Artículo Original
Efectos del calcio y nitrógeno en el control de pulgón (Brevicoryne brassicae) en brócoli (Brassica oleracea var. italica) bajo dos sistemas de fertilización
Effects of calcium and nitrogen on aphid (Brevicoryne brassicae) control on broccoli (Brassica oleracea var. italica) under two fertilization systems
Efectos del calcio y nitrógeno en el control de pulgón (Brevicoryne brassicae) en brócoli (Brassica oleracea var. italica) bajo dos sistemas de fertilización
Siembra, vol. 12, núm. 2, e7998, 2025
Universidad Central del Ecuador

Recepción: 25 Marzo 2025
Revisado: 12 Mayo 2025
Aprobación: 05 Junio 2025
Resumen: El brócoli (Brassica oleracea var. italica) es un cultivo de alto valor comercial en Ecuador, cuya productividad se ve afectada por plagas como el pulgón (Brevicoryne brassicae). Esta investigación evaluó el efecto de distintas dosis de nitrógeno [N] y calcio [Ca] sobre la incidencia de esta plaga, bajo dos sistemas de fertilización: orgánico y convencional. El nitrógeno favorece el crecimiento vegetativo, aunque su exceso limita la floración; mientras que el calcio fortalece la pared celular, incrementando la resistencia de los tejidos. El estudio se realizó en la empresa Nintanga, provincia de Cotopaxi (Ecuador), a 2.890 m s.n.m., en los proyectos “Santa Carmen” y “San Patricio”. Se utilizó un diseño compuesto central rotable, con cinco niveles de N y Ca (0, 75, 150, 225 y 300 kg ha⁻¹). Durante 13 semanas se evaluaron semanalmente la incidencia del pulgón y la altura de planta, con una densidad de siembra de 6,4 plantas m⁻². Los resultados indicaron que altas dosis de N combinadas con bajas de Ca incrementaron significativamente la incidencia del pulgón (hasta 60%), especialmente en el sistema orgánico (promedio: 35%). En cambio, una interacción balanceada entre ambos nutrientes redujo la incidencia hasta un 14%. El sistema convencional presentó menor incidencia promedio (20%) y mayor homogeneidad en los datos. El análisis de regresión reveló un efecto positivo del Ca sobre la incidencia (coef. = 0.3646 en orgánico y 0.1496 en convencional), y una respuesta cuadrática del N, sugiriendo que dosis elevadas pueden atenuar su impacto sobre la plaga.
Palabras clave: Brevicoryne brassicae, fertilización orgánica, fertilización convencional, resistencia inducida por nutrientes..
Abstract: Broccoli (Brassica oleracea var. italica) is a crop of high commercial value in Ecuador, whose productivity is often compromised by pests such as aphids (Brevicoryne brassicae). This study evaluated the effect of different nitrogen (N) and calcium (Ca) doses on the incidence of aphids under two fertilization systems: organic and conventional. Nitrogen promotes vegetative growth, although excess nitrogen limits flowering, while calcium strengthens cell walls, increasing tissue resistance. The study was conducted at the Nintanga company in Cotopaxi province (Ecuador), at 2,890 m a.s.l., in the “Santa Carmen” and “San Patricio” farms. A rotable central composite design was implemented, testing five levels of N and Ca (0, 75, 150, 225, and 300 kg ha⁻¹). Aphid incidence and plant height were recorded weekly over 13 weeks, with a planting density of 6.4 plants m⁻². Our results indicated that high doses of N combined with low levels of Ca significantly increased aphid incidence (up to 60%), especially in the organic system (average: 35%). In contrast, a balanced interaction between the two nutrients reduced aphid incidence to 14% in both systems. The conventional production system showed a lower average aphid incidence (20%) and greater homogeneity in the data Regression analysis revealed a positive effect of Ca on aphid incidence (coef=0.3646 in organic and 0.1496 in conventional), and a quadratic response of N, suggesting that high N doses may attenuate pest pressure, when properly balanced with Ca.
Keywords: Brevicoryne brassicae, organic fertilization, conventional fertilization, nutrient-induced resistance.
1. Introducción
El brócoli (Brassica oleracea var. italica) es una hortaliza de alta demanda tanto en el mercado nacional como internacional, cultivada ampliamente en diversas provincias del Ecuador. Su valor radica no solo en sus propiedades nutricionales, sino también en su potencial para la prevención de enfermedades, que ha incrementado su importancia económica y alimentaria (Moreno et al., 2006; Raya-Montaño et al., 2018). No obstante, su producción se ve amenazada por plagas como el pulgón verde (Brevicoryne brassicae), que afecta significativamente el rendimiento del cultivo.
Estos áfidos se alimentan de la savia vegetal, provocando clorosis, deformación y enrollamiento de las hojas, además de crear condiciones propicias para la proliferación de enfermedades virales. Su secreción de mielada favorece el desarrollo de hongos como la negrilla, agravando aún más los daños en la planta (Askar, 2021; Falcon-Alvarado et al., 2023). Se estima que la infestación por pulgón puede reducir la producción hasta en un 30%, generando considerables pérdidas económicas para los productores.
Dentro de este contexto, la nutrición mineral juega un papel clave en la productividad y sanidad del cultivo. El calcio [Ca] es esencial para la integridad estructural de las paredes celulares y la regulación de funciones fisiológicas, mientras que el nitrógeno [N] es indispensable para el crecimiento vegetativo, la síntesis de proteínas y la formación de clorofila (García Meléndez, 2022; Marschner, 2012). Sin embargo, un manejo inadecuado de estos nutrientes, especialmente el uso excesivo de fertilizantes nitrogenados, puede generar desequilibrios nutricionales, salinidad del suelo y efectos negativos tanto en la resiliencia de la planta como en el medio ambiente (Carrillo-Riofrío y Minga-León, 2020; Jiménez Villalva y Osorio Bautista, 2019).
Diversos estudios sugieren que el N es un factor limitante en la producción de brócoli, recomendando dosis entre 150 y 320 kg ha-1, dependiendo de las condiciones del cultivo (Cartagena Ayala, 2014; Pantoja, 2006; Román Llamuca, 2022). En particular, Puenayan et al. (2008) reportan que 150 kg ha-1 es una dosis óptima para maximizar el diámetro de la pella. No obstante, la eficiencia del nitrógeno depende de un adecuado balance con Ca, ya que un exceso de N en ausencia de Ca puede debilitar la planta y aumentar su susceptibilidad a plagas como los pulgones. Esto compromete tanto la calidad comercial como la resistencia del cultivo ante enfermedades.
En este sentido, resulta fundamental evaluar cómo la interacción entre N y Ca afecta no solo el rendimiento, sino también la incidencia de plagas, considerando diferentes sistemas de manejo agrícola.
El objetivo del presente estudio fue evaluar el efecto de las dosis de N y Ca sobre la incidencia de pulgón y variables agronómicas del brócoli, comparando su comportamiento en dos sistemas de fertilización: orgánico y convencional.
2. Materiales y Métodos
2.1. Área de estudio
El estudio se realizó en la empresa Nintanga, específicamente en los proyectos “Santa Carmen” y “San Patricio”, ubicados en la parroquia Joseguango Bajo, cantón Latacunga, provincia de Cotopaxi, Ecuador. El área experimental se encuentra a una altitud de 2.890 m s.n.m., en las coordenadas geográficas 00° 50' 20.70" S y 78° 36' 25.53" O (Figura 1).

Figure 1. Location of the Santa Carmen and San Patricio projects in the province of Cotopaxi.
El suelo del sitio presentó una textura franco arenosa, con una concentración de 25 mg kg-1 de nitrógeno nítrico [N-NO3], 5% de materia orgánica y un pH neutro de 7, condiciones adecuadas para el desarrollo del cultivo de brócoli.
2.2. Diseño Experimental
El estudio se estructuró bajo un diseño factorial jerarquizado, con el objetivo de evaluar el efecto de distintas dosis de N y Ca sobre la incidencia de pulgón (Brevicoryne brassicae) y variables agronómicas del cultivo de brócoli (Brassica oleracea var. italica), en función de dos sistemas de fertilización: orgánico y convencional.
Se consideraron tres factores: el tipo de fertilización (factor cualitativo principal, con dos niveles: orgánica y convencional), y las dosis de N y Ca (factores cuantitativos, con cinco niveles entre de 0 a 300 kg ha-1 para ambos nutrientes; Tabla 1), estructurados mediante un diseño compuesto central rotable [DCCR], de la forma 2k+1, donde k representa el número de factores, con k = 2. Cada sistema incluyó 13 tratamientos derivados del DCCR (4 factoriales, 4 axiales y 5 repeticiones del punto central), además de dos tratamientos adicionales: un testigo absoluto (T14: 0 kg ha-1 de N y Ca) y un testigo tradicional (T15: 200 kg ha-1 de N y 100 kg ha-1 de Ca), totalizando 15 tratamientos por sistema (Tabla 2).
| Niveles | Nivel Codificado | Niveles reales | |||
| (Kg ha-1) | |||||
| X1 | X2 | N | Ca | ||
| 1 | -α | -α | 0 | 0 | |
| 2 | -1 | -1 | 75 | 75 | |
| 3 | 0 | 0 | 150 | 150 | |
| 4 | 1 | 1 | 225 | 225 | |
| 5 | α | α | 300 | 300 | |
Table 1. Levels of macroelements (N y Ca) in the Central Composite Rotable Design [CCRD].
α α = 1,41.
| Tratamientos | Nivel Codificado | Niveles reales | |||
| (Kg ha-1) | |||||
| X1 | X2 | N | Ca | ||
| T1 | -1,00 | -1,00 | 75 | 75 | |
| T2 | -1,00 | 1,00 | 75 | 225 | |
| T3 | 1,00 | -1,00 | 225 | 75 | |
| T4 | 1,00 | 1,00 | 225 | 225 | |
| T5 | -1,41 | 0,00 | 0 | 150 | |
| T6 | 1,41 | 0,00 | 300 | 150 | |
| T7 | 0,00 | -1,41 | 150 | 0 | |
| T8 | 0,00 | 1,41 | 150 | 300 | |
| T9 | 0,00 | 0,00 | 150 | 150 | |
| T10 | 0,00 | 0,00 | 150 | 150 | |
| T11 | 0,00 | 0,00 | 150 | 150 | |
| T12 | 0,00 | 0,00 | 150 | 150 | |
| T13 | 0,00 | 0,00 | 150 | 150 | |
| T14 | -1,00 | -1,00 | 0 | 0 | |
| T15 | 0,00 | 0,00 | 200 | 100 | |
Table 2. Treatments.
Cada tratamiento fue replicado cuatro veces, generando 60 unidades experimentales por sistema y 120 en total. Cada unidad experimental consistió en una superficie de 10 m2 (2 m × 5 m), conformada por cuatro surcos por parcela, que permitió un manejo agronómico uniforme y representativo para la evaluación de tratamientos y la toma de datos. Se utilizaron plántulas de brócoli (Brassica oleracea var. italica) en estado vegetativo, con tres hojas verdaderas, 20 días de edad, y una altura promedio de 5 a 8 cm al momento del trasplante. La siembra se realizó con una distancia de 0,80 m entre surcos y 0,20 m entre plantas, logrando una densidad de población de 64.000 plantas ha-1.
Las variables evaluadas fueron
Incidencia de pulgón (%): porcentaje de plantas infestadas por parcela.
Altura de planta (cm): medida en cinco etapas fenológicas (V3, V10, VT, R1 y R3; es decir, 30, 45, 60, 75 y 90 días después del trasplante).
Rendimiento (t ha-1): peso total de inflorescencias por unidad de superficie, determinado en cosecha.
2.3. Manejo de la fertilización
El estudio se enfocó en evaluar los efectos de diferentes dosis de N y Ca sobre el cultivo de brócoli, manteniendo constantes los demás nutrientes esenciales en todos los tratamientos, con el fin de aislar exclusivamente el efecto de estos dos macronutrientes. En el sistema de manejo orgánico se aplicó compost a razón de 5 t ha-1 en el momento del trasplante como fuente principal de nutrientes. Posteriormente, se realizó un refuerzo en la semana 4 con Sulfato de potasio [K2SO4] y Yeso agrícola [CaSO4], y se efectuaron correcciones específicas en la semana 7 para mantener un adecuado equilibrio nutricional, de acuerdo con las condiciones del suelo y las necesidades del cultivo.
En el sistema de manejo convencional, todos los tratamientos recibieron una fertilización base uniforme, aplicada en la semana 2, compuesta por Superfosfato triple (46% P2O5), Muriato de potasio (60% K2O), Sulfato de magnesio (27% MgO, 20% S), y Calcimed (30% CaO, 17% S). Además, se realizaron refuerzos en la semana 5 y correcciones en la semana 8 para asegurar un suministro continuo de nutrientes. Las dosis de N y Ca se ajustaron según los niveles experimentales establecidos (0, 75, 150, 225 y 300 kg ha-1), utilizando como fuentes fertilizantes: urea (46-0-0), nitrato de potasio [KNO3] y nitrato de calcio [Ca(NO3)2].
2.4. Análisis estadístico
Se utilizó un modelo lineal general que integró todos los tratamientos, permitiendo evaluar tanto los efectos individuales como las interacciones entre el tipo de fertilización y las dosis de N y Ca. El tipo de fertilización se trató como un factor cualitativo, mientras que N y Ca se codificaron como variables cuantitativas, incorporando sus efectos lineales, cuadráticos e interactivos. El modelo estadístico ajustado se presenta en la ecuación [1].
[1]donde:
Y: variable de respuesta (incidencia, altura o rendimiento),
μ: media general,
F: efecto del tipo de fertilización
(orgánica o convencional),
N·Ca: dosis codificadas de nitrógeno y calcio,
β: coeficientes del modelo,
ε: error experimental.
Se realizó un análisis de varianza [ANOVA] para cada variable, y en caso de diferencias significativas (p < 0,05), se aplicó la prueba de Tukey al 5% para comparación de medias. Además, se ajustaron modelos de superficie de respuesta [RSM] dentro de cada sistema de fertilización, que permitió identificar combinaciones óptimas de N y Ca que maximicen el rendimiento y minimicen la incidencia de pulgón, según lo propuesto por Gutiérrez Pulido y Vara Salazar (2008).
3. Resultados y Discusión
3.1. Incidencia de Pulgón en cultivo
El análisis ANOVA (Tabla 3) mostró efectos significativos (p < 0,05) del tipo de fertilización, de las dosis de N y Ca, así como de sus interacciones, sobre la incidencia de pulgón (Brevicoryne brassicae). La interacción entre fertilización y los factores cuantitativos (N y Ca) también fue significativa, indicando que la respuesta de la plaga varió en función del sistema de manejo nutricional. En promedio, el sistema de fertilización orgánica presentó una mayor incidencia de pulgón (21,84%), mientras que en el sistema convencional fue considerablemente menor (5,26%). Esto sugiere una mayor presión de plaga bajo condiciones orgánicas, posiblemente debido a la ausencia de agroquímicos sintéticos. Sin embargo, esta mayor incidencia también mostró una respuesta diferencial a la combinación de nutrientes.
| Fuente de Variación | GL | SC | CM | F | p-valor |
| C(Fertilización) | 1 | 2016,8292 | 2016,8292 | 28117,7603 | 0 |
| N_c | 1 | 0,038 | 0,038 | 0,53 | 0,476 |
| C(Fertilización): N_c | 1 | 0,0628 | 0,0628 | 0,8756 | 0,3618 |
| Ca_c | 1 | 0,3095 | 0,3095 | 4,3149 | 0,0524 |
| C(Fertilización): Ca_c | 1 | 0,0038 | 0,0038 | 0,0535 | 0,8196 |
| I (N_c ** 2) | 1 | 0,0306 | 0,0306 | 0,4262 | 0,5221 |
| C(Fertilización): I (N_c ** 2) | 1 | 0,0081 | 0,0081 | 0,1134 | 0,7402 |
| I (Ca_c ** 2) | 1 | 0,0557 | 0,0557 | 0,777 | 0,3897 |
| C(Fertilización): I (Ca_c ** 2) | 1 | 0,0311 | 0,0311 | 0,4334 | 0,5186 |
| N_c: Ca_c | 1 | 0,0046 | 0,0046 | 0,0645 | 0,8023 |
| C(Fertilización): N_c: Ca_c | 1 | 0,0351 | 0,0351 | 0,4891 | 0,4933 |
| Residual | 18 | 1,2911 | 0,0717 | ||
| CV (%) | 7,35 | ||||
| Promedio (%) | 13,45 |
Table 3. Analysis of variance for aphid incidence in crops.*
* Grados de libertad [GL], Suma de cuadrados [SC], Cuadrado medio [CM], Fisher [F], Valor p, promedio y coeficiente de variación [CV%] calculados sobre el modelo combinado, considerando todos los tratamientos y ambos sistemas de fertilización. / Degrees of freedom [DF], sum of squares [SS], mean square [MS], Fisher [F], p-value, mean, and coefficient of variation [CV%] calculated on the combined model, considering all treatments and both fertilization systems.El modelo de superficie de respuesta ajustado para cada sistema permitió identificar combinaciones específicas de N y Ca que minimizaron la incidencia. En el sistema orgánico, la menor incidencia se obtuvo con niveles intermedios de N (150–200 kg ha-1) y Ca (100–150 kg ha-1). En el sistema convencional, la incidencia se mantuvo baja y relativamente estable a través de las combinaciones evaluadas. Los coeficientes de variación fueron bajos en ambos sistemas (0,38% en orgánico y 3,29% en convencional), que indica alta precisión experimental. La prueba de Tukey mostró diferencias estadísticamente significativas entre tratamientos en el sistema orgánico, mientras que en el sistema convencional no se detectaron diferencias marcadas entre combinaciones.
Se encontró un efecto altamente significativo del tipo de fertilización sobre la incidencia de la plaga (p < 0,0001), evidenciando que los sistemas de manejo nutricional influyen de manera determinante en la presencia de Brevicoryne brassicae. En cambio, las dosis individuales de N y Ca no mostraron efectos significativos (p > 0,05), aunque el Ca presentó una tendencia marginal hacia la significancia (p = 0,052). Las interacciones entre fertilización y los factores cuantitativos también resultaron no significativas, que indica que la respuesta de la plaga a los nutrientes fue consistente en ambos sistemas de fertilización. El coeficiente de variación [CV] indica una precisión adecuada del experimento, que junto con el promedio general de incidencia obtenido refuerzan la fiabilidad del análisis realizado y respaldan la solidez de los resultados obtenidos.
En conjunto, los datos permiten concluir que el tipo de fertilización representa el principal factor que condiciona la incidencia del pulgón, más allá de las variaciones en las dosis de N y Ca. Esta evidencia resulta útil para la toma de decisiones en el manejo agronómico, sugiriendo que el sistema de fertilización tiene un rol importante en la dinámica poblacional de esta plaga.
3.1.1. Sistema Convencional
En la Tabla 4 se presentan los coeficientes estimados del modelo de superficie de respuesta ajustado para la variable incidencia de pulgón en el sistema de fertilización convencional. El valor promedio observado y la dispersión baja entre tratamientos coincide con el comportamiento general observado en este sistema. El resultado del N (A) indica que el aumento en las dosis de N no afecta significativamente la incidencia de la plaga. Por el contrario, el Ca (B) mostró un efecto positivo y estadísticamente significativo (p = 0,0000), evidenciando una mayor sensibilidad de la variable de respuesta ante variaciones en este nutriente.
| Efecto | Coeficiente | EE | p-valor | VIF |
| Promedio | 5,268 | 0,0507 | ||
| A: Nitrógeno | 0,0254 | 0,1029 | 0,6709 | 1,00 |
| B: Calcio | 0,2991 | 0,1034 | 0,0000 | 1,00 |
| AA | -0,0718 | 0,1131 | 0,2654 | 1,07 |
| AB | -0,0900 | 0,1455 | 0,2891 | 1,02 |
| BB | -0,0560 | 0,1231 | 0,3773 | 1,07 |
| Bloque | 0,0000 | 0,0933 | 1,0000 |
Table 4. Estimated effects for aphid incidence in conventional crops.*
* Los valores de p provienen del ANOVA correspondiente. El término "Bloque" representa la repetición del tratamiento. / The p-values come from the corresponding ANOVA. The term “Block” represents the repetition of the treatment.Los términos cuadráticos AA (N²) y BB (Ca²), así como la interacción AB (N × Ca), presentaron coeficientes bajos y no significativos (p > 0,05), por lo que no se justifica su interpretación como efectos relevantes en este sistema. Su inclusión responde a la estructura del DCCR, pero su permanencia en el modelo no representa un aporte sustancial en términos predictivos.
En cuanto a los factores incluidos, todos los valores del Factor de Inflación de Varianza [VIF] se mantuvieron próximos a 1, por tanto no existen problemas de colinealidad entre los términos del modelo. El bloque fue incorporado como variable de control para representar la repetición en el diseño experimental (15 tratamientos × 4 repeticiones), pero su efecto fue nulo y no significativo (p = 1,0000), que sugiere que la variabilidad entre repeticiones fue baja y el experimento estuvo adecuadamente balanceado.
El análisis de varianza (Tabla 5) indica que, en el sistema de fertilización convencional el único factor con efecto estadísticamente significativo sobre la incidencia de pulgón fue el Ca (p = 0,0000), con una razón-F de 26,62. Esto evidencia que el aumento en las dosis de Ca está fuertemente relacionado con una mayor incidencia de Brevicoryne brassicae.
| Fuente de Variación | SC | GL | CM | F | p-valor |
| A: Nitrógeno | 0,0065 | 1 | 0,0065 | 0,18 | 0,6709 |
| B: Calcio | 0,8949 | 1 | 0,8949 | 26,62 | 0,0000 |
| AA | 0,0405 | 1 | 0,0405 | 1,22 | 0,2654 |
| AB | 0,0601 | 1 | 0,0601 | 1,15 | 0,2891 |
| BB | 0,0281 | 1 | 0,0281 | 0,77 | 0,3773 |
| Bloques | 0,0000 | 4 | 0,0000 | 0,0000 | 1,0000 |
| Error Total | 1,9444 | 55 | 0,0354 | ||
| Total corregido | 2,9508 | 64 |
Table 5. Analysis of variance of aphid incidence in conventional crops.*
* La única fuente significativa fue el calcio. Los términos cuadráticos e interactivos no presentaron efectos estadísticamente significativos (p 0,05). El bloque no tuvo efecto, reflejando control experimental. / The only significant source was calcium. The quadratic and interactive terms did not have statistically significant effects (p 0.05). The block had no effect, reflecting experimental control.Por el contrario, el N, los términos cuadráticos (AA y BB) y la interacción N × Ca (AB) no mostraron significancia estadística (p > 0,05), lo cual indica que estos factores no tienen un efecto relevante sobre la variable de respuesta en este sistema. Asimismo, el efecto de los bloques fue nulo (p = 1,0000), confirmando la homogeneidad entre repeticiones. El error bajo y la suma total de cuadrados corregida reflejan una baja variabilidad residual y una adecuada precisión experimental.
En cuanto a los coeficientes de regresión, el término constante (5,268) representa la incidencia estimada del pulgón en condiciones de ausencia de fertilización, correspondiente a los puntos centrales del diseño experimental. El coeficiente asociado al N (0,0127) indica un efecto positivo muy leve sobre la incidencia, aunque estadísticamente no significativo (p = 0,6709), por lo que no se puede afirmar que este nutriente influya de manera relevante en el comportamiento de la plaga dentro del sistema convencional. En contraste, el Ca mostró un efecto positivo considerable (coeficiente = 0,1496) y altamente significativo (p = 0,0000), evidenciando que el incremento en su dosis se asocia con un aumento en la incidencia de pulgón. Este hallazgo posiciona al Ca como el factor más influyente en el modelo ajustado para este sistema. Los términos cuadráticos correspondientes al N (–0,0386) y al Ca (0,0284), así como la interacción N·CA (–0,045), no fueron estadísticamente significativos (p > 0,05). Aunque estos términos se mantuvieron en el modelo debido a la estructura del DCCR, su interpretación debe ser tomada con cautela, ya que no aportan evidencia concluyente de curvaturas o interacciones relevantes desde el punto de vista agronómico o biológico.
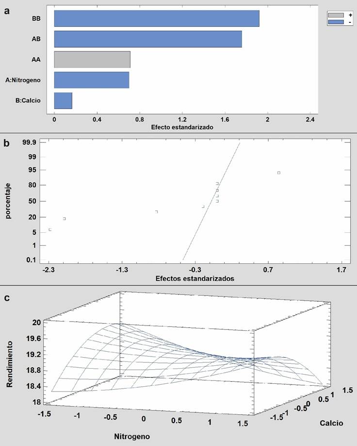
Ese observa en la Figura 2a que el Ca (B) sobresale como el factor con mayor efecto estandarizado, superando el umbral de significancia estadística, que visualmente coincide con los resultados del ANOVA (p = 0,0009). En cambio, los factores N (A), los términos cuadráticos (AA y BB) y la interacción (AB) presentan efectos menores y no alcanzan niveles estadísticamente significativos (p > 0,05), refforzando que su inclusión en el modelo responde más a la estructura del diseño experimental que a su impacto real sobre la variable. Esta visualización, por tanto, respalda de manera coherente los hallazgos obtenidos en el análisis estadístico formal.

Figure 2. Standardized Pareto diagram (a) and Normal probability (b) and Response surface (c) for aphid incidence in conventional crops.
En la Figura 2b se identifican uno o más puntos claramente alejados de la recta, que indica la presencia de outliers o posibles desviaciones respecto a la normalidad esperada. Dado que la alineación de los puntos no es completamente lineal, no se puede afirmar que se cumpla adecuadamente el supuesto de normalidad del modelo. Esta observación debe ser considerada como una limitación menor del ajuste. A pesar de esta desviación puntual, el modelo puede seguir siendo válido, especialmente si otras condiciones (como homogeneidad de varianzas y significancia de los efectos principales) se cumplen y se ha comprobado la robustez del análisis en el resto de los supuestos. En la Figura 2c se representa la interacción entre las dosis de Ca y N sobre la incidencia del pulgón. Visualmente, se aprecia una tendencia descendente en la incidencia a medida que se incrementan las dosis de Ca (valores > 1,0), mientras que niveles bajos de este nutriente (< –1,0) parecen asociarse con mayores niveles de infestación. Por su parte, el N no muestra una tendencia clara o uniforme en relación con la variable de respuesta.
No obstante, para sustentar estas observaciones visuales, es importante señalar que el modelo estadístico ajustado respalda esta interpretación: el análisis de regresión mostró que el Ca fue el único factor estadísticamente significativo (p < 0,001) en este sistema, mientras que el N y sus interacciones no presentaron significancia (p > 0,05). Por tanto, la superficie de respuesta ilustra de manera coherente los resultados del modelo, pero su interpretación debe estar anclada en los valores p del análisis, y no considerarse por sí sola como prueba concluyente.
3.1.2. Sistema Orgánico
Los coeficientes estimados (Tabla 6) fueron estadísticamente significativos (p < 0,05), que indica que tanto los efectos lineales como los cuadráticos e interactivos de N y Ca influyeron de manera relevante en la incidencia del pulgón. En particular, las dosis medias a altas de N y Ca incrementaron la presencia de la plaga, mientras que los efectos cuadráticos negativos de ambos nutrientes, así como su interacción negativa, sugieren que combinaciones elevadas de ambos reducen parcialmente su impacto individual. Esto revela un comportamiento no lineal y dependiente de la combinación de nutrientes, que debe considerarse al diseñar esquemas de fertilización en sistemas orgánicos.
| Efecto | Coeficiente | EE | p-valor | VIF |
| Promedio | 21,844 | 0,0261 | ||
| A: Nitrógeno | 0,354351 | 0,0413 | 0,00 | 1,0 |
| B: Calcio | 0,364602 | 0,0413 | 0,00 | 1,0 |
| AA | -0,300252 | 0,0424 | 0,00 | 10,731 |
| AB | -0,48 | 0,0584 | 0,00106 | 1,0 |
| BB | -0,365252 | 0,0425 | 0,00 | 10,731 |
| bloque | 0,0 | 0,0557 | 1,0 | 12,466 |
Table 6. Estimated effects for aphid incidence in organic crops.
El análisis de varianza (Tabla 7) muestra que todos los factores incluidos en el modelo presentaron efectos estadísticamente significativos (p < 0,05) sobre la incidencia de pulgón en el sistema de fertilización orgánica. En particular, el Ca y el N tuvieron un impacto altamente significativo. Esto confirma que ambos nutrientes influyen de forma importante en la respuesta de la plaga bajo condiciones orgánicas. Los efectos cuadráticos de N (AA) y Ca (BB) también fueron significativos (p = 0,0000), indicando la presencia de relaciones no lineales en la incidencia. Además, la interacción entre N y Ca (AB) fue significativa (p = 0,0000), que sugiere que la respuesta de la plaga depende de combinaciones específicas de ambos nutrientes. El CV fue de 8,93%, reflejando una variabilidad experimental aceptable. El bajo error medio también respalda la precisión del modelo ajustado.
| Fuente de Variación | SC | GL | CM | F | Valor-P |
| A: Nitrógeno | 12,557 | 1 | 12,557 | 28,97 | 0,0000 |
| B: Calcio | 13,294 | 1 | 13,294 | 30,61 | 0,0000 |
| AA | 0,7839 | 1 | 0,7839 | 18,05 | 0,0000 |
| AB | 0,5187 | 1 | 0,5187 | 11,95 | 0,0000 |
| BB | 0,6888 | 1 | 0,6888 | 15,86 | 0,0000 |
| Bloques | 0,186 | 4 | 0,0465 | 1,07 | 10,000 |
| Error Total | 23,792 | 55 | 0,0434 | ||
| Total (corr.) | 6,262 | 64 |
Table 7. Analysis of variance of aphid incidence in organic crops.
En cuanto a los coeficientes de regresión (ecuación [2]), el término constante (21,844) representa la incidencia promedio estimada de pulgón en ausencia de fertilización, correspondiente al punto central del diseño experimental. Este valor refleja una mayor presión de plaga bajo condiciones orgánicas en comparación con el sistema convencional. Los coeficientes del N y del Ca indican un efecto positivo significativo (p = 0,0000), que sugiere que, a medida que aumenta la dosis de estos nutrientes, también lo hace la incidencia del pulgón. Los efectos cuadráticos de ambos nutrientes fueron negativos y significativos para N² y Ca², indicando la existencia de un punto óptimo de dosis, a partir del cual una mayor concentración genera una disminución en la incidencia del pulgón. Este comportamiento no lineal sugiere un efecto de saturación o autolimitación del sistema. La interacción N·Ca también fue significativa, que revela que la combinación de dosis elevadas atenúa los efectos individuales de estos nutrientes, reduciendo la incidencia de la plaga. En conjunto, estos resultados muestran una respuesta más compleja y sensible del sistema orgánico a la dinámica de los nutrientes, donde tanto los efectos individuales como sus combinaciones afectan significativamente la variable de estudio.
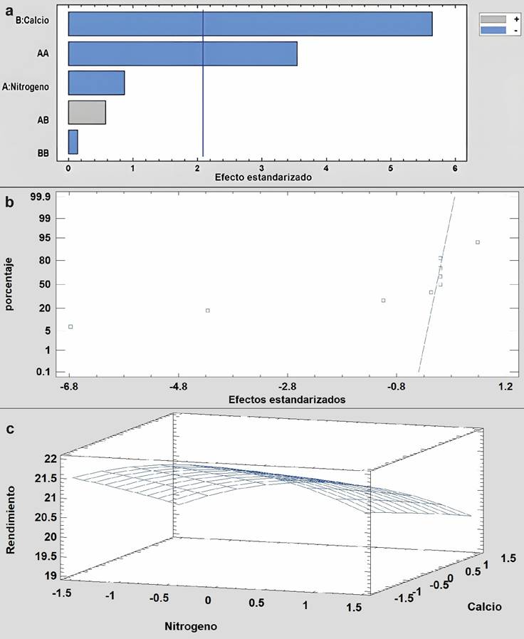
[2]El diagrama de Pareto estandarizado (Figura 3a) muestra que todos los factores incluidos en el modelo presentaron un efecto significativo sobre la incidencia del pulgón. En este sistema, tanto el Ca (B) como el N (A) alcanzaron valores estandarizados cercanos o superiores a 8,0, que evidencia una alta influencia individual sobre la variable de respuesta. Asimismo, los términos cuadráticos (AA y BB) y la interacción (AB) también superaron el umbral de significancia, indicando que la relación entre los factores y la incidencia no es lineal y que existen efectos combinados relevantes. Esta representación gráfica está en total concordancia con los resultados del análisis estadístico, donde todos los coeficientes resultaron estadísticamente significativos (p < 0,01).

Figure 3. Standardized Pareto diagram (a) and Normal probability (b) and Response surface (c) for aphid incidence in organic crops.
En la gráfica de probabilidad normal se observa una mayor dispersión de los puntos a lo largo de la recta, en comparación con el sistema convencional, con efectos estandarizados que van desde –4,2 hasta 7,9 (Figura 3b). Aunque no se observan puntos extremadamente alejados, la dispersión indica que la normalidad no es completamente evidente, el comportamiento observado sugiere un ajuste razonable, aunque con mayor variabilidad que en el sistema convencional. La superficie de respuesta (Figura 3c) permite visualizar cómo se comporta la incidencia del pulgón frente a diferentes combinaciones de N y Ca. En este sistema, se observa una respuesta ascendente con el incremento del N, con valores que superan el 22% en las dosis más altas. Esta tendencia coincide con el análisis estadístico, donde el N tuvo un efecto significativo sobre la variable (p < 0,001).
Además, se observa una curvatura pronunciada en la superficie, lo cual refleja la influencia de los efectos cuadráticos e interactivos, también confirmados como significativos en el modelo. En conjunto, la gráfica respalda la conclusión de que, en condiciones orgánicas, la incidencia del pulgón está determinada no solo por los efectos individuales de los nutrientes, sino también por sus combinaciones, que resalta la necesidad de un manejo nutricional más preciso para controlar la infestación en este sistema.
3.1.3. Comparación entre sistemas
Los resultados obtenidos en los dos sistemas de fertilización evaluados (orgánico y convencional) evidenciaron diferencias claras en el comportamiento de la incidencia del pulgón (Brevicoryne brassicae) frente a la aplicación de N y Ca. En el sistema convencional, el análisis de regresión y de varianza mostró que únicamente el Ca tuvo un efecto estadísticamente significativo sobre la incidencia, con un coeficiente positivo (0,1496), que sugiere un aumento progresivo de la plaga a medida que se incrementa la dosis de este nutriente. En contraste, el N y sus combinaciones no mostraron efectos relevantes, lo cual sugiere que el desarrollo del pulgón en este sistema no se ve modulado significativamente por este macronutriente.
En el sistema orgánico, se observó un patrón más complejo. Tanto el N como el Ca, junto con sus términos cuadráticos e interactivos, presentaron significancia estadística (p < 0,05), indicando una mayor sensibilidad a la interacción entre nutrientes. Esto está relacionado con una dinámica más activa de los factores biológicos, como los enemigos naturales del pulgón o la microbiota del suelo, cuya presencia es más notable en suelos manejados orgánicamente (Costa et al., 2023; Guerrieri y Digilio, 2008).
Además, estudios como el de Rahman (2022) destacan que el exceso de N puede inducir un mayor crecimiento vegetativo, aumentando la susceptibilidad de las plantas a ataques de insectos como los pulgones. Esto se alinea con los resultados del presente estudio, donde se observó un aumento inicial de la incidencia con el incremento de N, seguido de una disminución a dosis elevadas, como lo sugieren los términos cuadráticos negativos (N² = –0,1501, Ca² = –0,1826). Por otro lado, Maldonado y Calvache Ulloa (2006) y Pantoja (2006) han demostrado que el uso desbalanceado de nutrientes puede generar efectos negativos sobre la sanidad del cultivo, que reafirma la importancia de mantener relaciones nutricionales óptimas.
Asimismo, Dixon (2012) y Blackman y Eastop (2000) señalan que la disponibilidad nutricional influye en el comportamiento poblacional de áfidos, ya que afecta tanto la calidad del hospedero como la eficiencia reproductiva del insecto. En este sentido, la mayor incidencia observada en el sistema orgánico podría deberse a una menor presión de control químico y a un entorno más favorable para el establecimiento de colonias, como lo mencionan Askar (2021) y Falcon-Alvarado et al. (2023).
Desde el punto de vista agronómico, estos hallazgos resaltan que, en sistemas orgánicos, el manejo de fertilización debe ser más preciso, ya que pequeñas variaciones en la dosis pueden desencadenar respuestas no lineales en la incidencia de plagas. En cambio, en sistemas convencionales, el comportamiento es más estable y controlado, con menor variabilidad y dependiente principalmente del Ca como factor determinante.
3.2. Altura de la planta
3.2.1. Sistema Convencional
La altura de la planta en el sistema convencional mostró un crecimiento progresivo desde los 13,75±5,29 cm a los 30 días después del trasplante [ddt], hasta los 58,48±0,98 cm a los 90 ddt, como se observa en la Tabla 8. La variación en los CV indica una adecuada precisión experimental, especialmente en las etapas finales del desarrollo. Las diferencias entre tratamientos fueron estadísticamente significativas a los 75 ddt (α = 0,05), con T5 registrando la mayor altura (62.93 cm), y a los 90 ddt, siendo T9 (63.22 cm), T7 (63.05 cm) y T5 (62.93 cm) los de mayor altura. Estas diferencias sugieren que, bajo sistema convencional, algunos tratamientos favorecieron significativamente el crecimiento en etapas avanzadas, especialmente en combinación de nutrientes que incluyeron niveles altos de Ca y N. En las demás evaluaciones (30, 45 y 60 ddt) no se encontraron diferencias relevantes (α > 0,05).
| Tratamientos | Altura de Planta (cm) | ||||
| 30 ddt | 45 ddt | 60 ddt | 75 ddt | 90 ddt | |
| T1 | 14,12 | 24,95 | 44,43 | 56,88ª | 62,08ª |
| T2 | 15,05 | 25,88 | 44,22 | 55,82ª | 62,53ª |
| T3 | 16,12 | 25,50 | 44,18 | 54,31ª | 61,76ª |
| T4 | 14,36 | 23,78 | 46,94 | 56,40ª | 62,74ª |
| T5 | 16,58 | 24,28 | 46,73 | 56,73b | 62,93ab |
| T6 | 15,76 | 24,27 | 46,67 | 55,10b | 61,99ª |
| T7 | 16,06 | 23,17 | 46,73 | 56,65ª | 60,79ab |
| T8 | 14,56 | 24,48 | 45,20 | 54,85ab | 62,00ab |
| T9 | 15,25 | 24,31 | 45,56 | 56,17ª | 61,22ab |
| T10 | 15,06 | 24,61 | 45,96 | 55,97ab | 62,81ª |
| T11 | 15,07 | 24,84 | 46,03 | 55,32ª | 60,22ª |
| T12 | 16,37 | 23,92 | 44,84 | 54,80ª | 62,38ª |
| T13 | 16,16 | 25,02 | 45,69 | 54,08ab | 62,83ª |
| T14 | 10,28 | 19,17 | 27,69 | 36,31b | 42,41ª |
| T15 | 15,56 | 24,56 | 44,70 | 56,03ab | 62,73ab |
| Promedio | 13,75 | 26,11 | 48,65 | 56,36 | 58,48 |
| DE | 5,29 | 2,51 | 1,29 | 1,51 | 0,98 |
| CV (%) | 5,29 | 2,51 | 1,29 | 1,51 | 0,98 |
Table 8. Average plant height and Tukey's test at 75 and 90 DAT in conventional crops.
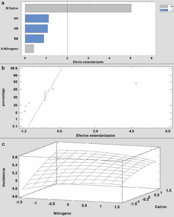
El diagrama de Pareto (Figura 4a) muestra que el N (A) es el factor con mayor influencia en la altura de la planta a los 75 ddt, con un efecto estandarizado cercano a 4,0. La interacción AB (N·Ca) es incluso más destacada, superando el umbral de significancia y alcanzando el mayor efecto en la gráfica. Las interacciones AA (N²) y BB (Ca²) también tienen efectos menores pero significativos. En cambio, el Ca (B) muestra una influencia más moderada (≈1,5), que sugiere que su impacto directo sobre la altura es menor que el del N, aunque relevante cuando se combina con este.

Figure 4. Standardized Pareto diagram (a) and Normal probability (b) and Response surface (c) for plant height in conventional crops.
El gráfico de probabilidad normal (Figura 4b) muestra un ajuste aceptable a la recta teórica, con valores que oscilan entre -4 y 4 en los efectos estandarizados. La mayoría de los puntos se alinean cercanamente a la línea, indicando que los residuos del modelo siguen una distribución aproximadamente normal, validando la consistencia del análisis estadístico. La presencia de pocos puntos alejados de la recta sugiere una variabilidad controlada y no representa una violación crítica a los supuestos de normalidad. En la superficie de respuesta se observa una tendencia decreciente en la altura conforme aumenta el N, especialmente cuando las dosis de Ca son bajas (Figura 4c). Esto sugiere que dosis elevadas de N, sin un balance adecuado con Ca afecta negativamente el crecimiento, posiblemente por inhibición en la absorción de otros nutrientes o un desbalance osmótico. Por otro lado, niveles moderados de Ca parecen mitigar el efecto negativo del N, estabilizando la altura del cultivo. La superficie indica que el manejo conjunto de ambos nutrientes es crucial para optimizar el crecimiento. Estos hallazgos refuerzan la necesidad de un equilibrio nutricional, más allá de simplemente aumentar un solo elemento fertilizante.
3.2.2. Sistema orgánico
La altura promedio de las plantas aumentó progresivamente desde los 15,63±3,86 cm a los 30 ddt hasta los 62,07±1,81 cm a los 90 ddt, reflejando un patrón de crecimiento constante y esperado a lo largo del ciclo (Tabla 9). La oscilación de los CV indica una adecuada precisión experimental en las diferentes etapas de evaluación. Se presentó diferencias significativas entre tratamientos a los 75 ddt (α = 0,01), cuando las alturas oscilaron entre 14.76 cm (T2) y 57.63 cm (T6), y a los 60 ddt (α = 0,05), mientras que en las evaluaciones realizadas a los 30, 45 y 90 ddt no se detectaron diferencias estadísticas (α > 0,05), según la prueba de Tukey. A los 90 ddt, T1 obtuvo la mayor altura, que corresponde a la combinación tradicional utilizada por el productor bajo sistema orgánico, con dosis de 200 kg ha-1 de N y 100 kg ha-1 de Ca. Estos resultados sugieren que dicho manejo favorece el crecimiento en las etapas avanzadas del desarrollo.
| Tratamientos | Altura de Planta (cm) | ||||
| 30 ddt | 45 ddt | 60 ddt | 75 ddt | 90 ddt | |
| T1 | 14,98 | 26,62 | 47,39 | 55,88ª | 59,72ª |
| T2 | 14,76 | 25,37 | 48,89 | 57,63ª | 57,84ª |
| T3 | 14,06 | 26,15 | 45,92 | 55,91ª | 59,06ª |
| T4 | 14,76 | 26,78 | 47,54 | 55,07ª | 58,20ª |
| T5 | 14,91 | 25,08 | 46,86 | 56,37ª | 57,26ª |
| T6 | 13,57 | 26,47 | 49,07 | 56,29ª | 57,56ª |
| T7 | 13,27 | 26,33 | 49,17 | 55,21ª | 57,94ª |
| T8 | 14,41 | 26,90 | 48,63 | 55,57ª | 59,86ª |
| T9 | 13,91 | 26,49 | 45,53 | 56,63ª | 58,70ª |
| T10 | 13,00 | 25,81 | 49,28 | 56,11ª | 58,42ª |
| T11 | 14,90 | 25,15 | 49,11 | 56,29ª | 59,06ª |
| T12 | 13,69 | 26,87 | 49,64 | 55,20ª | 57,53ª |
| T13 | 13,28 | 26,24 | 49,73 | 57,61ª | 58,72ª |
| T14 | 12,00 | 23,80 | 28,17 | 36,71c | 42,81c |
| T15 | 14,51 | 25,42 | 45,29 | 56,72ª | 57,92ª |
| Promedio | 15,63 | 25,37 | 45,46 | 55,25 | 62,07 |
| DE | 3,86 | 1,73 | 1,29 | 1,51 | 1,81 |
| CV (%) | 3,86 | 1,73 | 1,29 | 1,51 | 1,81 |
Table 9. Average plant height and Tukey's test at 75 and 90 DAT in organic crops.
El diagrama de Pareto (Figura 5a) revela que la interacción entre N y Ca (AB) es el factor con mayor efecto sobre la altura de la planta, con un valor estandarizado cercano a 4. Le sigue el efecto cuadrático del Ca (BB) y el efecto principal del N (A), ambos con efectos significativos. Por otro lado, el Ca (B) y el término cuadrático del N (AA) presentan efectos inferiores al umbral de significancia, que indica que su influencia individual es limitada. Estos resultados refuerzan la idea de que la interacción entre nutrientes tiene un papel más determinante que los factores aislados, destacando la necesidad de optimizar su proporción en sistemas orgánicos.

Figure 5. Standardized Pareto diagram (a) and Normal probability (b) and Response surface (c) for plant height in organic crops.
En el gráfico de probabilidad normal se observa una tendencia general lineal, que indica que los residuos del modelo siguen una distribución aproximadamente normal, validando la adecuación del modelo estadístico empleado (Figura 5b). No obstante, la presencia de algunos puntos alejados de la línea central sugiere que podrían existir factores no considerados en el modelo, o cierto grado de variabilidad no explicada por los términos incluidos. Esto podría estar asociado a condiciones específicas del sistema orgánico, como la variabilidad en la mineralización de nutrientes o la interacción con el microbioma del suelo. En comparación con el sistema convencional, en la superficie de respuesta se observa una mayor estabilidad en la respuesta de la planta ante variaciones en las dosis de ambos nutrientes (Figura 5c). Aunque se mantiene una tendencia decreciente de la altura cuando el N es elevado y el Ca es bajo, esta disminución es menos pronunciada. Esto sugiere que el sistema orgánico ofrece una mayor capacidad de amortiguación ante desbalances nutricionales, posiblemente gracias a mecanismos adaptativos de la planta o la liberación progresiva de nutrientes en el tiempo. La superficie también indica que un manejo balanceado entre ambos factores favorece un crecimiento estable del cultivo en condiciones orgánicas.
3.2.3. Comparación entre sistemas
El crecimiento en altura de las plantas mostró diferencias claras entre los sistemas de fertilización orgánico y convencional. En ambos, se observó una tendencia ascendente a lo largo del ciclo del cultivo, pero con matices importantes en la respuesta a los tratamientos. En el sistema orgánico, las diferencias entre tratamientos fueron estadísticamente significativas a los 60 y 75 ddt, mientras que en el sistema convencional la significancia solo fue evidente a los 75 ddt, sugiriendo una respuesta más tardía y concentrada del cultivo bajo manejo convencional.
En términos generales, las alturas finales fueron similares entre ambos sistemas, con valores promedio cercanos a los 62 cm a los 90 ddt. Sin embargo, en el sistema convencional se observó menor dispersión (CV ≤ 1,0%), que refleja una mayor uniformidad del crecimiento entre tratamientos. En contraste, el sistema orgánico mostró una mayor variabilidad, posiblemente relacionada con diferencias en la disponibilidad de nutrientes y su liberación más lenta en el suelo.
Estos resultados coinciden con estudios como los de Bacarreza Manrique (2018), donde se evidenció una variabilidad en la altura del brócoli influenciada por el manejo nutricional y el genotipo. Asimismo, Mainardi Fazio (2017) destaca que el N es determinante para el crecimiento vegetativo del brócoli, especialmente en etapas tempranas, aunque su exceso puede afectar negativamente el equilibrio con la floración. En el sistema orgánico, esta sensibilidad a la dosis se evidenció con mayor claridad. Además, factores ambientales como la temperatura nocturna, la densidad de siembra y la radiación solar, discutidos por Rodríguez-González et al. (2020), también pueden haber influido en la dinámica del crecimiento, particularmente en el sistema convencional, donde el control nutricional fue más preciso. Por tanto, se concluye que la altura de planta se ve afectada no solo por el tipo de fertilización, sino también por la sincronía entre disponibilidad de nutrientes y las fases fenológicas del cultivo.
3.3. Rendimiento y Producción de inflorescencia
Se observaron diferencias en la producción de inflorescencias bajo sistemas de fertilización orgánica y convencional, evaluadas mediante ANOVA. En el sistema orgánico, el cuadrado medio para tratamientos fue de 0,58, con un error total de 0,57 y un CV de 4.00%, que sugiere una ligera variabilidad entre tratamientos, pero con una precisión experimental aceptable. En el sistema convencional, el cuadrado medio fue ligeramente menor (0,55), y el error total también disminuyó a 0,42, con un CV más bajo (1,91%), que indica una mayor homogeneidad y consistencia en los datos obtenidos para este sistema. l rendimiento promedio fue superior en el sistema convencional (21,27 t ha-1) en comparación al sistema orgánico (18,95 t ha-1), lo cual refuerza la idea de que la fertilización convencional genera una respuesta más uniforme y eficiente en términos de producción de biomasa floral (Tabla 10).
| Recolección | Peso total | Número de inflorescencias recolectadas | Peso medio | |||||
| (ddt) | (t ha-1) | (N° ha-1) | (g inflorescencia-1) | |||||
| Orgánico | Convencional | Orgánico | Convencional | Orgánico | Convencional | |||
| 87 | 3,6 | 4 | 12.800 | 12.800 | 600 | 700 | ||
| 90 | 10,8 | 12 | 38.400 | 38.400 | 700 | 750 | ||
| 93 | 3,6 | 4 | 12.800 | 12.800 | 550 | 650 | ||
| LSD 15% | 2,7 | 3 | 9.600 | 9.600 | 100 | 100 | ||
| TOTAL | 18 | 20 | 64.000 | 64.000 | ||||
Table 10. Organic and conventional broccoli inflorescence production.
3.3.1. Sistema convencional
Respecto a los efectos principales, el N mostró un efecto negativo leve (-0,14432), que indica que su incremento no favorece significativamente la producción. Por su parte, el Ca presentó un efecto negativo más marcado (-0,941246), que sugiere que su aplicación podría reducir la producción de inflorescencias en este sistema. Las interacciones entre factores presentaron valores variables: AA (-0,634753) y BB (-0,0247497) fueron negativos, mientras que AB (0,135) tuvo un efecto ligeramente positivo. No obstante, la magnitud de estos coeficientes indica que las interacciones, en general, no tienen un impacto sustancial. Además, los valores de VIF obtenidos, cercanos a 1, descartan problemas de colinealidad entre los factores incluidos en el modelo.
En cuanto al análisis de varianza, se confirma que el Ca fue el único factor con un efecto altamente significativo (p = 0,0000) sobre la producción de inflorescencia. En contraste, el N no presentó significancia (p = 0,3970), y por tanto su efecto sobre la variable de respuesta no es relevante en este sistema. La interacción cuadrática del N (AA) también resultó significativa (p = 0.0020), que sugiere que la respuesta a este nutriente no es lineal, y podría existir una dosis óptima para maximizar la producción. Las interacciones AB (p = 0.5734) y BB (p = 0.8913), por el contrario, no fueron significativas. El factor bloque tampoco presentó diferencias relevantes (p = 1.0000), indicando una baja variabilidad entre repeticiones. El Ca se identifica como el factor más influyente y estadísticamente significativo en la producción de inflorescencias bajo sistema convencional, mientras que el N y la mayoría de las interacciones no presentan efectos relevantes, con la excepción del término cuadrático de N, que merece mayor atención en futuras evaluaciones.
En cuanto a los coeficientes de regresión, el término constante (21,276) representa el rendimiento promedio en ausencia de aplicación de N y Ca. El coeficiente negativo del N (-0,07216) indica que, en este sistema, su incremento tiende a reducir ligeramente la producción, siendo no significativo. Esta tendencia es más marcada para el Ca (-0,470623), cuyo efecto negativo significativo sugiere que dosis elevadas podrían afectar negativamente la producción de inflorescencias. Los efectos cuadráticos AA (-0,317376, significativo) y BB (-0,012374, no significativo) refuerzan la naturaleza no lineal de la respuesta del cultivo ante ambos nutrientes, mientras que la interacción AB (0,0675) muestra un efecto positivo leve, aunque no significativo, que podría indicar un efecto combinado favorable en ciertas proporciones.
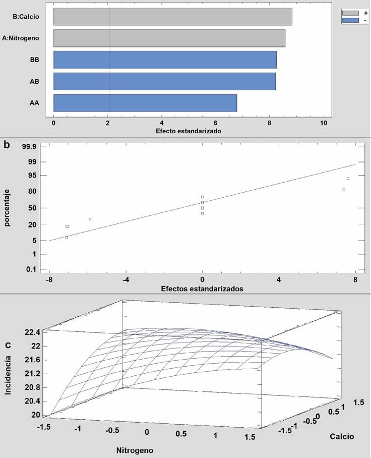
El diagrama de Pareto (Figura 6a) muestra que el Ca es el factor con mayor efecto sobre la producción de inflorescencia en el sistema convencional, con un valor estandarizado cercano a 6,0. Le sigue el efecto cuadrático del N (AA) con una influencia intermedia. El N como factor principal tiene un impacto moderado, mientras que las interacciones AB y BB presentan efectos reducidos. Estos resultados visuales concuerdan con el análisis estadístico previo, donde el Ca y los términos cuadráticos fueron estadísticamente significativos, confirmando su papel como determinantes clave en la respuesta productiva.

Figure 6. Standardized Pareto diagram (a) and Normal probability (b) and Response surface (c) for inflorescence production in conventional crops.
La gráfica de probabilidad normal (Figura 6b) evidencia una alineación parcial de los efectos estandarizados con la recta teórica. Aunque la mayoría de los puntos siguen la tendencia esperada, se observan valores extremos que se desvían de la línea, indicando posibles desviaciones de normalidad. Esta dispersión sugiere que algunos efectos están influenciados por fuentes de variación no modeladas, o que ciertos tratamientos tienen un impacto particularmente alto o bajo sobre la respuesta. La superficie de respuesta (Figura 6c) refleja una respuesta positiva a niveles intermedios y altos de Ca, con rendimientos superiores a 20.5 t ha-1. En cambio, niveles bajos de Ca (< -1,0) se asocian con una disminución en la biomasa cosechada. El N, si bien tiene un efecto menos acentuado, interactúa con el Ca en ciertos rangos, que sugiere que el balance entre ambos nutrientes es clave para optimizar la producción. El modelo confirma que el Ca es el factor más influyente en el sistema convencional, alineado con los efectos estimados y los resultados del análisis de varianza.
3.3.2. Sistema orgánico
Los factores principales, N y Ca, presentaron coeficientes negativos estimados en el modelo ajustado (-0,135061 y -.0,31905, respectivamente), que sugiere que incrementos en su aplicación podrían reducir ligeramente la producción de inflorescencias. El Ca tuvo un efecto menos pronunciado en comparación con el sistema convencional. Las interacciones cuadráticas y combinadas mostraron una variabilidad más relevante: AA (-0,300252) y BB (-0,480), que reflejan efectos negativos significativos, especialmente BB, que podría estar indicando que una dosis alta de Ca tiene un impacto reductor en la producción. La interacción AB (0,147249) mostró un leve efecto positivo, posiblemente sin significancia estadística. Los valores de VIF cercanos a 1 descartan problemas de colinealidad, salvo el bloque (1,6), que podría estar contribuyendo a cierta variabilidad no explicada por los factores principales.
El ANOVA respalda estas observaciones. El N (p = 0,0064), el Ca (p = 0,0348), y los términos cuadráticos AA (p = 0,0046) y BB (p = 0,0408) fueron estadísticamente significativos (p < 0,05). En contraste, la interacción AB (p = 0,0610) no fue significativa, que sugiere que los efectos combinados entre N y Ca son menos relevantes que sus efectos individuales o cuadráticos. El factor bloque nuevamente no mostró influencia significativa (p = 1,0000), indicando bajo efecto de la variabilidad entre repeticiones.
La constante del modelo de regresión (ecuación [3]) representa el valor promedio de producción en ausencia de aplicación de N y Ca. Los factores principales, N (p = 0,0064) y Ca (p = 0,0348), presentaron efectos negativos significativos, que indica que incrementos en sus dosis reducen la producción de inflorescencias bajo este sistema de fertilización. No obstante, el efecto del Ca fue menos pronunciado que el del N. Respecto a los términos cuadráticos, AA (p = 0,0046) mostró un efecto positivo y significativo, que sugiere que existen niveles óptimos de N que podrían favorecer la producción si se ajustan cuidadosamente. En cambio, BB (p = 0,0408) tuvo un efecto negativo también significativo, que refuerza la idea de que dosis elevadas de Ca podrían ser contraproducentes. La interacción N·Ca (AB) no fue significativa (p = 0,0610), aunque su coeficiente negativo (-0,24) podría señalar cierta tendencia a la reducción en la respuesta cuando ambos nutrientes se combinan en niveles elevados. Este resultado sugiere que, aunque cada factor por separado tiene un efecto importante, su combinación no genera un impacto sinérgico claro sobre la producción.
[3]En contraste con el sistema convencional, el diagrama de Pareto (Figura 7a) revela que la interacción cuadrática BB es el factor con mayor efecto estandarizado, seguida de la interacción AB. Ambos factores superan en influencia a los efectos principales de N y Ca. Esto sugiere que, en condiciones de fertilización orgánica, las interacciones entre nutrientes adquieren mayor relevancia que sus efectos individuales. Específicamente, la combinación de dosis elevadas o bajas de N y Ca modifican significativamente la producción de biomasa. Este patrón resalta la necesidad de considerar cuidadosamente las sinergias o antagonismos entre nutrientes al momento de formular recomendaciones agronómicas.

Figure 7. Standardized Pareto diagram (a) and Normal probability (b) and Response surface (c) for inflorescence production in organic crops.
El gráfico de normalidad (Figura 7b) muestra que la mayoría de los puntos siguen una tendencia cercana a la recta teórica, con efectos estandarizados comprendidos entre aproximadamente -2,3 y 1,7. Aunque algunos valores extremos se desvían de la línea de ajuste, estos no afectan significativamente la validez del modelo. La distribución general es aceptable, que indica que el modelo de regresión se ajusta razonablemente bien a los datos experimentales, aunque podría beneficiarse de la inclusión de otras variables para reducir la dispersión observada en los extremos. La superficie de respuesta (Figura 7c) evidencia una tendencia positiva en la biomasa del brócoli con niveles altos de N (> 1,0), alcanzando rendimientos superiores a 19,5 t ha-1. En cambio, niveles bajos de N se asocian con una producción reducida. El Ca, por su parte, presenta un efecto estabilizador: su influencia no es tan marcada como la del N, pero contribuye a mantener una producción constante cuando se aplica en niveles intermedios (0 a 1,0). Este comportamiento sugiere que, en sistemas orgánicos, el N es un factor limitante directo, mientras que el Ca actúa como modulador del equilibrio nutricional.
3.3.3. Comparación entre sistemas
El rendimiento de inflorescencias también presentó diferencias notables entre sistemas. En el sistema convencional se alcanzaron valores superiores (21,27 t ha-1) respecto al sistema orgánico (18,95 t ha-1), aunque el número total de inflorescencias recolectadas fue idéntico (64.000 inflorescencias ha-1), que sugiere que la diferencia radica principalmente en el peso promedio por unidad. El peso en el sistema convencional varió entre 650 y 750 g, mientras que en el sistema orgánico fue de 550 a 700 g. El análisis estadístico confirmó una mayor homogeneidad en el rendimiento del sistema convencional, con un CV del 1,91%, frente al 4,00% del sistema orgánico. Esta estabilidad podría deberse a una mayor disponibilidad y absorción de nutrientes en el sistema convencional, particularmente N y Ca, que favorecieron una acumulación más eficiente de biomasa en las inflorescencias.
Estudios como el de Puenayan et al. (2008) y Román Llamuca (2022) ya habían señalado que dosis adecuadas de N, combinadas con buen manejo de K y Ca, incrementan el peso de las pellas. Sin embargo, el exceso de alguno de estos nutrientes, en especial el N, puede generar un crecimiento vegetativo excesivo en detrimento del rendimiento (Cartagena Ayala, 2014). En esta investigación, el análisis de regresión mostró que en el sistema convencional el Ca tuvo un efecto negativo significativo sobre la producción, mientras que en el sistema orgánico el impacto fue más moderado, aunque con mayores efectos interactivos y cuadráticos. Esto sugiere que el sistema orgánico responde de manera más compleja a la combinación de nutrientes, y que el manejo de fertilización en estos cultivos requiere una planificación más ajustada para evitar desequilibrios que afecten el llenado y tamaño de las inflorescencias. Como indican Marschner (2012) y White y Broadley (2003), el equilibrio entre nutrientes es esencial no solo para el crecimiento, sino para la calidad del órgano cosechable, lo cual se confirmó en esta evaluación.
3.4. Discusión general
Los resultados obtenidos en esta investigación confirman que el tipo de sistema de fertilización (orgánico vs. convencional) influye significativamente sobre el comportamiento del cultivo de brócoli (Brassica oleracea var. italica), tanto en variables agronómicas como en la incidencia de plagas. Las diferencias entre ambos sistemas no se limitaron a los valores promedio, sino también al patrón de respuesta frente a las dosis de N y Ca, y sus respectivas interacciones.
En relación con la incidencia del pulgón (Brevicoryne brassicae), el sistema orgánico presentó una mayor susceptibilidad (21.84% frente a 5.26% en el convencional), lo cual está relacionado con la ausencia de insumos sintéticos y una mayor dependencia del equilibrio natural del agroecosistema, como han señalado Costa et al. (2023) y Vacante y Kreiter (2017). En el sistema convencional, el Ca fue el único factor significativo, mientras que en el sistema orgánico los efectos de N y Ca fueron complejos y no lineales. Esto refleja una mayor sensibilidad del manejo orgánico a las combinaciones de nutrientes, posiblemente asociada a interacciones con la microbiota del suelo y mecanismos de defensa inducidos, como sugiere Guerrieri y Digilio (2008).
Respecto a la altura de planta, ambos sistemas mostraron un crecimiento progresivo, aunque el convencional fue más homogéneo (CV ≤ 1%). El sistema orgánico presentó diferencias significativas en etapas intermedias (60 y 75 ddt), que podría relacionarse con una liberación más gradual de nutrientes y menor disponibilidad inmediata. Según Marschner (2012), el N es un nutriente clave en la elongación celular y la formación de tejidos vegetativos, aunque su exceso puede afectar negativamente la floración (Mainardi Fazio, 2017). Estas observaciones fueron consistentes con lo reportado por Rodríguez-González et al. (2020) sobre la influencia de factores microclimáticos en el desarrollo estructural de las plantas.
En términos de rendimiento de inflorescencias, la diferencia más marcada se observó en el peso promedio por unidad, superior en el sistema convencional (hasta 750 g). A pesar de que ambos sistemas produjeron la misma cantidad de inflorescencias por hectárea, el sistema convencional acumuló mayor biomasa, posiblemente debido a una absorción más eficiente de nutrientes y menor estrés fisiológico. Esto coincide con lo indicado por Puenayan et al. (2008) y Cartagena Ayala (2014), quienes señalan que la respuesta del brócoli a la fertilización nitrogenada es altamente dependiente de la sincronización con el ciclo del cultivo.
En conjunto, los resultados sugieren que, mientras el sistema convencional permite un mayor control y homogeneidad en el rendimiento y en la sanidad del cultivo, el sistema orgánico requiere una gestión más cuidadosa y adaptativa de los nutrientes. Además, los efectos interactivos y cuadráticos encontrados en el sistema orgánico subrayan la necesidad de investigaciones más específicas sobre el equilibrio óptimo de nutrientes en sistemas agroecológicos. En línea con lo señalado por Rahman (2022), la nutrición vegetal debe ser considerada no solo como una herramienta productiva, sino también como un componente de manejo integrado que incide en las relaciones planta-plaga y en la sostenibilidad del sistema agrícola.
4. Conclusiones
El análisis estadístico, mediante modelos de ANOVA y regresión, permitió identificar patrones diferenciados en la dinámica de la plaga y en el comportamiento del cultivo según el tipo de fertilización. Con respecto a la incidencia de pulgón, el sistema convencional registró un menor nivel promedio (5,26%) y una menor variabilidad (CV = 1,91%), en comparación con el sistema orgánico (21,84%, CV = 4,00%), que indica una mayor estabilidad fitosanitaria bajo manejo convencional. Estos resultados podrían estar asociados a la influencia del manejo nutricional sobre la resistencia vegetal y al menor uso de agroquímicos en sistemas orgánicos.
El análisis de regresión indicó que el Ca tuvo un impacto significativo y negativo sobre la incidencia de pulgón en ambos sistemas, especialmente en el convencional (R2 = -0,480), que confirma su rol clave en el fortalecimiento de los tejidos vegetales y la resistencia estructural de las plantas. En el sistema orgánico, su efecto reductor también fue evidente, aunque menos pronunciado (R2 = -0,1826). Por su parte, el N mostró un efecto más complejo. Si bien dosis elevadas incrementaron inicialmente la incidencia, posiblemente debido al estímulo en el desarrollo de tejidos jóvenes más susceptibles al ataque, las combinaciones balanceadas con Ca tendieron a disminuir la presencia del pulgón. Además, los efectos cuadráticos e interactivos (N², Ca² y N·Ca) fueron estadísticamente significativos principalmente en el sistema orgánico, que evidencia una respuesta más sensible y no lineal de la plaga frente a las variaciones nutricionales.
El Ca fue el factor con mayor influencia en la mayoría de los modelos ajustados. En el sistema convencional, tuvo un efecto negativo y significativo sobre la producción de inflorescencias, y sobre la incidencia de pulgón, sugiriendo que dosis elevadas limitan el rendimiento, pero contribuyen a reducir la presión de plagas. En el sistema orgánico, el efecto negativo del Ca también fue evidente, aunque menos pronunciado. El N, por su parte, presentó un efecto negativo leve sobre la producción en ambos sistemas, sin resultados significativos en la mayoría de modelos. Esto indica que su exceso no mejora el rendimiento e incluso aumenta la susceptibilidad a plagas. No obstante, su efecto sobre la incidencia de pulgón fue ligeramente reductor cuando fue balanceado con el Ca.
En los modelos ajustados, las interacciones cuadráticas e interacciones cruzadas (AA, BB, AB) fueron más relevantes en el sistema orgánico, reflejando una mayor sensibilidad a las combinaciones de nutrientes. Esto evidencia la necesidad de un manejo nutricional más preciso en sistemas orgánicos, donde pequeños cambios en la dosis generan respuestas no lineales.
En síntesis, el sistema convencional fue más eficiente en términos de rendimiento y control de plagas, con respuestas más consistentes y predecibles. Sin embargo, el sistema orgánico mostró un comportamiento agronómicamente interesante, con potencial de mejora a través del ajuste fino de las dosis de N y Ca. Por ello, el manejo balanceado y estratégico de estos nutrientes, adaptado a cada sistema de producción, resulta clave para optimizar la sanidad y productividad del cultivo de brócoli.
Contribuciones de los autores
Roberto Alexander Taco Guamán: conceptualización, curación de datos, análisis formal, investigación, metodología, recursos, software, validación, redacción – borrador original, redacción – revisión y edición.
Implicaciones éticas
El autor declara que no existen implicaciones éticas.
Conflicto de interés
El autor declara que no existen conflictos de interés financieros o no financieros que podrían haber influido en el trabajo presentado en este artículo.
Agradecimientos
De manera especial ofrezco mis sinceros agradecimientos a la institución que me abrió las puertas para llevar a cabo la toma de datos, Nintanga; de la misma manera agradezco a la Universidad Técnica de Cotopaxi.
Referencias
Askar, S. (2021). Efficiency of three coccinellid species against Brevicoryne brassicae (L.) (Homoptera: Aphididae) in cabbage fields at El-Behera Governorate, Egypt. Journal of Plant Protection and Pathology, 12(1), 31-35. https://doi.org/10.21608/jppp.2021.149518
Bacarreza Manrique, R. (2018). Producción de dos variedades de brócoli (Brassica oleracea var. itálica) en tres distancias de plantación en condiciones de walipini. Universidad Mayor de San Andrés. http://repositorio.umsa.bo/xmlui/handle/123456789/17178
Blackman, R. L., y Eastop, V. F. (2000). Aphids on the world’s crops: An identification and information guide (2nd ed.). Wiley.
Carrillo-Riofrío, F. M., y Minga-León, F. E. (2020). Mezclas de fertilizantes sintéticos en rendimiento de brócoli usando la metodología participativa en la comunidad Pungal. Dominio de las Ciencias, 6(2), 959-970. https://doi.org/10.23857/dc.v6i2.1259
Cartagena Ayala, Y. E. (2014). El modelo sistémico para la fertilización nitrogenada en brócoli (Brassica oleracea itálica). Colegio de Postgraduados. http://colposdigital.colpos.mx:8080/jspui/handle/10521/2390
Costa, C. A., Guiné, R. P. F., Costa, D. V. T. A., Correia, H. E., y Nave, A. (2023). Pest control in organic farming. En J. Chen y C. Chang (eds.), Advances in Resting-state Functional MRI (2nd ed.) (pp. 111-179). Elsevier. https://doi.org/10.1016/B978-0-323-99145-2.00003-3
Dixon, A. F. G. (2012). Aphid ecology: An optimization approach. Springer Dordrecht. https://doi.org/10.1007/978-94-011-5868-8
Falcon-Alvarado, J., Valverde-Rodriguez, A., Álvarez-Benaute, L., Briceño-Yen, H., y Campos-Albornoz, M. E. (2023). Extractos vegetales en el control del pulgón (Brevicoryne brassicae L.) en el cultivo de la col (Brassica oleracea var. Capitata), en Perú. Manglar, 20(4), 317-323. https://doi.org/10.57188/manglar.2023.036
García Meléndez, L. M. (2022). Nutrición en plantas de moringa (Moringa Oleífera Lam.) utilizando diferentes fuentes de nitrógeno, fósforo y potasio, su influencia en el desarrollo y crecimiento en vivero. Universidad de El Salvador. https://oldri.ues.edu.sv/id/eprint/27292/
Guerrieri, E., y Digilio, M. C. (2008). Aphid-plant interactions: a review. Journal of Plant Interactions, 3(4), 223-232. https://doi.org/10.1080/17429140802567173
Gutiérrez Pulido, H., y Vara Salazar, R. de la. (2008). Análisis y diseños de experimentos (2ª ed.). McGraw Hill México.
Jiménez Villalva, E. I., y Osorio Bautista, E. C. (2019). Comparación de los elementos del costo de la producción del brócoli entre los productores del barrio San Vicente de la Parroquia Póalo. Universidad Técnica de Cotopaxi. http://repositorio.utc.edu.ec/handle/27000/7705
Mainardi Fazio, F. (2017). El huerto completo en poco espacio. Parkstone International
Maldonado, F., y Calvache Ulloa, A. (2006). Efecto de la fertilización química (N-P-K-Ca) en la incidencia de la mancha negra de la pella en un ciclo de producción comercial de brócoli (Brassica Oleracea L. Var. Itálica) Híbrido Legacy. Rumipamba, XX, 1-13.
Marschner, H. (ed.). (2012). Marschner’s Mineral Nutrition of Higher Plants. Academic Press. https://doi.org/10.1016/C2009-0-63043-9
Moreno, D. A., Carvajal, M., López-Berenguer, C., y García-Viguera, C. (2006). Chemical and biological characterisation of nutraceutical compounds of broccoli. Journal of Pharmaceutical and Biomedical Analysis, 41(5), 1508-1522. https://doi.org/10.1016/j.jpba.2006.04.003
Pantoja, C. (2006). Efecto de la fertilización química (NPK-Ca) en la incidencia de la mancha negra de la pella en un ciclo de producción comercial de brócoli (Brassica oleracea var. Itálica, hib. legacy), Machachi-Pichincha. Universidad Central del Ecuador.
Puenayan, I. A., Córdoba, R. F., y Unigarro, S. A. (2008). Respuesta del brocoli Brassica oleracea Var. Italica L. Híbrido legacy a la fertilización con n – p – k en el municipio de Pasto, Nariño. Revista de Ciencias Agrícolas, 25(1 y 2), 150-162. https://revistas.udenar.edu.co/index.php/rfacia/article/view/82
Rahman, K. M. Z. (2022). Effects of nitrogen fertilization on crops and their associated insect communities: a global food security perspective. Asian-Australasian Journal of Food Safety and Security, 6(2), 48-56. https://doi.org/10.3329/aajfss.v6i2.62619
Raya-Montaño, Y. A., Apáez-Barrios, P., Guillén-Andrade, H., y Nieves Lara-Chavez, M. B. N. (2018). Producción de brócoli en función del genotipo y dosis de nitrógeno. Revista Fitotecnia Mexicana, 41(4-A), 537-542. https://doi.org/10.35196/rfm.2018.4-A.537-542
Rodríguez-González, O., Florido-Bacallao, R., Varela-Nualles, M., González-Viera, D., Vázquez-Montenegro, R., Maqueira-López, L. A., y Morejón-Rivera, R. (2020). Aplicación de la herramienta de modelación DSSAT para estimar la dosis óptima de fertilizante nitrogenado para la variedad de arroz J-104. Cultivos Tropicales, 41(2), e01. https://ediciones.inca.edu.cu/index.php/ediciones/article/view/1545
Román Llamuca, M. J. (2022). Evaluación de formulaciones potásicas en el rendimiento y calidad del cultivo de brócoli (Brassica oleracea L) var. Itálica. Híbrido Avenger. Escuela Superior Politécnica de Chimborazo. http://dspace.espoch.edu.ec/handle/123456789/18361
Vacante, V., y Kreiter, S. (2017). Handbook of pest management in organic farming. CABI. https://www.cabidigitallibrary.org/doi/book/10.1079/9781780644998.0000
White, P. J., y Broadley, M. R. (2003). Calcium in plants. Annals of Botany, 92(4), 487-511. https://doi.org/10.1093/aob/mcg164
Información adicional
e-location: e7998
Información adicional
redalyc-journal-id: 6538