Artículo Original
Efecto del extracto acuoso de la hoja de Ocotea quixos sobre Rhipicephalus microplus in vitro
Effect of aqueous extract of Ocotea quixos leaf on Rhipicephalus microplus in vitro
Efecto del extracto acuoso de la hoja de Ocotea quixos sobre Rhipicephalus microplus in vitro
Siembra, vol. 13, núm. 1, e8162, 2026
Universidad Central del Ecuador

Recepción: 28 Abril 2025
Revisado: 15 Julio 2025
Corregido: 20 Agosto 2025
Aprobación: 13 Noviembre 2025
Resumen: Las garrapatas afectan gravemente al ganado bovino en zonas tropicales, siendo Rhipicephalus microplus (Ixodida: Ixodidae) de las especies más relevantes por su capacidad de transmitir enfermedades y generar pérdidas económicas significativas. El objetivo del trabajo fue evaluar la acción garrapaticida del extracto acuoso de la hoja de Ocotea quixos contra R. microplus. Se utilizó un diseño completamente aleatorizado con arreglo factorial, donde se analizaron tres concentraciones del hidrolato (25%, 62,5% y 100%) y tres tiempos de inmersión (1,0; 3,5 y 6,0 minutos), además de controles positivos y negativos. Las pruebas se realizaron en condiciones controladas y la mortalidad fue medida cada 4 horas durante 7 días. Los resultados evidenciaron que la concentración del hidrolato y su interacción con el tiempo de exposición influyeron significativamente en la mortalidad de las garrapatas (p < 0,0001), destacando el tratamiento con 100% durante 6 minutos, con un 87 % de mortalidad, valor similar al control positivo (99,1%). El modelo predictivo mostró un alto ajuste (R² = 0,9973), permitiendo anticipar con precisión los efectos del tratamiento. Se comprobó que el tiempo de inmersión solo mejora la eficacia en bajas concentraciones. El extracto acuoso de O. quixos representa una alternativa natural eficaz frente a acaricidas sintéticos, aportando a la sostenibilidad de la producción ganadera mediante estrategias de control biológico con menor impacto ambiental.
Palabras clave: canela amazónica, cinamaldehído, garrapata, hidrolato, ishpingo.
Abstract: Ticks seriously affect cattle in tropical areas, being Rhipicephalus microplus (Ixodida: Ixodidae) the most relevant species due to its ability to transmit diseases and generate significant economic losses. The objective of this study was to evaluate the tick-killing action of the aqueous extract of the leaf of Ocotea quixos against R. microplus. A completely randomized design with a factorial arrangement was employed, in which three concentrations of the hydrolate (25%, 62.5%, and 100%) and three immersion times (1.0, 3.5, and 6.0 minutes) were analyzed, along with positive and negative controls. The tests were conducted under controlled conditions, and mortality was measured every 4 hours for 7 days. The results showed that the hydrolate concentration and its interaction with exposure time significantly influenced tick mortality (p < 0.0001), highlighting the 100% treatment applied for 6 minutes, which achieved 87% mortality, a value comparable to the positive control (99.1%). The predictive model showed a high fit (R² = 0.9973), allowing the effects of the treatment to be accurately anticipated. It was verified that immersion time only improves efficacy at low concentrations. The aqueous extract of O. quixos represents an effective natural alternative to synthetic acaricides, contributing to the sustainability of livestock production through biological control strategies with a lower environmental impact.
Keywords: Amazon cinnamon, cinnamaldehyde, hidrosol, ishpingo, tick.
1. Introducción
Los ectoparásitos artrópodos hematófagos como garrapatas, pulgas, ácaros y mosquitos son vectores de patógenos que afectan la salud humana y animal en todo el mundo (Mendoza-Roldan et al., 2021). Entre estos, las garrapatas de la familia Ixodidae se conocen comúnmente como garrapatas duras, debido al escudo que cubre toda la superficie dorsal del macho y únicamente el tercio anterior en las hembras (de la Cruz Díaz et al., 2023). Esta familia contribuye a aproximadamente el 78% de todas las especies conocidas de garrapatas, incluidas las más importantes económicamente (Kasaija et al., 2021). Las garrapatas afectan al 80% de la población bovina mundial y están asociadas a numerosos efectos sanitarios y económicos (Sultankulova et al., 2022). En consecuencia, provocan pérdidas financieras de aproximadamente USD 13,9 - 18,7 mil millones por año en todo el mundo (Betancur Hurtado y Giraldo-Ríos, 2018).
En México el 65% del ganado está infestado con Rhipicephalus microplus (Canestrini, 1888) (Ixodida: Ixodidae) y es susceptible a patógenos transmitidos por garrapatas ocasionando pérdidas económicas de 573,6 millones de dólares anuales (Lagunes-Quintanilla et al., 2024). Mientras, en Brasil, es el ectoparásito más importante del ganado y causó pérdidas estimadas superiores a los tres mil millones de dólares (Klafke et al., 2024).
En Ecuador, la ganadería desempeña un papel fundamental en el desarrollo económico y social, habiéndosela adaptado a una diversidad de sistemas de producción y a las condiciones contrastantes que caracterizan las cuatro regiones (Maya-Delgado et al., 2020). Los principales patógenos transmitidos por las garrapatas son causantes de las enfermedades: Babesiosis bovina, Anaplasmosis bovina, Theileriosis bovina y enfermedades hemorrágicas en bovinos (Henker et al., 2020; Souza et al., 2013). En el país, más del 75% del ganado se encuentra en zonas infestadas por garrapatas (Rodríguez Trujillo et al., 2021), provocando pérdidas económicas millonarias cada año. Estas pérdidas se deben principalmente a la mortalidad causada por enfermedades transmitidas por estos ectoparásitos infectados, así como a la consecuente reducción en la producción de carne y leche.
A esta problemática se suma el uso frecuente e indiscriminado de biocidas sintéticos, que ha favorecido la proliferación de individuos naturalmente resistentes. Esta resistencia no es inducida por los biocidas; sino que, al eliminar a los individuos susceptibles, solo permanecen los resistentes, cuya proporción incrementa tras cada aplicación. Además, estos productos presentan efectos secundarios sobre el ambiente al contaminar el suelo y el agua, afectando ecosistemas locales, y pueden estar presentes en los alimentos de origen animal, al excretarse por la leche o impregnar la carne, comprometiendo la salud humana (Paucar-Quishpe et al., 2024).
Autores como Pérez-Otáñez et al. (2024), identificaron niveles de resistencia en productos garrapaticida en 96 fincas ganaderas en el país, el 72% de las cuales presentaron resistencia al amitraz, el 70% a la ivermectina y el 64% a la alfa-cipermetrina. La resistencia de las garrapatas a los acaricidas químicos representa un problema para la ganadería, especialmente en regiones tropicales y subtropicales donde especies como R. microplus son comunes (Castañeda Arriola et al., 2021). Esta resistencia compromete la efectividad de los tratamientos, incrementa los costos de producción, representa riesgos ambientales y para la salud humana debido a la acumulación de residuos químicos que son excretados por la leche y otros tejidos del cuerpo de los bovinos (Klafke et al., 2024).
Ocotea quixos (Lam.) Kosterm. (Laurales: Lauraceae) es una especie botánica aromática nativa y cultivada en Ecuador con amplia distribución en las regiones andina y amazónica, especialmente en las provincias de la Amazonía (Gilardoni et al., 2021). Conocida comúnmente como "ishpingo" (del quechua ishpinku), se ha identificado en sus aceites esenciales diversas actividades biológicas, entre ellas propiedades antimicrobianas, antioxidantes, antiplaquetarias, antiinflamatorias y larvicidas contra Aedes aegypti (Valarezo et al., 2021).
El uso de extractos vegetales como acaricidas se ha convertido en una alternativa prometedora frente a los problemas asociados al uso de productos químicos sintéticos (Hagg et al., 2024). Los extractos obtenidos de plantas poseen compuestos bioactivos, como alcaloides, flavonoides y taninos que han demostrado efectos tóxicos sobre garrapatas (Quadros et al., 2020).
El hidrolato, también conocido como aguas florales, es el agua obtenida por la condensación de las plantas en el proceso de destilación de agua o destilación al vapor para extraer aceites esenciales (Aćimović et al., 2020). Aunque, el hidrolato y los aceites esenciales no son miscibles, a menudo comparten propiedades similares, contienen una proporción reducida de compuestos aromáticos y otros elementos químicos hidrosolubles, los cuales confieren propiedades funcionales apreciables. Wang et al. (2024), al caracterizar el aceite y hidrolato de Cinnamomum osmophloeum Kanehira donde refieren que la composición química del hidrolato se asemeja mucho a la del aceite esencial, revelando como constituyentes el trans-cinamaldehído (65,03%), el acetato de trans-cinamilo (7,57%) y la cumarina (4,31%) son los principales compuestos volátiles. Esto indica la presencia de compuestos potencialmente potentes dentro de la fracción de agua que conforman el hidrolato.
La revisión literaria permitió identificar a autores como Kemal et al. (2020), quienes evaluaron extractos metanólicos Vernonia amygdalina, Calpurnia aurea, Schinus moll y Ricinus communis contra especies del género Rhipicephalus, mostrando que concentraciones de 50 y 100 mg mL-1 lograron mortalidad significativa similar a diazinón a las 24 horas. En cambio, Jian et al. (2022), evaluaron extractos de seis plantas contra Dermanyssus gallinae, destacándose Syzygium aromaticum y Leonurus artemisia por lograr una mortalidad del 100% en pruebas de contacto a una concentración de 1 g mL-1.
El uso de O. quixos ha demostrado ser una fuente importante de compuestos bioactivos con potencial para el desarrollo de alternativas naturales en el manejo de plagas (Scalvenzi et al., 2019). Al igual que los estudios de caracterización del aceite de canela amazónica realizados por Arteaga-Crespo et al. (2021), resaltan la presencia del cinamaldehído como compuesto principal con efecto insecticida sobre las termitas. Mientras, Alvarado Aguilar et al. (2019) destacan las propiedades antimicrobianas, antifúngicas y antioxidantes de su aceite esencial que contiene un cinamaldehído como componente activo principal. De acuerdo con lo evidenciado por Quirós-Monge et al. (2025) sobre la acción de este compuesto químico anteriormente mencionado tiene la capacidad de transformar las proteínas e inhibir la producción de enzimas como la acetilcolinesterasa, cruciales para la transmisión nerviosa colinérgica en los artrópodos; y, afectando la permeabilidad de la membrana celular, alteración capaz de interrumpir los procesos fisiológicos comprometiendo la homeostasis culminando en una parálisis y muerte progresiva de las garrapatas.
Por lo tanto, su evaluación como acaricida permite desarrollar productos naturales sostenibles, reduciendo la dependencia de químicos sintéticos y los impactos ambientales. Además, aprovecha los recursos amazónicos para fortalecer estrategias de manejo integrado de plagas.
Atendiendo las premisas anteriores el objetivo del trabajo fue evaluar la acción garrapaticida del extracto acuoso de la hoja de Ocotea quixos contra el Rhipicephalus microplus.
2. Materiales y Métodos
2.1. Localización
La investigación experimental se realizó en los laboratorios de Química (extracción del hidrolato de O. quixos) y Biología (identificación y conteo de garrapatas) de la Universidad Estatal Amazónica [UEA], ubicada en Puyo, Pastaza. Dirección Matriz: Vía Napo km 2 ½, Paso Lateral S/N, donde se llevaron a cabo los procedimientos experimentales y las observaciones necesarias para el análisis (Figura 1).

Figure 1. Geographical location of the study area.
2.2. Tipo de investigación
El estudio es de tipo experimental y cuantitativo, dado que manipula la concentración del hidrolato y el tiempo de inmersión para analizar su efecto sobre la mortalidad de garrapatas. Este diseño establece relaciones causa-efecto entre variables controladas y las respuestas obtenidas (Torales y Barrios, 2023). Además, tiene un enfoque exploratorio y aplicado, evaluando un extracto natural como alternativa sostenible en el manejo de ectoparásitos.
2.3. Recolección del Material Vegetal
Las hojas frescas de O. quixos fueron recolectadas en los predios de la UEA. Se utilizó una cortadora de hojas para realizar la colecta, obteniendo un total de 6,5 kg. Las hojas recolectadas se colocaron en fundas entretejidas con hilo de plástico transpirables y limpias para evitar contaminación, se transportaron inmediatamente al laboratorio para procesar en el extractor de aceite por arrastre de vapor marca FIGMAY, Buenos Aires, Argentina.
2.4. Extracción del Hidrolato
El hidrolato se obtuvo mediante destilación por arrastre de vapor, siguiendo la metodología descrita por Briones-Sornoza y Guerrero-Intriago (2019), utilizando un extractor de aceites esenciales en el laboratorio de Química de la UEA. Se añadieron 2 litros de agua al extractor, asegurando las tapas para evitar fugas de vapor y se colocaron hojas frescas de O. quixos dentro del equipo. El calor aplicado generó vapor que rompió las células vegetales, liberando compuestos volátiles que se condensaron en forma líquida. Se realizaron dos ciclos de extracción. El primero de 10h30 a 12h35 y el segundo de 13h40 a 15h00, obteniendo un total de 1.387,7 g de hidrolato. El producto rotulado como "Hidrolato de Ocotea" fue sellado con papel parafilm y almacenado a 5 °C para evitar su degradación.
Las soluciones de hidrolato se prepararon siguiendo la ecuación [1] y almacenadas en vasos de precipitación de 600 ml. Las concentraciones fueron: 100% (hidrolato puro, sin dilución), 62,5% (312,5 ml de hidrolato puro más 187,5 ml de agua) y 25,0% (125 ml de hidrolato puro más 375 ml de agua).
[1]Donde, C1∶Concentración inicial del hidrolato (100%), V1: Volumen del hidrolato puro utilizado, C2: Concentración final deseada (25% o 62,5%), V2: Volumen total (500 ml).
No se realizó la caracterización del hidrolato, se infiere su composición química por lo evidenciado en trabajos anteriores que refieren la presencia de los compuestos biactivos del aceite esencial potencialmente potentes dentro de la fracción de agua que conforma el hidrolato en diferentes especies de canela, según Arteaga-Crespo et al. (2021) en canela amazónica O. quixos y según Wang et al. (2024) en hidrolato de Cinnamomum osmophloeum Kanehira.
2.5. Recolección, identificación y mortalidad de las garrapatas
La recolección de garrapatas se realizó en las instalaciones ganadera de la provincia de Pastaza, tomadas de los bovinos en las regiones de la ingle, detrás de las orejas, cuello, ubres, escroto y la zona perineal, concordando con lo reportado por Cuesy León et al. (2021) en bovinos infestados. Se recolectaron 300 garrapatas, de las cuales se seleccionaron 170, que fueron distribuidas aleatoriamente en cajas Petri para los tratamientos.
La identificación de la especie de garrapata se realizó mediante el uso del estereoscopio trinocular EUROMEX NZ1903-P, para observar los caracteres morfológicos y con la ayuda de las claves taxonómicas señaladas por Acevedo-Gutiérrez et al. (2020). Se determinó que las garrapatas para este estudio correspondían a la especie Rhipicephalus (Bhoophilus) microplus, especie muy común en la zona, las mismas que se hallaron en diferentes estadios de desarrollo, con predominio de ninfa y adulto.
Las garrapatas se distribuyeron aleatoriamente en cajas Petri de plástico (96 x 16 mm) perforadas para permitir ventilación, con 10 garrapatas por caja, sumando un total de 170 garrapatas. Las cajas fueron etiquetadas según los tratamientos correspondientes, especificando la dosis y el tiempo de exposición dentro de cada concentración del hidrolato, según el diseño planteado y, según los tratamientos indicados en la Tabla 1. Las garrapatas se sumergieron en las soluciones correspondientes, controlando el tiempo de inmersión con un cronómetro. Posteriormente, fueron retiradas y devueltas a sus respectivas cajas Petri.
La evaluación de la mortalidad se realizó a partir de las 08h00 cada 4 h; para verificar que estuvieran muertas y no simplemente inmóviles, se utilizó un pincel fino para estimular su movilidad mediante contacto mecánico suave. Durante toda la fase de laboratorio se mantuvo las condiciones controladas de temperatura 28±2 °C y humedad relativa 80-90%. Para los cálculos de mortalidad se utilizó la ecuación [2].
[2]2.6. Diseño Experimental
Los tratamientos se dispusieron en un diseño experimental completamente aleatorizado [DCA], siguiendo un enfoque similar al utilizado por Valenzuela Loor et al. (2024). Se consideraron tres concentraciones de hidrolato (25,0%; 62,5%; y, 100%), con tres tiempos de inmersión (1,0; 3,5; y, 6,0 minutos) y dos controles (positivo y negativo). A los controles se les aplicó el mismo tiempo de inmersión que a los tratamientos, es decir, 6 minutos, para asegurar condiciones experimentales homogéneas (Tabla 1). Se empleó agua destilada como control negativo, y como control positivo la aplicación del garrapaticida comercial Biorboss-Farbiovet, compuesto por cipermetrina 95%, diclorvos (inhibidor de la acetilcolinesterasa) y fipronil (bloqueador de los canales de cloruro regulados por GABA), el cual fue diluido un 1 ml L-1 de agua (según dosis recomendada por el fabricante, y utilizada en la producción ganadera). Transcurrido el tiempo de inmersión (6 minutos) se procedió a colocar las garrapatas nuevamente en cajas Petri, donde se midió la mortalidad durante 7 días, cada 4 horas. La mortalidad fue la única variable de respuesta considerada para evaluar el efecto de los tratamientos.
| N° | Dosis de Hidrolato (%) | Tiempo de inmersión (min) |
| 1 | 100 | 1,0 |
| 2 | 25 | 1,0 |
| 3 | 100 | 6,0 |
| 4 | 62,5 | 3,5 |
| 5 | 62,5 | 3,5 |
| 6 | 62,5 | 3,5 |
| 7 | 25 | 6,0 |
| 8 | 100 | 1,0 |
| 9 | 100 | 6,0 |
| 10 | 25 | 1,0 |
| 11 | 25 | 6,0 |
| 12 | 25 | 6,0 |
| 13 | 100 | 1,0 |
| 14 | 25 | 1,0 |
| 15 | 100 | 6,0 |
| Control (Agua) | 100 | 6,0 |
| Garrapaticida | Dosis recomendada por el fabricante | 6,0 |
Table 1. Experimental design with hydrolate concentrations and immersion times.
2.7. Análisis estadístico
El análisis se realizó en el software Design-Expert® 12, donde se calcularon los valores de suma de cuadrados, grados de libertad, medias cuadráticas, valores F y p. La adecuación del modelo fue evaluada mediante los coeficientes de determinación R² y R² ajustado, así como por el cálculo del error puro y la prueba de falta de ajuste (Lack of Fit). Se generaron las ecuaciones finales en términos de factores codificados y reales para la predicción de la respuesta según los niveles de cada variable.
Se aplicó un Análisis de Varianza [ANOVA] factorial considerando dos factores: la concentración del hidrolato de O. quixos (Factor A) y el tiempo de inmersión (Factor B), evaluados en tres niveles cada uno. El diseño incluyó también el término de interacción entre factores (A×B), permitiendo identificar posibles efectos combinados entre concentración y tiempo. Se empleó un nivel de significancia del 5% (p < 0,05) para evaluar la influencia estadística de cada término sobre la variable de respuesta.
3. Resultados y Discusión
3.1. Actividad garrapaticida del hidrolato de Ocotea quixos
El ANOVA factorial evidenció que la concentración del hidrolato (p < 0,0001) y la interacción concentración-tiempo (p < 0,0001) influyeron significativamente en la mortalidad de R. microplus. El factor concentración presentó el mayor impacto (SC = 39,24), seguido de la interacción entre los factores (SC = 0,70). El tiempo de inmersión no mostró un efecto significativo por sí solo (p = 0,1182). La baja magnitud del error puro (SC = 0,1067) permitió una adecuada estimación del modelo, cuyos resultados explican la variabilidad observada (Tabla 2). Estos datos demuestran que la efectividad del hidrolato depende principalmente de su concentración y su interacción con el tiempo de exposición.
| Fuente | Suma de Cuadrados (SC) | Grados de Libertad (GL) | Media Cuadrática (MC) | Valor F | Valor p | |
| Modelo | 39,98 | 3 | 13,33 | 999,56 | < 0,0001 | significativo |
| A-Concentración | 39,24 | 1 | 39,24 | 2943,06 | < 0,0001 | |
| B-Tiempo | 0,0408 | 1 | 0,0408 | 3,06 | 0,1182 | |
| AB | 0,7008 | 1 | 0,7008 | 52,56 | < 0,0001 | |
| Error Puro | 0,1067 | 8 | 0,0133 | |||
| Total Corregido | 40,09 | 11 |
Table 2. Factorial ANOVA for tick mortality.
3.2. Mortalidad de garrapatas en los diferentes tratamientos y controles
Los resultados muestran que la mortalidad de R. microplus varió en función de la concentración del hidrolato y el tiempo de inmersión. El tratamiento con 100% de hidrolato durante 6 minutos presentó una mortalidad de 87,00%, valor cercano al control positivo (C+), que alcanzó el 99,10% (Figura 2). La aplicación de la misma concentración durante 1 minuto resultó en una mortalidad del 81,00%, indica una alta eficacia incluso con tiempos cortos de exposición. Estos datos permiten confirmar la presencia de una respuesta dosis-tiempo.
Los tratamientos de 62,5% aplicado durante 3,5 minutos, registraron una mortalidad del 67,00%, mientras que las concentraciones más bajas mostraron una eficacia reducida. El tratamiento con 25% de hidrolato durante 1 minuto alcanzó una mortalidad del 49,67 % y con 6 minutos descendió a 46,00%. Estos resultados muestran que, a menor concentración, la acción garrapaticida disminuye, incluso con tiempos de inmersión prolongados, lo cual reafirma la relación directa entre la dosis y el efecto biológico observado.

Figure 2. Observed mortality of R. microplus under different concentrations and immersion times of the hydrolate.
El control negativo (C−) tratado con agua destilada registró la menor mortalidad (0,04%), confirmando que el efecto letal en los tratamientos experimentales puede atribuirse al hidrolato. Estos hallazgos coinciden con investigaciones realizadas por Miranda Reyes et al. (2023), quienes emplearon aceite esencial de Cinnamomum zeylanicum con una eficacia del 100% contra larvas de R. microplus. Complementariamente, en Ecuador, estudios realizados en los cantones Quilanga y Loja con extractos de Melinis minutiflora y Lantana camara también reportaron mortalidades significativas en larvas y adultos del mismo género (Vacacela-Ajila et al., 2023).
La actividad biológica observada puede explicarse por la presencia de compuestos como el (E)-cinnamaldehído (27,03 %) y el (E)-acetato de cinamilo (36,44 %) (Arteaga-Crespo et al., 2021), conocidos por sus propiedades insecticidas y antifúngicas (Alvarado Aguilar et al., 2019). Su toxicidad ha sido asociada a la alteración de la permeabilidad celular y la inhibición de enzimas para la homeostasis de los artrópodos. Además, Scalvenzi et al. (2019) señalaron que aceites esenciales con 1,8-cineol, sabineno y α-pineno, también presentes en O. quixos, exhiben efectos larvicidas y acaricidas relevantes frente a insectos hematófagos.
3.3. Análisis de efectos de los factores
El Half-Normal Plot muestra que la concentración del hidrolato fue el factor con mayor efecto estandarizado sobre la mortalidad de R. microplus, con un valor aproximado de 3,6. La interacción entre concentración y tiempo (AB) mostró un efecto menor pero aún significativo, mientras que el tiempo de exposición (B) se ubicó próximo a los límites del error estimado (Figura 3). Estos resultados confirman que la concentración es el factor principal en la eficacia acaricida del tratamiento, seguida de su interacción con el tiempo de inmersión.

Figure 3. Half-Normal plot of the effects of factors on mortality.
Según Arteaga-Crespo et al. (2021), este comportamiento puede explicarse por la acción de compuestos como el (E)-cinnamaldehído y el (E)-acetato de cinamilo, los cuales interfieren en rutas metabólicas vitales de los ectoparásitos y alteran la estabilidad de sus membranas celulares.
3.4. Jerarquización de efectos
El Diagrama de Pareto muestra que la concentración del hidrolato es el factor con mayor impacto sobre la mortalidad de R. microplus con un valor t aproximado de 54,25. La interacción concentración-tiempo (AB) también presentó un efecto significativo, mientras que el tiempo de exposición (B) no superó el límite de Bonferroni, por lo que se considera estadísticamente no significativo (Figura 4). Esta jerarquización reafirma que la eficacia del tratamiento depende principalmente de la concentración del hidrolato, mientras que el tiempo actúa en combinación, pero no de forma aislada. Según Durán Aguirre et al. (2020), la toxicidad de los aceites esenciales varía en función de la dosis y la interacción entre sus compuestos activos y la fisiología del artrópodo objetivo.

Figure 4. Pareto diagram of the effects of factors on mortality.
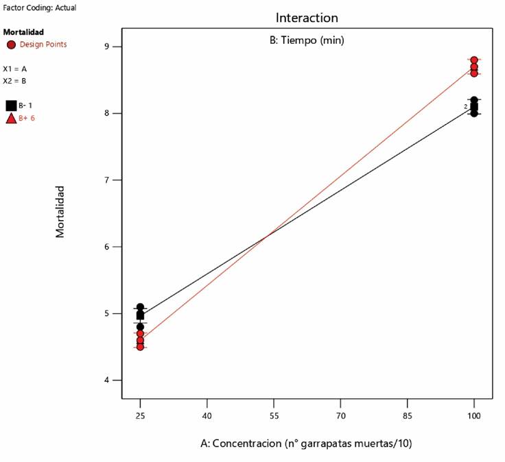
3.5. Interacción entre factores
La interacción entre los factores indica que la concentración del hidrolato y el tiempo de inmersión influyen en la mortalidad. La línea roja (6 minutos) y la línea negra (1 minuto) muestran un ascenso progresivo en la mortalidad a medida que aumenta la concentración, confirmando que el efecto más relevante corresponde a la cantidad de compuesto aplicado (Figura 5). A altas concentraciones (100%), se observa una mortalidad elevada con independencia del tiempo, mientras que a concentraciones bajas (25%) el tiempo de exposición mejora ligeramente la respuesta, aunque sin alcanzar niveles letales comparables.

Figure 5. Interaction plot between concentration and time on mortality.
Estos resultados muestran que el efecto del tiempo adquiere mayor relevancia únicamente cuando la dosis es reducida, debido a la necesidad de mayor absorción para lograr un efecto tóxico suficiente. En estos casos, otros factores como la resistencia individual, la presencia de oviposición o la variabilidad biológica pueden influir sobre la mortalidad observada. Estos hallazgos coinciden con los reportados por González Puetate et al. (2023), quienes indicaron que los aceites esenciales afectan la fisiología de los artrópodos, interfiriendo en procesos metabólicos esenciales y reduciendo su viabilidad, lo cual respalda el uso de extractos vegetales como alternativas viables frente a acaricidas sintéticos.
3.6. Distribución de la mortalidad del modelo predictivo
En las figuras de contorno (Figura 6A) y de superficie de respuesta (Figura 6B), se observa que la mayor mortalidad de R. microplus se alcanzó con concentraciones superiores al 85% y tiempos de exposición cercanos a los 6 minutos. Los valores más bajos de ambos factores se asociaron con una disminución progresiva en la eficacia del tratamiento, reflejando una relación directa entre el aumento de concentración y la mortalidad del ectoparásito. La zona azul del gráfico representa la menor respuesta biológica, mientras que la zona roja muestra el punto óptimo de acción del hidrolato.

Figure 6. Response surface (A) and contour plot of the effects on the mortality of R. microplus ticks (B).
La superficie de respuesta muestra una distribución suave, continua y ascendente. Este comportamiento indica que la mortalidad puede predecirse de manera confiable en función de los niveles de concentración y tiempo aplicados. Estos resultados coinciden con los observados en pruebas con extractos de Nicotiana tabacum y Couroupita guianensis, donde se documentó una relación directamente proporcional entre concentración y mortalidad, así como entre tiempo de exposición y mortalidad en larvas de R. microplus (Molina et al., 2025).
3.7. Comparación entre valores reales y predichos de mortalidad
El bajo impacto de los valores de Leverage (0,333) y de la Distancia de Cook (< 0,391) indica que ninguna observación influye de manera significativa en el ajuste del modelo de regresión (Tabla 3). En estudios similares, Castillo-Garit et al. (2021) señalaron que la implementación de modelos matemáticos robustos permite minimizar la dispersión y mejorar la confiabilidad de la predicción en toxicología computacional y farmacocinética.
Los hallazgos de este estudio refuerzan la aplicabilidad del modelo predictivo para estimar la mortalidad de R. microplus con alta precisión. Esto permite proyectar con mayor seguridad los resultados esperados ante variaciones en la concentración del tratamiento y el tiempo de exposición, representando una herramienta útil para la toma de decisiones en estrategias de control biológico.
Los datos muestran que las observaciones con valores reales de mortalidad cercanos al 50% presentan las mayores desviaciones (orden 3), mientras que los tratamientos con valores superiores al 80% muestran predicciones más ajustadas. Esto indica que el modelo tiene mayor precisión en condiciones de alta concentración y exposición prolongada. Estos resultados coinciden con los reportes de Lagunes-Quintanilla et al. (2024), quienes afirmaron que la efectividad de tratamientos acaricidas se ve influida por la dosis y el tiempo de acción sobre R. microplus.
La constante de mortalidad natural estimada (4,06 %) en ausencia del hidrolato es baja, lo que indica una mejora en el ajuste del modelo predictivo (ecuación [3]). Este valor es coherente con estudios como el de De Marchi et al. (2023), donde la mortalidad en el control negativo no superó el 10%. La baja intercepción indica una menor influencia de covariables externas, como el estrés por manipulación o condiciones microambientales dentro de las cajas Petri, las cuales han sido asociadas con incrementos en la mortalidad sin intervención acaricida (Ojeda-Chi et al., 2010). La consistencia entre el modelo y los datos experimentales respalda la confiabilidad del ajuste y refuerza su utilidad como herramienta para la optimización del uso del hidrolato en el control biológico de Rhipicephalus microplus.
[3]El modelo presentó un coeficiente de determinación (R²) de 0,9973, indicando que el 99,73% de la variabilidad en la mortalidad puede explicarse por los factores evaluados. Además, el R² ajustado (0,9963) y el R² predicho (0,9940) evidencian una alta capacidad de generalización del modelo, con una diferencia menor a 0,2, lo que valida su fiabilidad estadística. El coeficiente de determinación obtenido es considerado óptimo para la predicción de procesos biológicos, de acuerdo con los criterios establecidos por Li et al. (2021).
| Orden | Valor Real | Valor Predicho | Residuo | Leverage | RIE* | REE* | DC* | INF* | Orden Estándar |
| 1 | 5,10 | 4,97 | 0,1333 | 0,333 | 1,414 | 1,528 | 0,250 | 1,080 | 8 |
| 2 | 5,00 | 4,97 | 0,0333 | 0,333 | 0,354 | 0,333 | 0,016 | 0,236 | 11 |
| 3 | 4,80 | 4,97 | -0,1667 | 0,333 | -1,768 | -2,118 | 0,391 | -1,498 | 1 |
| 4 | 4,50 | 4,60 | -0,1000 | 0,333 | -1,061 | -1,070 | 0,141 | -0,757 | 6 |
| 5 | 4,60 | 4,60 | 0,0000 | 0,333 | 0,000 | 0,000 | 0,000 | 0,000 | 2 |
| 6 | 4,70 | 4,60 | 0,1000 | 0,333 | 1,061 | 1,070 | 0,141 | 0,757 | 7 |
| 7 | 8,00 | 8,10 | -0,1000 | 0,333 | -1,061 | -1,070 | 0,141 | -0,757 | 3 |
| 8 | 8,20 | 8,10 | 0,1000 | 0,333 | 1,061 | 1,070 | 0,141 | 0,757 | 5 |
| 9 | 8,10 | 8,10 | 0,0000 | 0,333 | 0,000 | 0,000 | 0,000 | 0,000 | 4 |
| 10 | 8,60 | 8,70 | -0,1000 | 0,333 | -1,061 | -1,070 | 0,141 | -0,757 | 9 |
| 11 | 8,70 | 8,70 | 0,0000 | 0,333 | 0,000 | 0,000 | 0,000 | 0,000 | 10 |
| 12 | 8,80 | 8,70 | 0,1000 | 0,333 | 1,061 | 1,070 | 0,141 | 0,757 | 12 |
Table 3. Report of observed and predicted mortality values in the model.
* RIE: Residuo Internamente Estandarizado, REE: Residuo Externamente Estandarizado, DC: Distancia de Cook, INF: Influencia en el Valor Ajustado.RIE: Internally Standardized Residual, REE: Externally Standardized Residual, DC: Cook's Distance, INF: Effect on Adjusted Value..
4. Conclusiones
El efecto acaricida observado implica una alternativa para reducir el uso de compuestos sintéticos en el control de R. microplus, una de las principales amenazas sanitarias en la ganadería tropical. La mortalidad del 87,00% alcanzada con la concentración del 100% durante 6 minutos de inmersión, valor cercano al control positivo (99,10%), implica que el extracto vegetal tiene un alto potencial biocida bajo condiciones controladas. Esta eficacia muestra que el producto puede incorporarse en planes de manejo integrado de plagas, priorizando prácticas ecológicas con menor impacto ambiental y menor riesgo de resistencia en los ectoparásitos.
El modelo predictivo con un coeficiente de determinación cercano a 1 implica una alta capacidad de explicación del comportamiento biológico del sistema, necesario para la toma de decisiones en la dosificación y aplicación del tratamiento. La mínima diferencia entre los valores ajustado y predicho respalda la estabilidad del modelo ante nuevas condiciones experimentales. Esta consistencia permite utilizar el modelo como una herramienta confiable para diseñar estrategias de control basadas en simulaciones previas, optimizando recursos y reduciendo el número de pruebas en campo.
Contribuciones de los autores
· Yasiel Arteaga Crespo: redacción – revisión y edición.
Joshua Alejandro Bohórquez Vargas: investigación, metodología, software.
Kevin Alexander Mena Quinteros: investigación, redacción – borrador original.
Danilo Reni Vinocunga-Pillajo: validación, redacción – revisión y edición.
María Isabel Viamonte Garces: conceptualización, metodología, administración del proyecto.
Yasiel Arteaga Crespo: redacción – revisión y edición.
Disponibilidad de datos
Los datos estarán disponibles previa solicitud.
Declaración de Uso de Inteligencia Artificial
Los autores declaran que no se ha utilizado Inteligencia Artificial en la elaboración del manuscrito.
Implicaciones éticas
Los autores declaran que no existen implicaciones éticas.
Conflicto de interés
Los autores declaran que no existen conflictos de interés financieros o no financieros que podrían haber influido en el trabajo presentado en este artículo.
Referencias
Acevedo-Gutiérrez, L. Y., Paternina, L. E., Pérez-Pérez, J. C., Londoño, A. F., López, G., y Rodas, J. D. (2020). Garrapatas duras (Acari: Ixodidae) de Colombia, una revisión a su conocimiento en el país. Acta Biológica Colombiana, 25(1), 126–139. https://doi.org/10.15446/abc.v25n1.75252
Aćimović, M. G., Tešević, V. V., Smiljanić, K. T., Cvetković, M. T., Stanković, J. M., Kiprovski, B. M., y Sikora, V. S. (2020). Hydrolates: By-products of essential oil distillation: Chemical composition, biological activity and potential uses. Advanced Technologies, 9(2), 54–70. https://doi.org/10.5937/savteh2002054A
Alvarado Aguilar, M. C., Recalde Coronel, P. C., Leal Alvarado, D. A., Villa Sanchez, F. E., y Tamayo Alcivar, R. (2019). Oil-in-water (O/W) emulsionable concentrate of ishpink (Ocotea quixos) with thermodynamic stability. Revista Caatinga, 32(3), 590-598. https://doi.org/10.1590/1983-21252019v32n303rc
Arteaga-Crespo, Y., Ureta-Leones, D., García-Quintana, Y., Montalván, M., Gilardoni, G., y Malagón, O. (2021). Preliminary predictive model of termiticidal and repellent activities of essential oil extracted from Ocotea quixos leaves against Nasutitermes corniger (isoptera: termitidae) Using One-Factor Response Surface Methodology Design. Agronomy, 11(6),1249 . https://doi.org/10.3390/agronomy11061249
Betancur Hurtado, O. J., y Giraldo-Ríos, C. (2018). Economic and health impact of the ticks in production animals. En M. Abubakar y P. K. Perera (eds.), Ticks and Tick-Borne Pathogens. IntechOpen. https://doi.org/10.5772/intechopen.81167
Briones-Sornoza, H. R., y Guerrero-Intriago, D. A. (2019). Extracción de aceites esenciales de mandarina (citrus reticulata) y palo santo (Bursera Graveolens) por el método de arrastre de vapor. Revista Científica INGENIAR: Ingeniería, Tecnología e Investigación, 2(3), 14–23. https://doi.org/10.46296/ig.v2i3.0007
Castañeda Arriola, R. O., Álvarez Martínez, J. A., Rojas Martínez, C., Lira Amaya, J. J., Ríos Utrera, Á., y Martínez Ibáñez, F. (2021). Nivel de infestación de Rhipicephalus microplus y su asociación con factores climatológicos y la ganancia de peso en bovinos Bos taurus x Bos indicus. Revista Mexicana de Ciencias Pecuarias, 12(1), 273–285. https://doi.org/10.22319/rmcp.v12i1.5392
Castillo-Garit, J. A., González-Díaz, H., Cañizares-Carmenate, Y., Torrens, F., Pham-The, H., Martínez-López, Y., y Diéguez-Santana, K. (2021). Aplicaciones y potencialidades de los métodos de diseño computacional en estudios ambientales y farmacocinéticos. Anales de la Academia de Ciencias de Cuba, 11(1). http://scielo.sld.cu/scielo.php?script=sci_arttext&pid=S2304-01062021000100013&lng=es&tlng=es
Cuesy León, M., Molina Garza, Z. J., Mercado Hernández, R., y Galaviz Silva, L. (2021). Distribución corporal de garrapatas (Acari: Ixodidae y Argasidae) asociadas a Odocoielus virginianus (Artiodactyla: Cervidae) y Ovis canadensis (Artiodactyla: Bovidae) en tres estados del norte de México. Revista Mexicana de Ciencias Pecuarias, 12(1), 177–193. https://doi.org/10.22319/rmcp.v12i1.528
de la Cruz Díaz, A., González Garduño, R., Vila Pena, M., Castañeda Arriola, R. O., y Maldonado Simán, E. (2023). Prevalencia y diagnóstico de resistencia a ixodicidas en garrapatas de ganado bovino en municipios de Chiapas y Tabasco, México. Revista Chapingo Serie Agricultura Tropical, 3(2), 1–14. https://doi.org/10.5154/r.rchsagt.2023.03.09
De Marchi, B. R., Hennessey, M., Turechek, W., y Smith, H. (2023). A maximum concentration bioassay to assess insecticide efficacy against hemipteran pests of tomato. Florida Entomologist, 106(2). https://doi.org/10.1653/024.106.0211
Durán Aguirre, C. E., Pratissoli, D., Carvalho, J. R. de, Pacheco Damascena, A., Araujo Junior, L. M. de, y Bolsoni Zago, H. (2020). Actividad insecticida de aceites esenciales sobre Helicoverpa armígera (Hübner) (Lepidoptera: Noctuidae). Idesia (Arica), 38(4), 59–64. https://doi.org/10.4067/S0718-34292020000400059
Gilardoni, G., Montalván, M., Vélez, M., y Malagón, O. (2021). Chemical and enantioselective analysis of the essential oils from different morphological structures of Ocotea quixos (Lam.) Kosterm. Plants, 10(10), 2171. https://doi.org/10.3390/plants10102171
González Puetate, I., Arévalo Bozada, M. M., Vélez León, M. F., y Acosta Prócel, J. M. (2023). Aceites esenciales, alternativa frente a plagas y enfermedades en apicultura. LATAM Revista Latinoamericana de Ciencias Sociales y Humanidades, 4(5), 30-44. https://doi.org/10.56712/latam.v4i5.1300
Hagg, F., Erasmus, L., y Stoltsz, W. (2024). The potential effect of Garlium GEM HCTM as a tick control agent in cattle. Journal of the South African Veterinary Association, 95(1), 1–6. https://doi.org/10.36303/JSAVA.560
Henker, L. C., Lorenzett, M. P., Fagundes-Moreira, R., Dalto, A. G. C., Sonne, L., Driemeier, D., Soares, J. F., y Pavarini, S. P. (2020). Bovine abortion, stillbirth and neonatal death associated with Babesia bovis and Anaplasma sp. infections in southern Brazil. Ticks Tick Borne Dis, 11(4), 101443. https://doi.org/10.1016/j.ttbdis.2020.101443
Jian, Y., Yuan, H., Li, D., Guo, Q., Li, X., Zhang, S., Ning, C., Zhang, L., y Jian, F. (2022). Evaluation of the in vitro acaricidal activity of Chinese herbal compounds on the poultry red mite (Dermanyssus gallinae). Frontiers in Veterinary Science, 9(1),1-11. https://doi.org/10.3389/fvets.2022.996422
Kasaija, P. D., Estrada-Peña, A., Contreras, M., Kirunda, H., y de la Fuente, J. (2021). Cattle ticks and tick-borne diseases: a review of Uganda's situation. Ticks and Tick-borne Diseases, 12(5), 101756. https://doi.org/10.1016/j.ttbdis.2021.101756
Kemal, J., Zerihun, T., Alemu, S., Sali, K., Nasir, M., Abraha, A., y Feyera, T. (2020). In Vitro acaricidal activity of selected medicinal plants traditionally used against ticks in eastern Ethiopia. Journal of Parasitology Research, 2020, 10. https://doi.org/10.1155/2020/7834026
Klafke, G. M., Golo, P. S., Monteiro, C. M. O., Costa-Júnior, L. M., y Reck, J. (2024). Brazil’s battle against Rhipicephalus (Boophilus) microplus ticks: current strategies and future directions. Revista Brasileira de Parasitologia Veterinária, 33(2), e001423. https://doi.org/10.1590/s1984-29612024026
Lagunes-Quintanilla, R., Gómez-Romero, N., Mendoza-Martínez, N., Castro-Saines, E., Galván-Arellano, D., y Basurto-Alcantara, F. J. (2024). Perspectives on using integrated tick management to control Rhipicephalus microplus in a tropical region of Mexico. Frontiers in Veterinary Science, 11, 1497840. https://doi.org/10.3389/fvets.2024.1497840
Li, G., Zrimec, J., Ji, B., Geng, J., Larsbrink, J., Zelezniak, A., Nielsen, J., y Engqvist, M. K. (2021). Performance of regression models as a function of experiment noise. Bioinformatics and Biology Insights, 15(1), 1-15. https://doi.org/10.1177/11779322211020315
Maya-Delgado, A., Madder, M., Benítez-Ortíz, W., Saegerman, C., Berkvens, D., y Ron-Garrido, L. (2020). Molecular screening of cattle ticks, tick-borne pathogens and amitraz resistance in ticks of Santo Domingo de los Tsáchilas province in Ecuador. Ticks and Tick-borne Diseases, 11(5), 101492. https://doi.org/10.1016/j.ttbdis.2020.101492
Mendoza-Roldan, J. A., Mendoza-Roldan, M. A., y Otranto, D. (2021). Reptile vector-borne diseases of zoonotic concern. International Journal for Parasitology: Parasites and Wildlife, 15(1), 132-142. https://doi.org/10.1016/j.ijppaw.2021.04.007
Miranda Reyes, P. I., Martínez Ibañez, F., Lagunes-Quintanilla, R. E., y Barrera Molina, A. I. (2023). Efecto ixodicida de los extractos vegetales de Cinnamomum zeylanicum y Tagetes erecta sobre garrapatas Rhipicephalus microplus. Revista Mexicana de Ciencias Pecuarias, 14(4), 905-914. https://doi.org/10.22319/rmcp.v14i4.6394
Molina, W. D., Diaz-Rivas, I. H., y Serrato-Hurtado, C. (2025). Evaluación de susceptibilidad de las garrapatas Rhipicephalus microplus a los extractos de Nicotiana tabacum y Couroupita guianensis en condiciones de laboratorio en Florencia-Caquetá, Colombia. Revista Científica del Amazonas, 8(15), 23-38. https://doi.org/10.34069/RA/2025.15.02
Ojeda-Chi, M. M., Rodriguez-Vivas, R. I., Galindo-Velasco, E., y Lezama-Gutiérrrez, R. (2010). Laboratory and field evaluation of Metarhizium anisopliae (Deuteromycotina: Hyphomycetes) for the control of Rhipicephalus microplus (Acari: Ixodidae) in the Mexican tropics. Veterinary Parasitology, 170(3), 348-354. https://doi.org/10.1016/j.vetpar.2010.02.022
Paucar-Quishpe, V., Cepeda-Bastidas, D., Rodríguez-Hidalgo, R., Pérez-Otáñez, X., Perez, C., Enríquez, S., Guzman, E., Ulcuango, F., Grijalva, J., Vanwambeke, S. O., Ron-Garrido, L., y Saegerman, C. (2024). Evaluating the human risks of consumption of foods of bovine origin with ivermectin residues in Ecuador. Foods, 13(21), 3470. https://doi.org/10.3390/foods13213470
Pérez-Otáñez, X., Vanwambeke, S. O., Orozco-Alvarez, G., Arciniegas-Ortega, S., Ron-Garrido, L., y Rodríguez-Hidalgo, R. (2024). Widespread acaricide resistance and multi-resistance in Rhipicephalus microplus in Ecuador and associated environmental and management risk factors. Ticks and Tick-borne Diseases, 15(1), 102274. https://doi.org/10.1016/j.ttbdis.2023.102274
Quadros, D. G., Johnson, T. L., Whitney, T. R., Oliver, J. D., y Oliva Chávez, A. S. (2020). Plant-derived natural compounds for tick pest control in livestock and wildlife: pragmatism or utopia? Insects, 11(8), 1-14. https://doi.org/10.3390/insects11080490
Quirós-Monge, M., León-González, I., y Murillo-Rojas, P. (2025). Efecto repelente de aceites esenciales sobre el ácaro Tetranychus urticae Koch (Acari: Tetranychidae). Agronomía Mesoamericana, 36, Artículo qwj4k754. https://doi.org/10.15517/qwj4k754
Rodríguez Trujillo, N., Salazar Loor, J. G., Enríquez, S., y Navarro, J.-C. (2021). Modelo de nicho ecológico de la garrapata Rhipicephalus (Boophilus) microplus incluyendo variables socioambientales dentro de Ecuador continental. Universidad Internacional SEK. https://repositorio.uisek.edu.ec/handle/123456789/4502
Scalvenzi, L., Radice, M., Toma, L., Severini, F., Boccolini, D., Bella, A., Guerrini, A., Tacchini, M., Sacchetti, G., Chiurato, M., Romi, R., y Di Luca, M. (2019). Larvicidal activity of Ocimum campechianum, Ocotea quixos and Piper aduncum essential oils against Aedes aegypti. Parasite, 26, 23. https://doi.org/10.1051/parasite/2019024
Souza, F. de A. L., Braga, J. F. V., Pires, L. V., Carvalho, C. J. S. d., Costa, É. A., Ribeiro, M. F. B., Santos, R. L., y Silva, S. M. M. S. (2013). Babesiosis and anaplasmosis in dairy cattle in northeastern Brazil. Pesquisa Veterinária Brasileira, 33(1), 1-16. https://doi.org/10.1590/S0100-736X2013000900002
Sultankulova, K. T., Shynybekova, G. O., Issabek, A. U., Mukhami, N. N., Melisbek, A. M., Chervyakova, O. V., Kozhabergenov, N. S., Barmak, S. M., Bopi, A. K., Omarova, Z. D., Alibekova, D. A., Argimbayeva, T. U., Namet, A. M., Zuban, I. A., y Orynbayev, M. B. (2022). The prevalence of pathogens among ticks collected from livestock in Kazakhstan. Pathogens, 11(10), 1-16. https://doi.org/10.3390/pathogens11101206
Torales, J., y Barrios, I. (2023). Diseño de investigaciones: algoritmo de clasificación y características esenciales. Medicina Clínica y Social, 7(3), 210-235. https://doi.org/10.52379/mcs.v7i3.349
Vacacela-Ajila, W., Guzmán-Ordóñez, L., Rey-Valeirón, C., Delgado-Fernández, E., Benítez-Gonzales, E., Chamba-Ochoa, H., Ortega Rojas, R., y Ramírez Robles, J. (2023). Composición química y revisión de las propiedades acaricidas de los aceites esenciales de Melinis minutiflora y Lantana cámara. Boletín latinoamericano y del Caribe de plantas, 22(4), 488-499. https://doi.org/10.37360/blacpma.23.22.4.36
Valarezo, E., Vullien, A., y Conde-Rojas, D. (2021). Variability of the Chemical Composition of the Essential Oil from the Amazonian Ishpingo Species (Ocotea quixos). Molecules, 26(13), 3961. https://doi.org/10.3390/molecules26133961
Valenzuela Loor, A. J., Laaz López, D. A., y García Paredes, R. I. (2024). Eficiencia del recubrimiento comestible de almidón de yuca y aceite esencial de canela para la conservación de piña IV gama. Revista Ciencia y Tecnología El Higo, 14(2), 162–177. https://doi.org/10.5377/elhigo.v14i2.19641
Wang, C.-H., Taso, N.-W., Chen, C.-J., Chang, H.-Y., y Wang, S.-Y. (2024). Composition characterization of cinnamomum osmophloeum kanehira hydrosol and its enhanced effects on erectile function. Plants, 13(11), 1518. https://doi.org/10.3390/plants13111518
Información adicional
e-location: e8162
Información adicional
redalyc-journal-id: 6538