colombiana de Investigación Agropecuaria - AGROSAVIA, en el municipio de Pasto, Nariño con coordenadas 1°11'54.2"N 77°18'15.3"W y una altura de 2.756 m s.n.m.
2.2. Establecimiento del experimento
Se seleccionaron tubérculos homogéneos de dos cultivares de papa Solanum phureja, Criolla Colombia y Mambera los cuales presentan comportamientos diferenciales identificados en estudios previos (López-Rendón et al., 2024). Se sembraron en materas de 12 kg de capacidad de suelo seco.
2.3. Diseño experimental
Se usó un diseño de bloques al azar en parcelas divididas con cuatro repeticiones, distribuidas de manera aleatoria en el área del experimento, con 15 plantas por unidad experimental, esto con el fin de disminuir el efecto causado por las condiciones diferenciales de temperatura y humedad dentro del invernadero y la hora de evaluación. El experimento se conformó por tres factores (Fase fenológica, Tratamientos de estrés hídrico y cultivares) de evaluación distribuidos por medio de las parcelas y subparcelas que conforman el diseño. La fase fenológica del cultivo conformó la parcela grande, la división de esta parcela correspondió a los tratamientos de estrés, y la subdivisión hizo referencia a los cultivares (Tabla 1).
| Fase Fenológica del cultivo | Cultivar | Tratamientos |
| Tuberización (Tub) | Criolla Colombia | Riego a capacidad de campo (Ctrl+) |
| Llenado tubérculo (Llen) | Mambera | Sequía en tuberización (-Tub) |
| Senescencia (Sen) | Sequía en llenado hasta cosecha (-Llen) | |
| Sequia de tuberización a cosecha (Ctrl–) |
Table 1. Study factors in the drought stress experiment on Solanum phureja under greenhouse conditions.
2.4. Humedad del suelo y condiciones climáticas
El riego se manejó por medio de goteros autocompensados. El control de la humedad se realizó mediante reflectometría de dominio temporal (TDR, por sus siglas en inglés), con el uso del Medidor de humedad HH2 (Delta-T Devices®).
A partir de la siembra se mantuvo la humedad a capacidad de campo en todo el experimento hasta el momento de inicio de cada tratamiento de déficit hídrico (inicio de tuberización e inicio de llenado del tubérculo) (Tabla 1), en este momento se redujo la humedad volumétrica [θ] del suelo desde capacidad de campo hasta el 10% (momento en el cual la planta pierde turgencia y hay cierre de estomas). Posteriormente a estas plantas se suministró riego hasta máximo el 20% [θ], manteniendo ciclos de agotamiento continuos entre el 10 a 20% hasta su rehidratación total, donde se llevaron a humedad constante a capacidad de campo hasta cosecha en tratamientos (-Tub), caso contrario a tratamientos (–Llen) y (Ctrl-), los cuales después de someterlos al tratamiento de déficit hídrico se mantuvieron bajo esa condición hasta la cosecha y tratamientos (Ctrl+), los cuales estuvieron a capacidad de campo durante todo el experimento.
El seguimiento de las condiciones climáticas se realizó a través de una estación meteorológica automatizada Davis Vantage Pro2 FAN Inalámbrica, 6153 (Davis Instruments®, USA), la cual registró durante el ciclo de evaluación una temperatura promedio de 17,4 °C, una máxima de 36,9 °C y mínima de 8,8 °C, una humedad relativa promedio 69,1% y una radiación solar promedio acumulada por día de 1.689,6 (Wm-2 ), como se observa en la (Tabla 2).
| Etapa del cultivo | Temperatura | Humedad relativa | Radiación solar | ||||||||
| °C | % | Wm-2 | |||||||||
| Prom | Min | Max | Prom | Min | Max | Prom | Min | Max | |||
| Vegetativo | 19,0 | 9,9 | 35,9 | 67,0 | 32 | 94 | 1.530,5 | 972 | 2.526 | ||
| Tuberización | 18,0 | 9,3 | 36,5 | 69,4 | 29 | 93 | 1.700,9 | 745 | 2.597 | ||
| Llenado | 16,8 | 8,2 | 37,4 | 70,0 | 31 | 94 | 1.745,7 | 923 | 2.345 | ||
| Senescencia | 15,9 | 7,9 | 34,6 | 69,8 | 26 | 95 | 1.781,3 | 465 | 6.991 | ||
| Promedio | 17,4 | 8,8 | 36,1 | 69,1 | 29,5 | 94,0 | 1.689,6 | 776,3 | 3.614,8 | ||
Table 2. Environmental conditions during the evaluation period of the experiment under greenhouse conditions.
El manejo agronómico en términos de nutrición y control fitosanitario se llevó a cabo de manera uniforme. La fertilización se realizó a razón de 80 kg N ha- 150 kg de P2O5 ha y 60 de K2O ha fraccionado al momento de la siembra y 15 días después.
2.5. Variables evaluadas
La metodología utilizada para cada variable en esta investigación fue:
Potencial hídrico foliar: se realizó con una cámara de presión Scholander en cinco plantas por cada tratamiento, cada tres días, en el tercer foliolo de la planta, con dos momentos de evaluación, en el día, al amanecer entre las 5:30 am y 6:00 am y al medio día entre las 12 pm y 1 pm. (Ariza et al., 2020; Pino et al., 2016).
Potencial hídrico del tallo: En el primer momento de evaluación en horas de la madrugada se seleccionaron cinco foliolos, en el tercer foliolo funcional por tratamiento, los cuales se cubrieron con papel aluminio hasta al medio día donde se descubrieron para su evaluación, de igual forma que el potencial foliar (Pino et al., 2016).
Intercambio gaseoso: se evaluó con la misma frecuencia que el potencial hídrico, en el tercer foliolo de la planta entre las 9 y 12 am, usando el equipo IRGA (LCpro-SD, ®ADC BioScientific) simulando la luz a 1.200 PAR, µmol m-2 s-1. Con esta evaluación se obtuvieron parámetros como, la tasa fotosintética [A] μmol CO2 m-2s-1, la conductancia estomática [gs] mol H2O m-2s-1, la transpiración [E] mmol H2O m-2s-1 y la temperatura foliar [Tfoliar] en °C. (Ariza et al., 2020; Díaz Valencia, 2016; Pino et al., 2016).
Eficiencia en el uso del agua a escala foliar: se calculó en dos niveles, en primer lugar, la eficiencia de la transpiración, esto es: asimilación de CO2 / transpiración (A/E, µmol CO2 / mol H2O) y, en segundo lugar, la eficiencia intrínseca en el uso del agua: asimilación de CO2 / conductancia estomática (A/gs, µmol CO2 / mol H2O) (Medrano et al., 2007).
Concentración de clorofila [Chl] en mg m-2: se evaluó con el equipo medidor de contenido de clorofila CCM-300 (®ADC BioScientific) en el tercer foliolo funcional de cada planta con la misma frecuencia y número de plantas que el intercambiador de gases (Ariza et al., 2020; Pino et al., 2016).
Materia seca: se utilizó una evaluación destructiva por órganos (raíz, tubérculo, tallo y hojas) de dos plantas por parcela de evaluación con intervalos de tiempo frecuentes en las etapas de pre-tuberización, tuberización [Tub], inicio del llenado del tubérculo [Llen], inicio de senescencia [Sen] y cosecha [Cos]. Las plantas se procesaron en el laboratorio por órganos, el secado se realizó en una estufa de aire forzado a una temperatura de 72 °C hasta llegar a un peso constante de la materia seca. (Ariza et al., 2020; Pino et al., 2016). Una vez se obtuvo los pesos secos por órganos, se procedió a estimar otros parámetros por medio de cálculos como relación fuente sumidero y parte área y subterránea.
Área foliar: se obtuvo por el método del disco, extrayendo con un sacabocados 20 discos de diferentes foliolos y secándolos como se mencionó anteriormente, luego con la materia seca foliar y la relación con la materia seca por el área del disco, se obtuvo el área foliar.
Rendimiento: se evaluó tomando cinco plantas por parcela, las cuales se cosecharon y se contó número de tubérculos [NTu] planta, rendimiento por planta y peso promedio del tubérculo. Además, se evaluó el índice de cosecha [IC], que corresponde al porcentaje de rendimiento económico (tubérculos) con relación al rendimiento biológico (planta completa) (Ariza et al., 2020; Díaz Valencia, 2016; Pino et al., 2016).
2.6. Análisis estadístico
La información obtenida se analizó a través del software R V.4.3.3, con los paquetes Agricolae, ggplot2 y ggpubur. Se realizó la verificación de supuestos donde se identificó la presencia de valores atípicos extremos, distribución normal de los datos, a través del estadístico de Shapiro-Wilk (p > 0,05), gráficos QQ normal y homogeneidad de varianzas a través del estadístico de Levene (R Core Team, 2020). Las variables cuantitativas se analizaron a través de un ANDEVA para un diseño en bloques al azar en parcelas subdivididas a través de modelos lineales generalizados, acompañado de la prueba de comparación de medias de Tukey (p < 0,05). Para aquellas variables que no se presentaron diferencias estadísticas entre las interacciones de tres y dos factores, se analizó el efecto de los factores principales por separado.
3. Resultados
3.1. Potencial hídrico
Se observaron diferencias significativas en el potencial hídrico [Ψ] foliar y del xilema, debido a los tratamientos de riego y la fase fenológica del cultivo (Pr(>F) < 2e-16). Los valores más bajos en Ψ se presentaron durante la fase de tuberización, al medio día y en tratamientos bajo estrés, con un promedio de -1,28 MPa (Figura 1). En las etapas de llenado y senescencia, en plantas con estrés hídrico, los valores de los tres potenciales evaluados fueron similares, oscilando entre -0,86 MPa y -1,14 MPa. El Ψ foliar más bajo al amanecer se registró en la fase de llenado del tubérculo en el tratamiento (-Llen), con -1,03 MPa.
Los tratamientos que sufrieron estrés temprano (-Tub), tras ser rehidratados, mostraron mayores valores de Ψ foliar al mediodía en la fase de llenado (-0,66 MPa) en comparación con el control (Ctrl+) (-0,79 MPa), y en la fase de senescencia, con valores de -0,70 MPa para -Tub y -0,83 MPa para Ctrl+ (Figura 1).

Figure 1. Leaf water potential at dawn and midday, and xylem water potential by effect of crop phenological stage and soil moisture treatment in Solanum phureja plants under greenhouse conditions.*
3.2. Intercambio Gaseoso
La conductancia estomática [gs] mostró diferencias significativas entre los tres factores: fenología, tratamientos de humedad del suelo y cultivar, con un valor de Pr(>F) de 0,00982 (Figura 2). La variedad Criolla Colombia presentó los valores más altos de gs cuando las plantas no estaban estresadas, en el tratamiento Ctrl+ durante la tuberización (0,407 mol m-2 s-1) y en la senescencia en el tratamiento -Tub (0,364 mol m-2 s-1). Durante el estrés, no se encontraron diferencias estadísticas entre los cultivares. Los valores más bajos de gs se registraron en la etapa de llenado del tubérculo, en -Llen con 0,050 mol m-2 s-1 para Criolla Colombia y 0,047 mol m-2 s-1 para Mambera.

Figure 2. Stomatal conductance by effect of crop phenological stage, soil moisture treatment and cultivar in Solanum phureja potato plants under greenhouse conditions.*
Para la tasa de fotosíntesis [A] y transpiración [E] se encontró diferencias estadísticas respecto a la fase fenológica y los tratamientos de riego aplicados con valores de Pr(>F) < 2e-16. Durante el estudio los valores de A fueron más altos en los tratamientos regados. En la fase de llenado del tubérculo y senescencia dentro de los tratamientos con riego -Tub fue superior a Ctrl+ alcanzando 14,72 µmol m-2 s-1 y 13,2 µmol m-2 s-1, además los valores de A en estos tratamientos fueron inferiores a los de otras fases en senescencia. De igual manera, el tratamiento Ctrl– fue mayor a -Llen a partir del llenado de tubérculo. En el caso de E, los valores más altos se registraron en la fase de tuberización, con 3,45 mmol m-2 s-1 en plantas Ctrl+.Por último, el tratamiento Ctrl- mostró valores superiores en las fases de llenado y senescencia respecto a -Llen, para E, comportamiento similar a lo descrito para A en los mismos tratamientos y fases del estudio (Tabla 3).
La temperatura foliar (Tfoliar) estuvo influenciada por la temperatura ambiental y los tratamientos de estrés por déficit hídrico. Las plantas sometidas a estrés presentaron temperaturas más altas que las no estresadas. Las temperaturas más elevadas se registraron en la fase de senescencia, alcanzando 30,96 °C en -Llen y 30,63 °C en Ctrl-. Además, los tratamientos -Tub mostraron una tendencia a tener valores más altos de Tfoliar tras la rehidratación en comparación con las plantas control Ctrl+ (Tabla 3).
| Fase fenológica del cultivo | Tratamiento | A | gs | E | Tfoliar | (WUEi) | A/E |
| µmol m-2 s-1 | mol m-2 s-1 | mmol m-2 s-1 | °C | ||||
| Tuberización (Tub) | Ctrl+ | 13,9 ab | 0,31ª | 3,4ª | 29,7d | 68,3cde | 4,4c |
| +/-0,39 | +/- 0,032 | +/-0,069 | +/-0,146 | +/-1,56 | +/-0,062 | ||
| -Tub | 4,8d | 0,08c | 1,2c | 30,3abc | 84,4b | 5,2bc | |
| +/-0,209 | +/- 0,005 | +/-0,051 | +/-0,131 | +/-2,54 | +/-0,678 | ||
| -Llen | 13,8bc | 0,22b | 3,3ab | 30,1bcd | 77,0bcd | 4,3c | |
| +/-0,129 | +/- 0,006 | +/-0,045 | +/-0,134 | +/-1,74 | +/-0,051 | ||
| Ctrl- | 4,7d | 0,06c | 1,1cd | 30,1bcd | 79,3bc | 6,2bc | |
| +/-0,213 | +/- 0,005 | +/-0,049 | +/-0,132 | +/-2,49 | +/-0,723 | ||
| Llenado Tubérculo (Llen) | Ctrl+ | 13,9ab | 0,26ab | 3,1b | 29,6d | 65,3de | 5,3bc |
| +/- 0,143 | +/- 0,008 | +/-0,065 | +/-0,164 | +/-1,55 | +/-0,129 | ||
| -Tub | 14,7ª | 0,26ab | 3,1b | 29,8cd | 67,3cde | 6,1bc | |
| +/-0,126 | +/- 0,006 | +/-0078 | +/-0,148 | +/-1,68 | +/-0,181 | ||
| -Llen | 3,8e | 0,05c | 0,9d | 30,2bcd | 107,3ª | 11,4ª | |
| +/- 0,180 | +/- 0,004 | +/-0,056 | +/-0,149 | +/-4,90 | +/-0,764 | ||
| Ctrl- | 4,9d | 0,06c | 1,2 c | 30,0bcd | 119,0a | 7,4b | |
| +/-0,204 | +/- 0,004 | +/-0,066 | +/-0,16 | +/-4,61 | +/-0,657 | ||
| Senescencia (Sen) | Ctrl+ | 12,9c | 0,28ab | 3,3ab | 29,7cd | 55,9ef | 4,3c |
| +/- 0,147 | +/- 0,007 | +/-0,054 | +/-0,201 | +/-2,11 | +/-0,147 | ||
| -Tub | 13,2bc | 0,32ª | 3,2ab | 29,9bcd | 49,8f | 4,7c | |
| +/- 0,131 | +/- 0,008 | +/-0,060 | +/-0,186 | +/-2,10 | +/-0,19 | ||
| -Llen | 3,6e | 0,07c | 0,9cd | 31,0a | 63,4def | 5,0bc | |
| +/- 0,300 | +/- 0,007 | +/-0,073 | +/-0,190 | +/-2,94 | +/-0,543 | ||
| Ctrl- | 5,2d | 0,08c | 1,3c | 30,6abc | 88,8b | 5,0bc | |
| +/- 0,274 | +/- 0,007 | +/-0,067 | +/-0,202 | +/-3,56 | +/-0,232 |
Table 3. Photosynthetic rate [A], transpiration [E] and leaf temperature (Tfoliar), leaf-scale water use efficiency [WUEi, A/E] by the effect of the interaction between phenological stage and moisture treatments in Solanum phureja plants under greenhouse conditions.*
* Medias con la misma letra no son significativamente diferentes (p 0,05) Tukey. / Means with the same letter were not significantly different (p 0.05) Tukey.Se encontraron diferencias estadísticas significativas en la Eficiencia Hídrica con Pr(>F) < 2e-16 para la eficiencia intrínseca en el uso del agua [WUEi] y Pr(>F) de 0,00034 para la eficiencia de la transpiración [A/E]. Los valores más altos de WUEi se registraron en la fase de llenado del tubérculo, alcanzando 107,35 µmol CO₂/mmol H₂O en (-Llen) y 119,03 µmol CO₂/mmol H₂O en (Ctrl-); para A/E, el valor máximo fue de 11,41 µmol CO₂/mol H₂O en (-Llen). Los valores más bajos se observaron en la fase de senescencia, con 49,86 µmol CO₂/mmol H₂O para WUEi en (-Tub) y 4,31 µmol CO₂/mol H₂O para A/E en (Ctrl+). (Tabla 3)
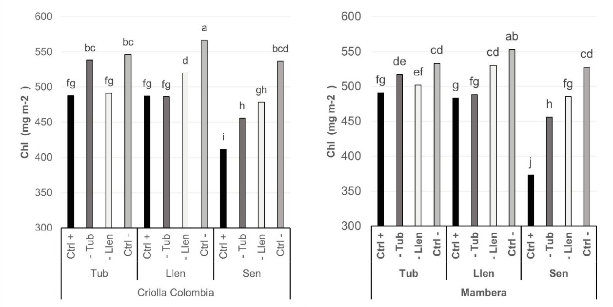
3.3. Concentración de clorofila
Para la interacción entre la fase fenológica, el tratamiento de estrés hídrico y el cultivar, se encontraron diferencias significativas con un valor de Pr(>F) de 2,33e-05. Los contenidos de clorofila fueron más altos en la fase de llenado del tubérculo en Ctrl-, alcanzando 566,77 mg m-2 para Criolla Colombia y 553 mg m-2 para Mambera. Los valores más bajos se registraron en la fase de senescencia en Ctrl+, con 471,43 mg m-2 para Criolla Colombia y 373 mg m-2 para Mambera, evidenciando diferencias entre los cultivares. En la fase de senescencia, en tratamientos regados la concentración de clorofila fue mayor en -Tub respecto a Ctrl+ en ambos cultivares. En los tratamientos sin riego, Ctrl- mostró una mayor concentración de clorofila en comparación con -Llen (Figura 3).

Figure 3. Chlorophyll concentration by effect of crop phenological stage, soil moisture treatment and cultivar in Solanum phureja plants under greenhouse conditions.*
3.4. Área foliar
Se encontraron diferencias significativas (Pr(>F) = 0,00597). El área foliar se redujo por el déficit hídrico, con menores valores en los tratamientos -Tub, Ctrl- y -Llen en comparación con Ctrl+. Este último mostró los valores más altos con 256,1 dm² planta-1 para Mambera y 209,80 dm² planta-1 para Criolla Colombia al inicio de la senescencia. En -Llen, el crecimiento de las hojas disminuyó su tasa en Mambera, mientras que plantas -Tub mostró una recuperación tras la rehidratación. Por último, Ctrl- presentó un crecimiento lento pero progresivo hasta la cosecha, siendo más marcado en Mambera (Figura 4).

Figure 4. Leaf area by effect of phenological stage, soil moisture treatments, and cultivar on Solanum phureja plants under greenhouse conditions.
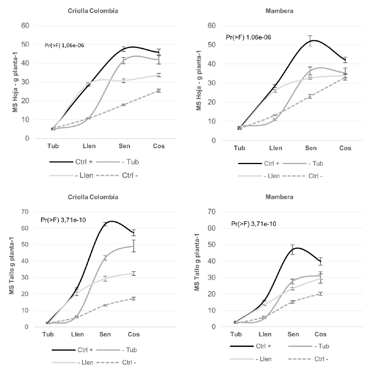
3.5. Materia seca parte aérea
La acumulación de materia seca en las hojas presentó diferencias significativas (Pr(>F) = 0,0168), alcanzando su máximo al inicio de la senescencia con 51,99 g planta-1 en Mambera y 47,47 g en Criolla Colombia en el tratamiento Ctrl+. Se observó que el tratamiento -Llen detuvo su crecimiento tras la suspensión del riego y una alta recuperación en -Tub principalmente en Criolla Colombia (Figura 5).
Para la acumulación de materia seca en el tallo, también se encontraron diferencias significativas (Pr(>F) = 3,71e-10), con valores más altos en Criolla Colombia, especialmente en los tratamientos Ctrl+ y -Tub. En los tratamientos -Llen y Ctrl-, los valores tendieron a igualarse (Figura 5).

Figure 5. Dry matter accumulation in aboveground biomass of the plant by effect of phenological stage, soil moisture treatment, and cultivar in Solanum phureja plants under greenhouse conditions.
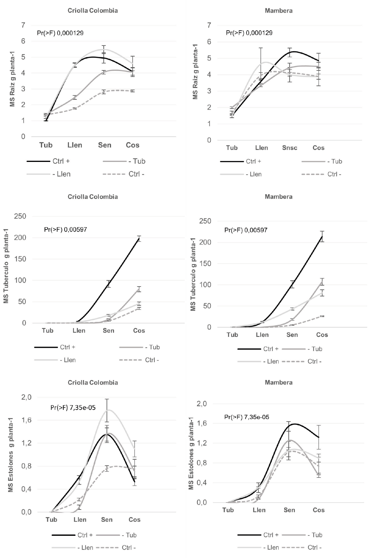
3.6. Materia seca parte subterránea
La materia seca de raíz, estolón y tubérculo presentó diferencias significativas con Pr(>F) 0,000129, 7,35e-05 y 0,00597 respectivamente. Para la raíz se identificó patrones de crecimiento diferenciales entre los cultivares según la etapa de influencia del estrés, los valores más altos se presentaron al inicio de la senescencia con 5,48 y 5,35 g planta-1 para Criolla Colombia en -Llen y para Mambera en Ctrl+ respectivamente (Figura 6). Además, se pudo observar, cómo a partir del inicio del llenado Criolla Colombia -Llen continuó su crecimiento por encima de los demás tratamientos hasta la cosecha. Por el contrario, Mambera -Llen detuvo su crecimiento.
En cuanto a los estolones el momento de mayor acumulación para todos los tratamientos fue en la etapa de inicio de senescencia, donde Criolla Colombia -Llen presentó los valores más altos con 1,77 g planta-1. En cuanto a la acumulación de materia seca de tubérculo, Mambera fue mayor en los tratamientos Ctrl+ con 213,77 g planta-1, -Tub con 107,13 g planta-1 y -Llen con 80,99 g planta-1 respecto a Criolla Colombia.

Figure 6. Belowground biomass measured from the top to the bottom of the root, tuber and stolon by the effect of phenological stage, soil moisture treatments, and cultivar in Solanum phureja plants under greenhouse conditions.
3.7. Rendimiento
En cuanto al rendimiento se observó como los cultivares presentan diferente comportamiento de sus componentes de rendimiento, presentándose mayores valores para Mambera respecto a Criolla Colombia en -Tub en las variables índice de cosecha con 59,47%, rendimiento por planta con 468,6 g planta-1 y peso promedio de tubérculo con 24,1 g tubérculo-1. Con respecto a la variable número de tubérculo [NTu] por planta Criolla Colombia en -Tub y -Llen fue superior con 27 NTu planta-1 (Tabla 4).
| Tratamiento | Cultivares | Índice de cosecha | Rendimiento | Número de tubérculos planta -1 | Peso promedio tubérculo |
| (%) | (g planta-1) | (g tubérculo-1) | |||
| Ctrl+ | CC | 64,64b | 659,9b | 27ª | 24,9b |
| +/-0,962 | +/-15,6 | +/-0,967 | +/-1,27 | ||
| MAM | 70,49ª | 841,3ª | 19b | 47,8ª | |
| +/-1,73 | +/-32,6 | +/-0,981 | +/-3,08 | ||
| -Tub | CC | 45,230d | 302,5d | 27ª | 11,4c |
| +/-3,35 | +/-21,0 | +/-1,46 | +/-0,849 | ||
| MAM | 59,47c | 468,6c | 21b | 24,1b | |
| +/-3,03 | +/-28,4 | +/-1,29 | +/-1,74 | ||
| -Llen | CC | 38,32e | 175,6e | 27ª | 6,6c |
| +/-2,12 | +/-10,1 | +/-1,29 | +/-0,38 | ||
| MAM | 53,60d | 369,3d | 18b | 21,0b | |
| +/-2,48 | +/-20,8 | +/-0,778 | +/-1,57 | ||
| Ctrl- | CC | 42,19e | 144,4e | 20b | 7,4c |
| +/-2,51 | +/-8,93 | +/-1,03 | +/-0,441 | ||
| MAM | 31,13e | 175,8e | 9c | 18,5b | |
| +/-1,21 | +/-33,0 | +/-0,734 | +/-2,06 |
Table 4. Yield components at harvest due to the effect of cultivar and water deficit stress treatments on Solanum phureja plants.*
4. Discusión
Se identificaron respuestas al déficit hídrico donde interactuaron los parámetros evaluados, los cuales se determinaron por el cultivar y la fase fenológica de ocurrencia del estrés, lo que concuerda con lo reportado por Ramírez et al. (2014) en estudios similares realizados en papa bajo condiciones protegidas y de campo. Por su parte, Fang y Xiong, (2015) determinaron categorías de respuesta de adaptación al estrés hídrico, donde se integra el accionar de parámetros fisiológicos, al igual que lo evidenciado en este estudio.
El comportamiento del potencial hídrico foliar y de xilema, dependió de las condiciones ambientales durante el día y la intensidad del déficit hídrico, un mayor déficit de presión de vapor al medio día aumenta la transpiración lo que contribuye a intensificar el estrés en ese momento del día. Autores como Pino et al. (2016) han descrito valores para el potencial hídrico xilemático de 0,59 MPa con 100% de riego y -1,15 MPa con 25% de riego. En cuanto al potencial hídrico foliar, Díaz Valencia (2016) reportó, bajo condiciones de estrés, valores con rangos entre –1,34 MPa hasta -1,56 MPa, resultados similares a los obtenidos en esta investigación (Figura 1).
La disminución del potencial hídrico foliar genera una pérdida de turgencia celular, lo que afecta el crecimiento de la planta, limitando su desarrollo estructural y funcional (Vila, 2011). Como respuesta fisiológica, la planta generó el cierre estomático como mecanismo para reducir la pérdida de agua por transpiración, aunque con el costo de restringir el intercambio gaseoso y la actividad fotosintética (Gervais et al., 2021). Este proceso conduce a una reducción del área foliar, bien sea por la disminución en el número de hojas o por la limitación en su expansión, lo cual constituye una estrategia de adaptación para minimizar la demanda hídrica (Hill et al., 2021; Mahmud et al., 2015).
Además, bajo condiciones de estrés hídrico, la planta incrementa su energía en el desarrollo radicular, lo que se traduce en un aumento de la relación raíz/hoja, lo que favorece la exploración del suelo y la captación de agua (Hill et al., 2021). De igual forma, se activa un ajuste osmótico a través de la acumulación de solutos compatibles, lo cual permite disminuir el potencial osmótico y conservar la turgencia celular, contribuyendo así a sostener la humedad en los tejidos y a mantener los procesos fisiológicos esenciales durante la sequía (Sánchez-Rodríguez et al., 2010).
El cierre estomático evidenciado trajo como consecuencia el aumento de la temperatura foliar, la disminución de la traspiración y la fotosíntesis, y, lo que disminuyó la captación de CO2 y por ende la producción de carbohidratos y el rendimiento (Ariza et al., 2020). El aumento prolongado de la temperatura foliar bajo estrés severo podría traer efectos secundarios negativos al estrés por el déficit hídrico sobre la fotosíntesis, respiración, estabilidad de las membranas, modulación de las hormonas y metabolitos secundarios (Kim et al.,2017; Paul et al., 2016). Estos parámetros no fueron evaluados en este estudio, pero podrían ser objeto en nuevas investigaciones con el fin de comprender el efecto de la temperatura foliar como una covariable que puede modular la respuesta, contribuir a aumentar la severidad del estrés, además según Gerhards et al. (2016) hace referencia a esta variable como de interés para procesos de teledetección del estrés.
Las plantas sometidas a estrés mostraron mayor WUEi, durante la fase de llenado del tubérculo. El WUE (A/E, WUEi) se refiere a la capacidad de realizar tasas de fotosíntesis con una menor pérdida de agua. La diferencia entre A/E y WUEi radica en que A/E depende de la planta y de las condiciones ambientales, de manera que una misma apertura estomática puede resultar en diferentes niveles de transpiración según varíen la temperatura y la humedad. Por su parte, el WUEi mide la habilidad de la hoja para regular la A y gs de manera independiente de las condiciones atmosféricas. Por lo tanto, este último parámetro puede estar más relacionado con la tolerancia o adaptabilidad de la planta a las condiciones de sequía (Medrano Gil et al., 2007).
La WUEi y la reducción del área foliar son características que mejoran el rendimiento en situaciones de estrés severo (Tardieu, 2013). Sin embargo, este enfoque no resulta adecuado en condiciones de sequía moderada, donde cultivares con un WUEi bajo pueden ser más eficientes (Blum, 2009). Según los resultados obtenidos es posible observar como en la fase de tuberización se presentó menor WUEi, una menor área foliar durante esta fase presenta baja transpiración total, lo que permite mantener procesos fotosintéticos activos, Mediante el uso de pequeños pulsos de agua generados internamente de la planta debido a bajas tasas de transpiración.
La reducción del área foliar no solo disminuye las pérdidas de agua, sino que también provoca un aumento en la concentración de clorofila y retardo en la senescencia (Ramírez et al., 2014; Rolando et al., 2015), de manera similar como se presentó en este estudio. Este fenómeno ha sido relacionado en cultivares que son tolerantes a la sequía, ya que indica una menor fotooxidación, degradación de la clorofila y sostenimiento de ciertas actividades fisiológicas, a causa de la activación de genes relacionados con la respuesta al estrés (Alhoshan et al., 2019; Ariza et al., 2020; Zhang et al., 2014). Los mecanismos de tolerancia incluyen la mitigación de daños mediante enzimas protectoras, el ajuste osmótico y el incremento de la clorofila (Fang y Xiong, 2015).
El incremento en el verdor en la fase de senescencia extiende la fotosíntesis, por medio del alargamiento del ciclo de vida, este comportamiento se configura como una estrategia de escape a la sequía, la cual está asociada al ajuste en la duración de las fases fenológicas del cultivo (Araus et al., 2002). Trabajos realizados por Hörtensteiner, (2009) y Thomas y Howarth (2000) reportan verdores prologados funcionales y no funcionales. El primero implica un aumento de la clorofila y la capacidad fotosintética, mientras que en el segundo no ocurre el aumento de dicha capacidad. En la presente investigación se observó como la fotosíntesis y la concentración de clorofila en senescencia fue mayor en los tratamientos Ctrl- y -Tub respecto a los tratamientos en igual condición hídrica, de igual manera se evidenció un aumento progresivo del área foliar y materia seca foliar en Ctrl- para esta fase, lo que nos podría indicar, un verdor prolongado funcional, sin embargo esto se debe validar en estudios posteriores, con un enfoque en evaluaciones detalladas de la fenología del cultivo bajo condiciones de déficit hídrico.
En cuanto al verdor de las hojas no funcionales o también denominado verdor cosmético, autores como Rolando et al. (2015) reportaron que los genotipos con mayor susceptibilidad a la sequía identificados en sus estudios fueron los que más aumentaron la concentración de clorofila después de la restricción de agua. A su vez, Ramírez et al. (2014) menciona que el aumento de la concentración de clorofila puede traer posibles consecuencias negativas en rendimiento por un costo extra energético y desequilibrio fisiológico entre el crecimiento e inversión en metabolismo secundario. Por lo tanto, el comportamiento de la clorofila es una variable que requiere ser analizada de una manera integral para poder definir tolerancia o susceptibilidad.
La respuesta por acción de los cultivares fue determinante en este estudio, lo cual coincide con resultados obtenidos por Rodríguez-Pérez et al. (2017), quienes compararon cuatro cultivares de Solanum tuberosum encontrando diferencias en su respuesta fisiológica bajo estrés. La mayor precocidad para la tuberización, baja conductancia estomática, menor número y mayor tamaño de tubérculos, contribuyeron a mejorar la respuesta de Mambera respecto a Criolla Colombia (Ariza et al., 2020). Según Deblonde y Ledent (2001) es necesario profundizar en el estudio de la fenología de cultivares y su respuesta a déficit hídrico, sugiriendo que los cultivares de ciclo más corto escaparían a periodos de sequía tardíos.
Por último, cuando el estrés fue temprano se evidenció una mayor recuperación y adquisición del control de la perdida de humedad. Según Fang y Xiong (2015), la capacidad de recuperación es la facultad para reanudar el crecimiento y aumentar el rendimiento tras la exposición a un estrés por sequía, además, autores como Rowland et al. (2012) han enfatizado que un estrés leve en las fases iniciales puede llevar a una aclimatación. Por el contrario, en el presente estudio se evidenció que cuando el estrés fue tardío se presentó una mayor severidad por su alta área foliar y órganos fuente en crecimiento, por lo cual, la planta priorizó terminar de consolidar sus componentes de rendimiento (tamaño de tubérculos y maduración) que el crecimiento aéreo de la planta, incluso se podría acortar el ciclo de vida de la planta, pero en cuanto a este aspecto se requieren profundizar en evaluaciones de fenología.
Queriendo ir más allá de esta investigación se referencian estudios recientes enfocados en la identificación de mecanismos moleculares asociados con la tolerancia a este tipo de estrés. Por un lado, Wei et al. (2025) caracterizaron el gen StERF79, un factor de transcripción de la familia AP2/ERF, cuya sobreexpresión mejora la tolerancia a la sequía mediante la activación de genes relacionados con la acumulación de osmoprotectores como la prolina, SOD, POD, CAT y proteínas de respuesta tardía al estrés (LEA), como StDHN‑2, mientras que el contenido de MDA disminuyó en condiciones de estrés hídrico Por otro lado, Pieczynski et al. (2018), mediante un análisis transcriptómico a gran escala (RNA‑seq), identificaron múltiples genes expresados en condiciones de sequía, candidatos funcionales como MAPKKK15 y transportadores de nutrientes, cuya validación en Arabidopsis confirmó su rol conservado en la respuesta al estrés hídrico. Estos hallazgos abren nuevas posibilidades tanto para el mejoramiento genético asistido por marcadores como para estrategias de ingeniería genética orientadas a mitigar los efectos del cambio climático sobre este cultivo estratégico.
5. Conclusiones
La respuesta fisiológica de adaptación de Solanum phureja al estrés por déficit hídrico depende de la combinación de factores como la intensidad de la sequía, la fase fenológica de ocurrencia del estrés y el cultivar expuesto a dicha condición. De esta manera, el análisis integrado del comportamiento de diversos grupos de variables según su tipología permite comprender respuestas complejas para definir cultivares tolerantes o susceptibles a la sequía. Acompañar estos resultados con pronósticos climáticos será estratégico para realizar recomendaciones de manejo agronómico del cultivo y así disminuir las pérdidas, por ejemplo, estrés en fases iniciales del cultivo como la tuberización favorece la memoria hídrica de la planta adquiriendo un uso eficiente del agua durante el ciclo restante del cultivo, lo cual puede ser beneficioso para futuros déficits hídricos más severos. Estreses en fases intermedias del cultivo como el llenado del tubérculo requieren aplicación de riego complementario según su intensidad. Además, la definición de épocas de siembra ayudara a establecer ventanas de escape a déficit hídricos severos del cultivo en las fases fenológicas más susceptibles, definir calendarios de riego y fraccionamiento de la fertilización.
El cultivar Mambera se caracterizó por producir menos tubérculos, pero de mayor tamaño, sumado esto, a que bajo déficit hídrico, priorizó el crecimiento del tubérculo sobre la parte área de la planta lo cual favoreció su respuesta productiva bajo esta condición al poder cosechar tubérculos de tamaño comercial, caso contrario al cultivar Criolla Colombia el cual los tubérculos producidos bajo déficit hídrico fueron de bajo tamaño no aptos para su comercialización, siendo este último cultivar más apto para siembras bajo condiciones de precipitación optimas para el cultivo.
Financiamiento
El trabajo formó parte del proyecto “Mejoramiento tecnológico productivo del sistema papa en el departamento de Nariño”, ejecutado por la Corporación Colombiana de Investigación Agropecuaria - AGROSAVIA, financiado por fondos de regalías del departamento de Nariño, Colombia
Contribuciones de los autores
Juan Fernando López Rendón: conceptualización, curación de datos, análisis formal, investigación, metodología, adquisición de fondos, recursos, supervisión, validación, visualización, redacción – borrador original, redacción – revisión y edición
Hyrcania Vanessa López Peñafiel: conceptualización, investigación, adquisición de fondos, recursos, supervisión, visualización, redacción – borrador original, redacción – revisión y edición
Pedro Rodriguez Hernandez: curación de datos, investigación, metodología, validación, visualización, supervisión, redacción – borrador original, redacción – revisión y edición.
Implicaciones éticas
Los autores declaran que no existen implicaciones éticas.
Conflicto de interés
Los autores declaran que no existen conflictos de interés financieros o no financieros que podrían haber influido en el trabajo presentado en este artículo.
Referencias
Abaunza González, C. A., Sánchez Vivas, D. F., Cerón Lasso, M. del S., y Echeverry Prieto, L. C. (2022). Análisis del riesgo por cambio climático en el cultivo de papa diploide (Solanum phureja Juz. et Buk.) en municipios productores del Departamento de Cundinamarca. En Papa nativa diploide: en busca de fortalecer el sistema productivo de Colombia (pp. 67-85). Editorial Grupo Compás. http://hdl.handle.net/20.500.12324/38029
Alhoshan, M., Zahedi, M., Ramin, A. A., y Sabzalian, M. R. (2019). Effect of soil drought on biomass production, physiological attributes and antioxidant enzymes activities of potato cultivars. Russian Journal of Plant Physiology, 66(2), 265–277. https://doi.org/10.1134/S1021443719020031
Araus, J. L., Slafer, G. A., Reynolds, M. P., y Royo, C. (2002). Plant breeding and drought in C3 cereals: What should we breed for? Annals of Botany, 89(7), 925-940. https://doi.org/10.1093/AOB/MCF049
Ariza, W., Rodríguez, L. E., Moreno-Echeverry, D., Guerrero, C. A., y Moreno, L. P. (2020). Effect of water deficit on some physiological and biochemical responses of the yellow diploid potato (Solanum tuberosum L. Group Phureja). Agronomía Colombiana, 38(1), 36–44. https://doi.org/10.15446/agron.colomb.v38n1.78982
Blum, A. (2009). Effective use of water (EUW) and not water-use efficiency (WUE) is the target of crop yield improvement under drought stress. Field Crops Research, 112(2–3), 119–123. https://doi.org/10.1016/j.fcr.2009.03.009
Deblonde, P. M. K., y Ledent, J. F. (2001). Effects of moderate drought conditions on green leaf number, stem height, leaf length and tuber yield of potato cultivars. European Journal of Agronomy, 14(1), 31–41. https://doi.org/10.1016/S1161-0301(00)00081-2
Díaz Valencia, P. A. (2016). Evaluación de la tolerancia al estrés hídrico en genotipos de papa criolla (Solanum phureja Juz et Buk). Universidad Nacional de Colombia. https://repositorio.unal.edu.co/handle/unal/55602
Fang, Y. J., y Xiong, L. Z. (2015). General mechanisms of drought response and their application in drought resistance improvement in plants. Cellular & Molecular Life Sciences Cmls, 72(4), 673–689. https://doi.org/10.1007/s00018-014-1767-0
Federación Colombiana de Productores de Papa [Fedepapa]. (2023). Boletín Regional Nacional Papa Volumen 7 2023. Federación Colombiana de Productores de Papa. https://fedepapa.com/wp-content/uploads/2024/04/Regional-Nacional.pdf
Food and Agriculture Organization of the United Nations [FAO] (2025). FAOSTAT: Potato production – Crops and livestock products. https://www.fao.org/faostat/en/#data
Gerhards, M., Rock, G., Schlerf, M., y Udelhoven, T. (2016). Water stress detection in potato plants using leaf temperature, emissivity, and reflectance. International Journal of Applied Earth Observation and Geoinformation, 53, 27–39. https://doi.org/10.1016/j.jag.2016.08.004
Gervais, T., Creelman, A., Li, X.-Q., Bizimungu, B., de Koeyer, D., y Dahal, K. (2021). Potato response to drought stress: physiological and growth basis. Frontiers in Plant Science, 12, e698060. https://doi.org/10.3389/fpls.2021.698060
Gómez, T. M., López, J. B., Pineda, R., Galindo, L. F., Arango, R., y Morales, J. G. (2012). Caracterización citogenética de cinco genotipos de papa criolla, Solanum phureja (Juz. et Buk.). Revista Facultad Nacional de Agronomía Medellín 65(1), 6379–6387. https://www.redalyc.org/articulo.oa?id=179924340008.
Graça, J. P. da, Rodrigues, F. A., Farias, J. R. B., Oliveira, M. C. N. de, Hoffmann-Campo, C. B., y Zingaretti, S. M. (2010). Physiological parameters in sugarcane cultivars submitted to water deficit. Brazilian Journal of Plant Physiology, 22(3), 189–197. https://doi.org/10.1590/S1677-04202010000300006
Hill, D., Nelson, D., Hammond, J., y Bell, L. (2021). Morphophysiology of potato (Solanum tuberosum) in response to drought stress: Paving the way forward. Frontiers in Plant Science, 11, 597554. https://doi.org/10.3389/fpls.2020.597554
Hörtensteiner, S. (2009). Stay-green regulates chlorophyll and chlorophyll-binding protein degradation during senescence. Trends in Plant Science, 14(3), 155–162. https://doi.org/10.1016/j.tplants.2009.01.002
Kim, Y.-U., Seo, B.-S., Choi, D.-H., Ban, H.-Y., y Lee, B.-W. (2017). Impact of high temperatures on the marketable tuber yield and related traits of potato. European Journal of Agronomy, 89, 46–52. https://doi.org/10.1016/j.eja.2017.06.005
López-Rendón, J. F., Rodríguez-Hernández, P., Meneses Buitrago, D. H., y Lopez-Peñafiel, H.-V. (2024). Respuesta fisiológica de Solanum phureja bajo déficit hídrico. Agronomía Mesoamericana, 35, 55692. https://doi.org/10.15517/am.2024.55692
Mahmud, A. al, Hossain, M., Kadian, M. S., y Hoque, Md. A. (2015). Physiological and biochemical changes in potato under water stress condition. Indian Journal of Plant Physiology, 20(4), 297–303. https://doi.org/10.1007/s40502-015-0173-4
Marmolejo, D., y Ruiz, J. (2018). Tolerancia de papas nativas (Solanum spp.) a heladas en el contexto de cambio climático. Scientia Agropecuaria, 9(3), 393–400. https://doi.org/10.17268/sci.agropecu.2018.03.10
Medrano Gil, H., Bota Salort, J., Cifre Llompart, J., Flexas Sans, J., Ribas Carbó, M., y Gulías León, J. (2007). Eficiencia en el uso del agua por las plantas. Investigaciones Geográficas, (43), 63-84. https://doi.org/10.14198/INGEO2007.43.04
Molina Cita, Y., Caez Ramirez, G. R., Cerón Lasso, M. S., y Garnica Holguín, A. M. (2015). Contenido de antioxidantes en papas criollas nativas (Solanum tuberosum L. grupo Phureja) en proceso de precocción y congelación. Alimentos Hoy, 23(36) 31–41. https://alimentoshoy.acta.org.co/index.php/hoy/article/view/341
Moradi, R., Koocheki, A., Nassiri Mahallati, M., y Mansoori, H. (2013). Adaptation strategies for maize cultivation under climate change in Iran: irrigation and planting date management. Mitigation and Adaptation Strategies for Global Change, 18(2), 265–284. https://doi.org/10.1007/s11027-012-9410-6
Ñústez López, C. E., y Rodríguez Molano, L. E. (2024). Papa criolla (Solanum tuberosum L. Grupo Phureja): manual de recomendaciones técnicas para su cultivo en Cundinamarca. Universidad Nacional de Colombia. https://repositorio.unal.edu.co/handle/unal/86779
Paul, S., Farooq, M., y Gogoi, N. (2016). Influence of high temperature on carbon assimilation, enzymatic antioxidants and tuber yield of different potato cultivars. Russian Journal of Plant Physiology, 63(3), 319–325. https://doi.org/10.1134/S1021443716030109
Pieczynski, M., Wyrzykowska, A., Milanowska, K., Boguszewska‐Mankowska, D., Zagdanska, B., Karlowski, W., Jarmolowski, A., y Szweykowska‐Kulinska, Z. (2018). Genomewide identification of genes involved in the potato response to drought indicates functional evolutionary conservation with Arabidopsis plants. Plant Biotechnology Journal, 16(2), 603–614. https://doi.org/10.1111/pbi.12800
Pino, M.T, Park E. J., Chen, H. H. T., Ramírez, D. A., Monneveux, P., Quiroz, R., González, S., Gutiérrez, R., Aguayo, F., Salazar, C., Romero, P., y Antúnez, A. (2016). Estrés hídrico y térmico en papas avances y protocolos. Boletin no.331. Instituto de Investigaciones Agropecuarias [INIA]. https://www.researchgate.net/publication/305222881_Estres_hidrico_y_termico_en_papas_avances_y_protocolos_Boletin_INIA_N_331_148p
R Core Team. (2020). R: A Language and Environment for Statistical Computing. R Foundation for Statistical Computing. https://www.r-project.org/
Ramírez, D. A., Yactayo, W., Gutiérrez, R., Mares, V., de Mendiburu, F., Posadas, A., y Quiroz, R. (2014). Chlorophyll concentration in leaves is an indicator of potato tuber yield in water-shortage conditions. Scientia Horticulturae, 168, 202–209. https://doi.org/10.1016/j.scienta.2014.01.036
Red de información y comunicación del sector Agropecuario Colombiano [Agronet] (2024). Reporte: Área, Producción y Rendimiento Nacional por Cultivo. https://www.agronet.gov.co/estadistica/Paginas/home.aspx?cod=1
Rodríguez-Pérez, L., Ñústez López, C. E., y Moreno, L.P. (2017). El estrés por sequía afecta los parámetros fisiológicos, pero no el rendimiento de los tubérculos en tres cultivares de papa andina (Solanum tuberosum L.). Agronomía Colombiana, 35(2), 158-170. https://doi.org/10.15446/agron.colomb.v35n2.65901
Rolando, J. L., Ramírez, D. A., Yactayo, W., Monneveux, P., y Quiroz, R. (2015). Leaf greenness as a drought tolerance related trait in potato (Solanum tuberosum L.). Environmental and Experimental Botany, 110, 27–35. https://doi.org/10.1016/j.envexpbot.2014.09.006
Rowland, D. L., Faircloth, W. H., Payton, P., Tissue, D. T., Ferrell, J. A., Sorensen, R. B., y Butts, C. L. (2012). Primed acclimation of cultivated peanut (Arachis hypogaea L.) through the use of deficit irrigation timed to crop developmental periods. Agricultural Water Management, 113, 85–95. https://doi.org/10.1016/j.agwat.2012.06.023
Rudack, K., Seddig, S., Sprenger, H., Köhl, K., Uptmoor, R., y Ordon, F. (2017). Drought stress‐induced changes in starch yield and physiological traits in potato. Journal of Agronomy and Crop Science, 203(6), 494–505. https://doi.org/10.1111/jac.12224
Sánchez-Rodríguez, E., Rubio-Wilhelmi, M., Cervilla, L. M., Blasco, B., Rios, J. J., Rosales, M. A., Romero, L., y Ruiz, J. M. (2010). Genotypic differences in some physiological parameters symptomatic for oxidative stress under moderate drought in tomato plants. Plant Science, 178(1), 30–40. https://doi.org/10.1016/j.plantsci.2009.10.001
Sierra Herrera, J., P. (2019). Cambio climático y producción de papa en Zona papera de Boyacá 1986-2017. Universidad Pedagógica y Tecnológica de Colombia. http://repositorio.uptc.edu.co/handle/001/3676
Singh, B., Kukreja, S., y Goutam, U. (2020). Impact of heat stress on potato (Solanum tuberosum L.): present scenario and future opportunities. The Journal of Horticultural Science and Biotechnology, 95(4), 407–424. https://doi.org/10.1080/14620316.2019.1700173
Tardieu, F. (2013). Plant response to environmental conditions: assessing potential production, water demand, and negative effects of water deficit. Frontiers in Physiology, 4. 1-11 https://doi.org/10.3389/fphys.2013.00017
Thomas, H., y Howarth, C. J. (2000). Five ways to stay green. Journal of Experimental Botany, 51(suppl_1), 329–337. https://doi.org/10.1093/jexbot/51.suppl_1.329
Vila, H. F. (2011). Regulación de la hidratación y la turgencia foliares por mecanismos evitadores del estrés, y resistencia a déficit hídrico en vid. Universidad Nacional de Cuyo. https://bdigital.uncu.edu.ar/objetos_digitales/4367/vila-regulacionhidratacion.pdf
Wang, C., Shi, X., Liu, J., Zhao, J., Bo, X., Chen, F., y Chu, Q. (2021). Interdecadal variation of potato climate suitability in China. Agriculture, Ecosystems & Environment, 310, 107293. https://doi.org/10.1016/j.agee.2020.107293
Wei, J., Zhang, N., Deng, Y., Liu, S., Yang, L., Wang, X., Wen, R., y Si, H. (2025). Functional analysis of the StERF79 gene in response to drought stress in potato (Solanum tuberosum L.). BMC Plant Biology, 25(1), 387. https://doi.org/10.1186/s12870-025-06417-w
Zapata Murillo, P., Ospina-Parra, C. E., Rodriguez Borray, G. A., y Tapasco, J. (2023). Modelo de evaluación de tecnologías frente al cambio climático en el trópico alto de Nariño, Colombia. Revista de Investigación e Innovación Agropecuaria y de Recursos Naturales, 10(1), 66–79. https://doi.org/10.53287/mrqm3628nk15k
Zhang, N., Liu, B., Ma, C., Zhang, G., Chang, J., Si, H., y Wang, D. (2014). Transcriptome characterization and sequencing-based identification of drought-responsive genes in potato. Molecular Biology Reports, 41(1), 505–517. https://doi.org/10.1007/s11033-013-2886-7
Información adicional
e-location: e7980
Información adicional
redalyc-journal-id: 6538